Figure 1.

Figure 2.

Figure 3.

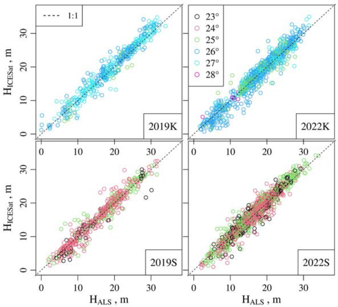
Figure 4.

Model coefficients_ Abbreviations and variables: Eq_ no – model equation number; Veg_p – vegetation period (‘k’=spring, ‘s’=summer); DF – degrees of freedom; HALS – 95th percentile of airborne lidar point cloud height distribution (m); KALS – canopy cover at 2 m reference height over ground; Conifers – TRUE if evergreen conifers dominate the pixel; Peatland – TRUE if soil is deep peat; Weak_beam – TRUE if track was illuminated by weak beam; Track – label in ICESat-2 ATLAS ATL08 dataset (GT1L, GT1R, GT2L, GT2R, GT3L, GT3R)_Tabel A1_1_ Mudelite parameetrid_ Lühendid ja tähised: Eq_ no – võrrandi number; Veg_p – kasvuperiood (‘k’=kevad, ‘s’=suvi); DF– vabadusastmete arv; HALS – aerolidari punktipilve kõrgusjaotuse 95-protsentiil; KALS – võrastiku katvus 2 m kõrgusel maapinnast; Conifers – TRUE, kui pikslil domineerisid igihaljad okaspuud; Peatland – TRUE, kui piksel asus sügaval turbamullal; Weak_beam – TRUE nõrga impulsiga valgustatud raja korral; Track – vaatluste rada ICESat-2 ATLAS ATL08 andmestiku järgi (GT1L, GT1R, GT2L, GT2R, GT3L, GT3R)_
| Model | Model variables | Track | ||||||||||||||
|---|---|---|---|---|---|---|---|---|---|---|---|---|---|---|---|---|
| Eq. No | Year | Veg.p | DF | R2 | RSE (m) | Intercept | HALS (m) | KALS (%) | Conifers | Peatland | Weak. beam | GT1R | GT2L | GT2R | GT3L | GT3R |
| 1 | 2019 | k | 422 | 0.95 | 1.77 | 0.232 | 1.015 | |||||||||
| 2 | 2019 | k | 421 | 0.951 | 1.76 | 0.073 | 0.985 | 0.012 | ||||||||
| 3 | 2019 | k | 420 | 0.951 | 1.76 | 0.077 | 0.984 | 0.013 | −0.081 | |||||||
| 4 | 2019 | k | 419 | 0.951 | 1.75 | 0.222 | 0.971 | 0.017 | −0.099 | −0.513 | ||||||
| 5 | 2019 | k | 421 | 0.95 | 1.77 | 0.311 | 1.012 | −0.379 | ||||||||
| 6 | 2019 | k | 420 | 0.951 | 1.76 | 0.159 | 0.98 | 0.013 | −0.46 | |||||||
| 7 | 2019 | k | 415 | 0.952 | 1.75 | 0.123 | 0.976 | 0.014 | −0.041 | 0.037 | −0.163 | 0.321 | 0.307 | −1.172 | ||
| 1 | 2019 | s | 499 | 0.933 | 1.88 | −0.387 | 1.026 | |||||||||
| 2 | 2019 | s | 498 | 0.934 | 1.87 | −1.124 | 0.987 | 0.018 | ||||||||
| 3 | 2019 | s | 497 | 0.935 | 1.85 | −1.561 | 0.987 | 0.02 | 0.558 | |||||||
| 4 | 2019 | s | 496 | 0.935 | 1.85 | −1.578 | 0.987 | 0.02 | 0.606 | −0.207 | ||||||
| 5 | 2019 | s | 498 | 0.932 | 1.88 | −0.396 | 1.026 | 0.115 | ||||||||
| 6 | 2019 | s | 497 | 0.934 | 1.87 | −1.180 | 0.986 | 0.018 | 0.281 | |||||||
| 7 | 2019 | s | 492 | 0.936 | 1.84 | −1.057 | 0.99 | 0.018 | 0.607 | −0.169 | −0.561 | −0.551 | −0.625 | −0.773 | ||
| 1 | 2020 | k | 1144 | 0.914 | 1.72 | −0.203 | 1.045 | |||||||||
| 2 | 2020 | k | 1143 | 0.917 | 1.70 | −0.543 | 1.00 | 0.017 | ||||||||
| 3 | 2020 | k | 1142 | 0.917 | 1.70 | −0.482 | 0.992 | 0.021 | −0.259 | |||||||
| 4 | 2020 | k | 1141 | 0.917 | 1.69 | −0.355 | 0.983 | 0.022 | −0.239 | −0.26 | ||||||
| 5 | 2020 | k | 1143 | 0.917 | 1.70 | −0.009 | 1.04 | −0.953 | ||||||||
| 6 | 2020 | k | 1142 | 0.919 | 1.67 | −0.347 | 0.995 | 0.017 | −0.944 | |||||||
| 7 | 2020 | k | 1137 | 0.92 | 1.66 | −0.204 | 0.994 | 0.018 | −0.157 | −1.299 | −0.397 | −0.791 | 0.017 | −0.984 | ||
| 1 | 2020 | s | 957 | 0.942 | 1.74 | −0.588 | 1.039 | |||||||||
| 2 | 2020 | s | 956 | 0.942 | 1.73 | −0.985 | 1.011 | 0.012 | ||||||||
| 3 | 2020 | s | 955 | 0.945 | 1.69 | −1.328 | 0.989 | 0.015 | 0.816 | |||||||
| 4 | 2020 | s | 954 | 0.945 | 1.69 | −1.357 | 0.99 | 0.014 | 0.801 | 0.089 | ||||||
| 5 | 2020 | s | 956 | 0.943 | 1.73 | −0.526 | 1.039 | −0.811 | ||||||||
| 6 | 2020 | s | 955 | 0.943 | 1.72 | −0.898 | 1.013 | 0.011 | −0.768 | |||||||
| 7 | 2020 | s | 950 | 0.947 | 1.66 | −1.015 | 0.99 | 0.014 | 0.89 | −1.264 | −0.546 | −0.855 | −0.274 | −1.396 | ||
| 1 | 2021 | k | 434 | 0.892 | 2.0 | 0.665 | 0.987 | |||||||||
| 2 | 2021 | k | 433 | 0.896 | 1.97 | 0.218 | 0.947 | 0.019 | ||||||||
| 3 | 2021 | k | 432 | 0.895 | 1.97 | 0.211 | 0.948 | 0.018 | 0.028 | |||||||
| 4 | 2021 | k | 431 | 0.896 | 1.96 | 0.242 | 0.941 | 0.021 | 0.117 | −0.48 | ||||||
| 5 | 2021 | k | 433 | 0.893 | 1.99 | 0.889 | 0.98 | −0.599 | ||||||||
| 6 | 2021 | k | 432 | 0.897 | 1.96 | 0.443 | 0.94 | 0.019 | −0.61 | |||||||
| 7 | 2021 | k | 427 | 0.898 | 1.94 | 0.4 | 0.95 | 0.017 | −0.023 | 0.143 | −1.613 | −0.008 | −1.2 | −0.223 | ||
| 1 | 2021 | s | 791 | 0.939 | 1.82 | −0.602 | 1.052 | |||||||||
| 2 | 2021 | s | 790 | 0.94 | 1.81 | −1.174 | 1.021 | 0.014 | ||||||||
| 3 | 2021 | s | 789 | 0.94 | 1.81 | −1.221 | 1.016 | 0.015 | 0.153 | |||||||
| 4 | 2021 | s | 788 | 0.94 | 1.81 | −1.313 | 1.022 | 0.014 | 0.096 | 0.22 | ||||||
| 5 | 2021 | s | 790 | 0.939 | 1.82 | −0.544 | 1.052 | −0.518 | ||||||||
| 6 | 2021 | s | 789 | 0.94 | 1.80 | −1.154 | 1.019 | 0.015 | −0.589 | |||||||
| 7 | 2021 | s | 784 | 0.941 | 1.79 | −0.633 | 1.017 | 0.015 | 0.121 | −0.432 | −1.751 | −0.625 | −1.381 | −0.631 | ||
| 1 | 2022 | k | 944 | 0.936 | 1.78 | −0.665 | 1.043 | |||||||||
| 2 | 2022 | k | 943 | 0.936 | 1.77 | −1.13 | 1.014 | 0.013 | ||||||||
| 3 | 2022 | k | 942 | 0.936 | 1.77 | −1.122 | 1.014 | 0.014 | −0.045 | |||||||
| 4 | 2022 | k | 941 | 0.936 | 1.77 | −1.133 | 1.015 | 0.013 | −0.047 | 0.048 | ||||||
| 5 | 2022 | k | 943 | 0.937 | 1.77 | −0.521 | 1.038 | −0.863 | ||||||||
| 6 | 2022 | k | 942 | 0.937 | 1.76 | −0.94 | 1.014 | 0.012 | −0.763 | |||||||
| 7 | 2022 | k | 937 | 0.937 | 1.76 | −2.184 | 1.017 | 0.011 | 0.012 | 1.306 | 0.303 | 1.061 | 1.172 | 1.204 | ||
| 1 | 2022 | s | 1374 | 0.923 | 1.64 | −0.405 | 1.041 | |||||||||
| 2 | 2022 | s | 1373 | 0.925 | 1.62 | −1.371 | 1.01 | 0.018 | ||||||||
| 3 | 2022 | s | 1372 | 0.926 | 1.60 | −1.788 | 0.999 | 0.021 | 0.508 | |||||||
| 4 | 2022 | s | 1371 | 0.926 | 1.61 | −1.771 | 0.997 | 0.021 | 0.515 | −0.037 | ||||||
| 5 | 2022 | s | 1373 | 0.924 | 1.63 | −0.303 | 1.039 | −0.497 | ||||||||
| 6 | 2022 | s | 1372 | 0.925 | 1.62 | −1.216 | 1.011 | 0.016 | −0.41 | |||||||
| 7 | 2022 | s | 1367 | 0.927 | 1.59 | −1.995 | 1 | 0.019 | 0.544 | 0.376 | −0.532 | 0.266 | 0.051 | 0.459 | ||
Significance (‘***’ 0_001 ‘**’ 0_01 ‘*’ 0_05 ‘_’ 0_1 ‘ ’ 1) of model coefficients_ Abbreviations and variables are the same as in Table A1_1_Tabel A1_2_ Mudelite parameetrite olulisus (‘***’ 0_001 ‘**’ 0_01 ‘*’ 0_05 ‘_’ 0_1 ‘ ’ 1)_ Lühendid ja tähised on samad nagu tabelis A1_1_
| Model | Significance / Olulisus | ||||||||||||
|---|---|---|---|---|---|---|---|---|---|---|---|---|---|
| Eq. No | Year | Veg.p | Intercept | HALS (m) | KALS (%) | Conifers | Peatland | Weak. beam | GT1R | GT2L | GT2R | GT3L | GT3R |
| 1 | 2019 | k | *** | ||||||||||
| 2 | 2019 | k | *** | * | |||||||||
| 3 | 2019 | k | *** | * | |||||||||
| 4 | 2019 | k | *** | * | * | ||||||||
| 5 | 2019 | k | *** | ||||||||||
| 6 | 2019 | k | *** | * | |||||||||
| 7 | 2019 | k | *** | * | ** | ||||||||
| 1 | 2019 | s | . | *** | |||||||||
| 2 | 2019 | s | *** | *** | ** | ||||||||
| 3 | 2019 | s | *** | *** | ** | *** | |||||||
| 4 | 2019 | s | *** | *** | *** | *** | |||||||
| 5 | 2019 | s | . | *** | |||||||||
| 6 | 2019 | s | *** | *** | ** | ||||||||
| 7 | 2019 | s | ** | *** | ** | *** | * | * | * | ||||
| 1 | 2020 | k | *** | ||||||||||
| 2 | 2020 | k | ** | *** | *** | ||||||||
| 3 | 2020 | k | ** | *** | *** | * | |||||||
| 4 | 2020 | k | * | *** | *** | * | * | ||||||
| 5 | 2020 | k | *** | *** | |||||||||
| 6 | 2020 | k | * | *** | *** | *** | |||||||
| 7 | 2020 | k | *** | *** | *** | ** | ** | *** | |||||
| 1 | 2020 | s | *** | *** | |||||||||
| 2 | 2020 | s | *** | *** | *** | ||||||||
| 3 | 2020 | s | *** | *** | *** | *** | |||||||
| 4 | 2020 | s | *** | *** | *** | *** | |||||||
| 5 | 2020 | s | *** | *** | *** | ||||||||
| 6 | 2020 | s | *** | *** | ** | *** | |||||||
| 7 | 2020 | s | *** | *** | *** | *** | *** | *** | * | . | *** | ||
| 1 | 2021 | k | * | *** | |||||||||
| 2 | 2021 | k | *** | *** | |||||||||
| 3 | 2021 | k | *** | ** | |||||||||
| 4 | 2021 | k | *** | *** | . | ||||||||
| 5 | 2021 | k | ** | *** | * | ||||||||
| 6 | 2021 | k | *** | *** | * | ||||||||
| 7 | 2021 | k | *** | ** | * | * | |||||||
| 1 | 2021 | s | ** | *** | |||||||||
| 2 | 2021 | s | *** | *** | ** | ||||||||
| 3 | 2021 | s | *** | *** | *** | ||||||||
| 4 | 2021 | s | *** | *** | ** | ||||||||
| 5 | 2021 | s | ** | *** | * | ||||||||
| 6 | 2021 | s | *** | *** | *** | ** | |||||||
| 7 | 2021 | s | *** | *** | ** | ** | |||||||
| 1 | 2022 | k | *** | *** | |||||||||
| 2 | 2022 | k | *** | *** | *** | ||||||||
| 3 | 2022 | k | *** | *** | *** | ||||||||
| 4 | 2022 | k | *** | *** | *** | ||||||||
| 5 | 2022 | k | ** | *** | *** | ||||||||
| 6 | 2022 | k | *** | *** | ** | *** | |||||||
| 7 | 2022 | k | *** | *** | ** | *** | ** | * | ** | ||||
| 1 | 2022 | s | ** | *** | |||||||||
| 2 | 2022 | s | *** | *** | *** | ||||||||
| 3 | 2022 | s | *** | *** | *** | *** | |||||||
| 4 | 2022 | s | *** | *** | *** | *** | |||||||
| 5 | 2022 | s | * | *** | *** | ||||||||
| 6 | 2022 | s | *** | *** | *** | ** | |||||||
| 7 | 2022 | s | *** | *** | *** | *** | * | * | * | ||||
The counts of ICESat-2 ATLAS ATL08 dataset pixels, their mean height (H) and standard deviation of height (SH) by measurement year and month compared to the forest mean height_Tabel 1_ Metsa keskmine kõrgus (H) ja standardhälve (SH) ICESat-2 ATLAS pikslitel andmestikus ATL08 mõõtmisaja järgi võrrelduna puistute takseeritud kõrguse keskmisega_
| Year-month | ICESat-2 ATLAS ATL08 | Forest inventory / Puistud | ||||
|---|---|---|---|---|---|---|
| Count | H (m) | SH (m) | Count* | H (m) | SH (m) | |
| 2019-06 | 568 | 16.9 | 8.1 | 144 | 16.7 | 8.2 |
| 2019-07 | 204 | 15.0 | 5.9 | 57 | 15.0 | 5.9 |
| 2019-08 | 650 | 17.5 | 7.2 | 165 | 17.0 | 7.1 |
| 2019-09 | 546 | 18.6 | 7.7 | 144 | 18.3 | 7.7 |
| 2020-06 | 520 | 18.0 | 6.5 | 128 | 17.6 | 6.6 |
| 2020-07 | 1269 | 17.7 | 7.0 | 312 | 17.5 | 7.2 |
| 2020-08 | 613 | 18.0 | 6.7 | 144 | 17.4 | 7.1 |
| 2020-09 | 1019 | 17.7 | 6.8 | 255 | 17.3 | 6.7 |
| 2021-06 | 1316 | 16.7 | 6.7 | 308 | 16.2 | 7.0 |
| 2021-07 | 1158 | 17.5 | 7.1 | 269 | 17.2 | 6.8 |
| 2021-08 | 504 | 17.3 | 6.8 | 150 | 17.2 | 6.9 |
| 2021-09 | 377 | 17.0 | 6.9 | 98 | 16.8 | 6.6 |
| 2022-06 | 926 | 18.1 | 6.8 | 245 | 18.3 | 6.7 |
| 2022-07 | 1034 | 17.1 | 6.8 | 274 | 17.0 | 6.6 |
| 2022-08 | 959 | 17.7 | 7.2 | 243 | 17.2 | 7.2 |
| 2022-09 | 1048 | 17.4 | 6.6 | 250 | 17.3 | 6.6 |