Climate change poses a significant global threat, with drought emerging as one of its most detrimental impacts on agricultural systems. Due to the increasing severity and frequency of abiotic stressors, such as drought, heat and salinity, the development of sustainable and effective mitigation strategies is imperative (Coşkun, 2025). The citrus industry, predominantly comprised of species from the Rutaceae family, constitutes one of the most significant fruit sectors globally (Naseer et al., 2019; Talat et al., 2020). However, citrus productivity is substantially constrained by a multitude of biotic (bacterial, viral and fungal pathogens) and abiotic (heat, flooding, salinity and drought) stress factors (Koshita and Takahara, 2004). As evergreen and perennial, citrus trees are cultivated across diverse agro-climatic zones (Zaman et al., 2019). Although these species exhibit a degree of resilience to adverse environmental conditions, up to 82% of citrus yield losses have been attributed to abiotic stressors (Rafie-Rad et al., 2022).
The geographical features of various growing regions, plus their soils, climates and natural agricultural foundations, play vital roles in agriculture. Agriculture is particularly susceptible to several risk factors associated with climate change since it is inherently tied to climatic fluctuations (such as temperature, radiation, humidity and wind). One of the biggest challenges facing the agriculture sector is drought (Montales, 2024). Drought is closely linked to global warming, affecting the quantity of food produced and its world distribution (Wheeler and von Braun, 2013).
An increase in the duration of drought can intensify water stress. Water stress occurs when the rate of water loss through transpiration exceeds the rate of water absorption by a plant’s root system. Water-deficit stress causes significant adverse impacts on plant development, as evidenced by decreases in a plant’s height, leaf area (LA), root length, root zone and overall biomass accumulation (Ramegowda et al., 2014). These morphological alterations are closely associated with impaired photosynthetic performance, primarily resulting from restricted carbon dioxide uptake due to stomatal shutdown. The ordinance of turgor pressure in guard cells plays a major role in this reaction, as ion and water fluxes across cellular membranes modulate stomatal apertures during drought circumstances (Osakabe et al., 2014). Moreover, drought induces increased cellular ion leakage (IL), reflecting damage and alterations in membrane structures. This phenomenon is largely attributed to a decline in the relative water content (RWC) within cells, which affects membrane stability and functionality (Fu et al., 2004).
Furthermore, drought stress changes the composition of photosynthetic pigments, including a decrease in chlorophyll a and b, although carotenoids provide protection (Jaleel et al., 2009; Mibei et al., 2017).
In various plant species, responses to drought stress have been examined through the activity of antioxidative enzymes, which are closely related to a plant’s susceptibility or tolerance to drought (Ansari et al., 2017).
Farmers today employ large amounts of synthetic fertilisers in an attempt to increase yields, but these fertilisers reduce soil fertility and have negative consequences on the environment and public health (Benffari et al., 2022).Organic manure, however, is less expensive than synthetic fertiliser and enhances the features of crop plants (Lazcano et al., 2009). Vermicompost (V.CO) is a nutrient-rich, peat-like organic fertiliser known for its excellent properties of aeration, porosity and water retention. It is created through the integrated activity of microbes and red worms (Coria-Cayupán et al., 2009; Khehra and Bal, 2016). It has been demonstrated that V.CO helps reduce drought stress (Ahmad et al., 2022). According to Blouin et al. (2019) and Rana et al. (2020), V.CO enhances the quantity and quality of plant growth by increasing the microbial activity in soil, productivity, porosity and oxygen availability. Earthworms have been beneficial since their droppings increase the microbial activity of the soil, according to recent V.CO studies (Gholipoor et al., 2014). Using V.CO leads to an increase in fresh weight (FW), plant number, shoot weight and root weight (Rashtbari et al., 2020; Ahmad et al., 2022). Applying V.CO improves the amount of phosphates, nitrates, organic carbon and exchangeable bases in the soil that plants can use (Hazarika and Aheibam, 2019). Moreover, it has a variety of beneficial microbes and enzymes that promote plant growth and improve fruit quality (Chen, 2006).
Trehalose (TH) is a naturally occurring, nonreducing disaccharide discovered in fungi, yeast, bacteria, invertebrates and some hydrophytic higher plants (Hassan et al., 2023; Raza et al., 2024). It is a simple sugar composed of two glucose molecules linked by an α,α-1,1-glycosidic bond (Elbein et al., 2003; Chen and Gibney, 2023). Beyond serving as a reserve carbon source in certain bacteria and fungi, TH plays diverse cellular defence roles in microorganisms, yeasts and plants (Sharma et al., 2020; Onwe et al., 2022; Ribeiro et al., 2024). It is known to protect cells from both biotic and abiotic stressors, such as excessive salinity, heat, drought and viral or oxidative damage (Bashir et al., 2020; Rasheed et al., 2020; Sachdev et al., 2021). Unlike other non-reducing disaccharides in plants, TH has significant activity as a chemical chaperone and can directly stabilise proteins and lipids (Huang and Xu, 2008). However, its effectiveness in enhancing plant stress tolerance varies depending on its concentration and method of accumulation, the type of stress being suffered, plant species affected and its phase of development (Fichtner and Lunn, 2021; Yang et al., 2022). TH helps plants withstand drought, and its positive effects on drought tolerance are associated with its capacity to increase photosynthetic efficiency, cellular redox balance and antioxidant activities (Kosar et al., 2021). TH stabilises the biological structure of plants by being crystallised into a glassy form, thus helping the plants resist drought (Acosta-Pérez et al., 2020). Furthermore, TH is widely accessible and reasonably priced, and when applied exogenously, it greatly improves plants’ ability to withstand drought stress (Lin et al., 2020).
The anatomical alterations in higher-order plants brought on by water shortages make for more visible indicators that can be used and managed in agriculture (Shao et al., 2008). The anatomical features of plant tissues determine how those tissues respond to water stress and control how the impact of water stress is transmitted to the cells (Olmos et al., 2007). According to Pitman et al. (1983) and Guerel et al. (2009), tissues exposed to low-water settings typically exhibit decreased cell dimensions, increased amounts of vascular tissue and increased cell wall diameters.
A review of previous studies revealed that there have been few on the effect of V.CO and TH on enhancing the resistance to drought stress of citrus rootstocks. However, the response of citrus rootstocks to V.CO, TH and their combination has not been studied. Thus, the current study investigated the role of V.CO at 1 kg · plant−1 and exogenous application of TH at 10 mM separately or in a combination for increasing its resistance and decreasing the unfavourable effect of drought on the growth parameters and various antioxidant enzymes in volkamer lemon and sour orange rootstock under drought stress conditions.
A field study was carried out at the Faculty of Agriculture nursery, Damietta University, Egypt, over two consecutive growing seasons (2023–2024) on two citrus rootstocks under drought stress for 5 months each season. Each citrus rootstock seedlings of volkamer lemon (Citrus volkameriana) and sour orange (Citrus aurantium) were obtained from the Awlad Abdel Dayem nursery in Gharbia Governorate, Egypt, at 7 months and was propagated by seed. Each seedling was rotated in a polyethylene bag, 20 cm × 40 cm, containing 9 kg of sand and clay (2:1 by volume). As for the seedlings treated with V.CO, 1 kg of V.CO was added to each bag. The seedlings were acclimatised for 60 days and fertilised with NPK (1 g · L−1) + humic acid (7 g · L−1). Before placing the plants under the influence of water stress, they were selected to be close in all vegetative characteristics. Water was added at three levels of field capacity (FC) (100, 70 and 40%). The experiment included nine of each rootstock treatment with three replicates, and each replicate consisted of six seedlings each season, as follows: T1 = 100% field capacity (control); T2 = 70% FC (70% FC); T3 = 40% field capacity (40% FC); T4 = 70% field capacity with V.CO application (70% FC + V.CO); T5 = 40% field capacity with V.CO application (40% FC + V.CO); T6 = 70% field capacity with TH application (70% FC + TH); T7 = 40% field capacity with TH application (40% FC + TH); T8 = 70% field capacity with V.CO and TH application (70% FC + V.CO + TH); T9 = 40% field capacity with V.CO and TH application (40% FC + V.CO + TH). TH was applied as a foliar application on each seedling individually once a month, while V.CO was added to the soil before the seedlings were exposed to drought stress. TH was obtained from Sigma, USA, and V.CO was obtained from the Egyptian Ministry of Agriculture and Land Reclamation.
Weight per cubic meter, 810 kg · m−3; moisture, 16%; pH (1:10 extracted), 8.3; EC (1:10 extracted), 1.97 mS · cm−1; total N, 1.0%; NH4NO3, 59 mg · kg−1; nitrate nitrogen, 309 mg · kg−1; organic matter, 22.29%; organic carbon, 12.93%; ashes, 77.71%; C/N ratio, 1:13; total phosphorus, 1.63%; total potassium, 0.66%; grass seeds, null; Mg, 0.06%; Ca, 6.2%; Fe, 1.0%; Mn, 0.02%; Zn, 0.0222 mg · kg−1; B, 31.3 mg · kg−1; Cu, 46.2 mg · kg−1, according to Doklega et al. (2020).
FC in this investigation was described as the percentage of the full pot water-holding capacity. The estimation of pot water capacity was conducted using the methodology defined by Klute (1986). Briefly, the pots were weighed once the testing soils were completely drenched with water. After that, the soils were dried at 105°C in an oven until their weight remained consistent. The amount of water equal to the pots’ entire water-holding capacity was shown by the difference between the saturated and oven-dried weights. Pot weights were taken every 2 days for the well-watered treatment and water was added to restore FC while considering transpiration-related water losses. In the water-stressed treatment, pots were similarly monitored; however, water was supplied only to maintain 70% and 40% of the maximum pot water capacity, simulating drought conditions.
At the conclusion of the investigation, the height (cm) of the rootstocks was estimated, number of shoots was determined and diameter (mm) of the stem was measured using a caliper (Model 500, Fuzhou, China).
Concerning every rootstock, the number of completely developed leaves per plant at each replication was counted. Utilising a computerised caliper (Model 500), the leaf thickness (LT) (mm) was determined. We measured the maximum length and width of the leaves. Next, LA (cm2) was calculated according to Ahmed and Morsy (1999) as follows:
LL, leaf length; LW, leaf width.
Leaf damage severity was estimated at the end of the investigation using a ranking system of 0–5 (visual level), following Sun et al. (2015). A score of 0 indicates seedling death; 1 indicates extreme observable damage (damage >90%); 2 indicates medium observable damage (50%–90%); 3 indicates minor observable damage (20%–50%); 4 indicates least observable damage (damage <20%) and 5 indicates no observable damage. For RWC, leaf FW was measured immediately upon sampling and turgid leaf weight (TW) was noted following a 24-hr rehydration period in distilled water. The leaves’ dry weight (DW) was then weighed following drying for 24 hr at 70°C. The following formula was used to determine the RWC according to Barrs and Weatherley (1962):
Using a solution of conc. 0.3 g of dried citrus rootstock, leaf samples from each replicate were wet digested with a mixture of concentrated sulphuric acid (H2SO4) and perchloric acids (HClO4) to determine the NPK contents. Then, N, P and K were calculated (AOAC, 2000). Munter et al. (2008) reported that the next technique was inductively coupled plasma atomic emission spectroscopy (plasma View Duo iCAP7000 Plus Series ICP–OES, Thermo Scientific™, North shore, New Zealand).
According to Moran (1982), five discs (0.30 cm2) of each fresh citrus rootstock leaf sample were treated with 5 mL of dimethylformamide (DMF) to extract pigments (chlorophyll and carotenoids). The hang was then sonicated for 15 min at 4°C. Thereafter, it was left there for 16 hr in the dark to remove any further suspended materials. An amount of 1 mL of the supernatant was centrifuged for 5 min at 16000 rpm. The chlorophyll concentration in the filtered liquid supernatant was measured utilising a UV-1800 UV–Vis spectrophotometer (Shimadzu, Kyoto, Japan) set to 662 nm (E662) for chla and 650 nm (E650) for chlb. According to Wellburn (1994), carotenoids were estimated with a wavelength of 480 nm using the following formula:
To estimate proline, 5 mL of 3% C7H6O6S (w/v) was used to homogenise 0.5 g of fresh citrus rootstock leaves. The combination was then centrifuged for 10 min at 10000 rpm. To define the proline concentration, 2.0 mL of the supernatant was obtained and mixed with the C6H5CH3 solution and the C9H6O4 reagent (Bates et al., 1973). Then, at 515 nm, this quantity was measured with a UV-1800 UV–Vis spectrophotometer (Shimadzu). The L-proline standard curve was used to calculate the proline content (mg · g−1 FW).
As for estimating antioxidant activity (2,2-diphenyl-1-picrylhydrazyl [DPPH]), a slightly modified version of the Blois (1958) approach was used. Ethanol was used to create citrus leaf extracts. It was assumed that ascorbic acid was the typical antioxidant. In short, a test tube was filled with an equivalent volume of plant extract and DPPH solution (60 μM). After that, the combination was allowed to sit at room temperature for half an hour in the dark. Finally, the absorbance at 517 nm was measured using a UV-1800 UV–Vis spectrophotometer (Shimadzu). The formula DPPH scavenging activity% = (A0 – A1)/A0 × 100 was used to determine the percentage of radical scavenging activity, where A0 stands for the control’s absorbance and A1 stands for the sample’s absorbance. IC50, which was determined by graphing the inhibition percentage versus concentration, was used to express the antioxidant activity of each plant sample.
According to Kosem et al. (2007), antioxidant compounds, total phenols and flavonoids were extracted in methyl alcohol.
To determine the level of total phenols, after mixing 0.40 mL of Folin–Ciocalteu reagent with aliquots of 0.050 mL of alcoholic leaf extract, the mixture was allowed to sit at room temperature for 3 min. After adding 0.80 mL of 10% Na2CO3, the reaction mixture was allowed to sit at room temperature for 2 hr in the dark. A UV-1800 UV–Vis spectrophotometer (Shimadzu) set to 765 nm was used to measure the generated colour’s optical density. A gallic acid standard curve was used to calculate the total phenols, which were then represented as mg gallic acid equivalent (GAE) · g−1 DW.
Total flavonoids were determined according to Marinova et al. (2005). An amount of 4 mL of distilled water and 0.3 mL of a 5% NaNO2 solution were mixed with 1 mL of an aliquot of alcoholic leaf extract. After 5 min at 25°C, 0.3 mL of 10% AlCl3 was added to the mixture. The reaction mixture was incubated for 6 min at 25°C before receiving 2.4 mL of distilled H2O and 2 mL of sodium hydroxide (1 M). At 510 nm, the produced colour’s absorbance was then measured. The amount of total flavonoids was calculated and reported as mg quercetin equivalent g−1 · DW.
After being cooled to 4°C, 3 g of fresh citrus rootstock leaves were mixed with KH2PO4 solution (50 mmol · L−1, pH 7.8). Polyvinylpyrrolidone and 1% w/v PVP were added, and the mixture was centrifuged for 15 min at 10000 rpm and 4°C. The total of O2•− produced was calculated by producing (NO2–) from NH2OH in the existence of a superoxide anion (Yang et al., 2011); 530 nm wavelength was used to measure the optical density. A typical NO2 curve was employed to calculate the total of O2•− production that results from the interaction of NH2OH with the O2•− The production rate of O2•− was found to be mmol · min−1 · g−1 FW.
To test the hydrogen peroxide (H2O2), 1 g of fresh leaves and 5 mL of acetone were mixed together and centrifuged for 15 min at 6000 rpm at 4°C. The hydrogen peroxide content was ascertained using the procedure described by Xu et al. (2012). A amount of 1 mL of the explicit extract was combined with 0.2 mL of NH3 and 0.1 mL of TiOSO4 (5%) and centrifuged for 10 min at 6000 rpm at 4°C. The finished grains (TiO2+2) were centrifuged for 10 min at 5000 rpm and 4°C after being dispersed in 3 mL of 10% H2SO4 (v/v). The optical density of the succeeding supernatant was determined to be 410 nm. The hydrogen peroxide concentration was exhibited and estimated as mmol · min−1 · g−1 FW using hydrogen peroxide as a standard curve.
To estimate the percentage of inorganic matter (IL%), 5 g of fresh citrus rootstock leaves were soaked in 20 mL of 0.4 molar C6H14O6 for 3 hr at room temperature (24°C). The electrical conductivity (L1) was then measured. After that, each sample was cooked in a water bath for 30 min at 100°C. The samples were then allowed to come to room temperature before the electrical conductivity was measured a second time (L2). Hakim et al. (1999) defined IL% as follows:
To quantify the amount of malondialdehyde (MDA), approximately 2.5 g of citrus rootstock leaves were used. A thoroughly crushed leaf sample was combined with 500 μL of C15H24O (2%, w/v), 25 mL of HPO3 (metaphosphoric acid) and C4H4N2O2S (TBA) in C2H6O (5%, w/v). The amounts of thiobarbituric acid reactive chemicals, which ranged from 0 to 2 mM, were shown to have an influence on 1,1,3,3-CH2(CH(OCH3)2)2, which was the same range as MDA, which ranged from 0 to 1 mM. During the trial’s acid heating phase, tetraethyoxypropane (1,1,3,3-CH2(CH(OCH3)2)2 is converted stoichiometrically to MDA, and absorbance was measured at 532 nm using UV-visible spectrophotometer (Iturbe-Ormaetxe et al., 1998).
Catalase (CAT) and ascorbate peroxidase (APX) were extracted by soaking known amounts of frozen citrus leaves in icy PO4−3 buffer (pH 7, 0.02 M). The combination was then centrifuged for 20 min at 4°C and 12000 rpm (Agarwal and Shaheen, 2007). CAT was measured by incubating 0.5 mL of the crude enzyme extract with 1 mL of PO4−3 buffer, 0.40 mL of H2O2 and 0.50 mL of H2O2 (0.2 M) for 1 min at 25°C (Sinha, 1972). The mixture was heated for 10 min and the optical density was measured at 610 nm after the enzymatic process was stopped with aliquots of 2 mL of acid reagent (5% dichromate/acetic acid mixture, 1:3 v/v). The unit of measurement for the CAT activity was mmol H2O2 min−1 · g−1 FW. To assess the APX activity, the absorbance drop at 290 nm using UV-1800 UV–Vis spectrophotometer (Shimadzu) was measured in an extinction value of 2.8 mM · cm−1 (Nakano and Asada, 1981); 0.050 mL of the enzyme extract, 0.5 mL of phosphate buffer, 0.075 mL of H2O2 (2 mM) and 100 μL of ascorbate (0.5 mM) were added to start the enzymatic reaction. The ascorbate mmol · min−1 · g−1 FW was used to represent APX activity.
As part of the anatomical analysis conducted 150 days after the onset of treatments, mature leaf samples of volkamer lemon and sour orange (5 mm × 5 mm) were collected during the second season from the midrib of the middle part of the fourth leaf from the top (1 year old). The specimens, including the main midvein, were fixed in formaldehyde–acetic acid–alcohol (FAA) solution for 48 hr, then gently rinsed with sterile water. They were subsequently dehydrated through a graded ethanol series, cleared using ethanol:xylene mixtures (ratios of 3:1, 1:1, 1:3 and finally 100% xylene) and embedded in paraffin wax with a melting point of 52–54°C. Tissue sections (10–15 μm thick) were cut using a rotary microtome, double-stained with safranin and light green, cleared in clove oil and mounted in Canada balsam following the method of Chaffey (2000). Microscopic observations were performed using a light microscope (Olympus CX41, Davao City, Philippines) equipped with a digital camera (TUCSEN, USB2, H Series, Fuzhou, China). Five sections per treatment were analysed to assess the following anatomical traits: cuticle thickness, lamina thickness, midrib zone thickness, palisade mesophyll and spongy mesophyll tissue size, and the length and width of the main vascular bundle (VB) (all in micrometers).
The current study included a statistical examination of the mean data for the two successful seasons. The Co-Stat software package, Version 6.303 (789 Lighthouse Ave PMB 320, Monterey, CA, USA), was utilised to analyse the data using a complete randomised block design (CRBD) one-way analysis with three replications. Duncan’s multiple range test was used to compare the means of all analysed treatment results, with a significance level of p ≤ 0.05.
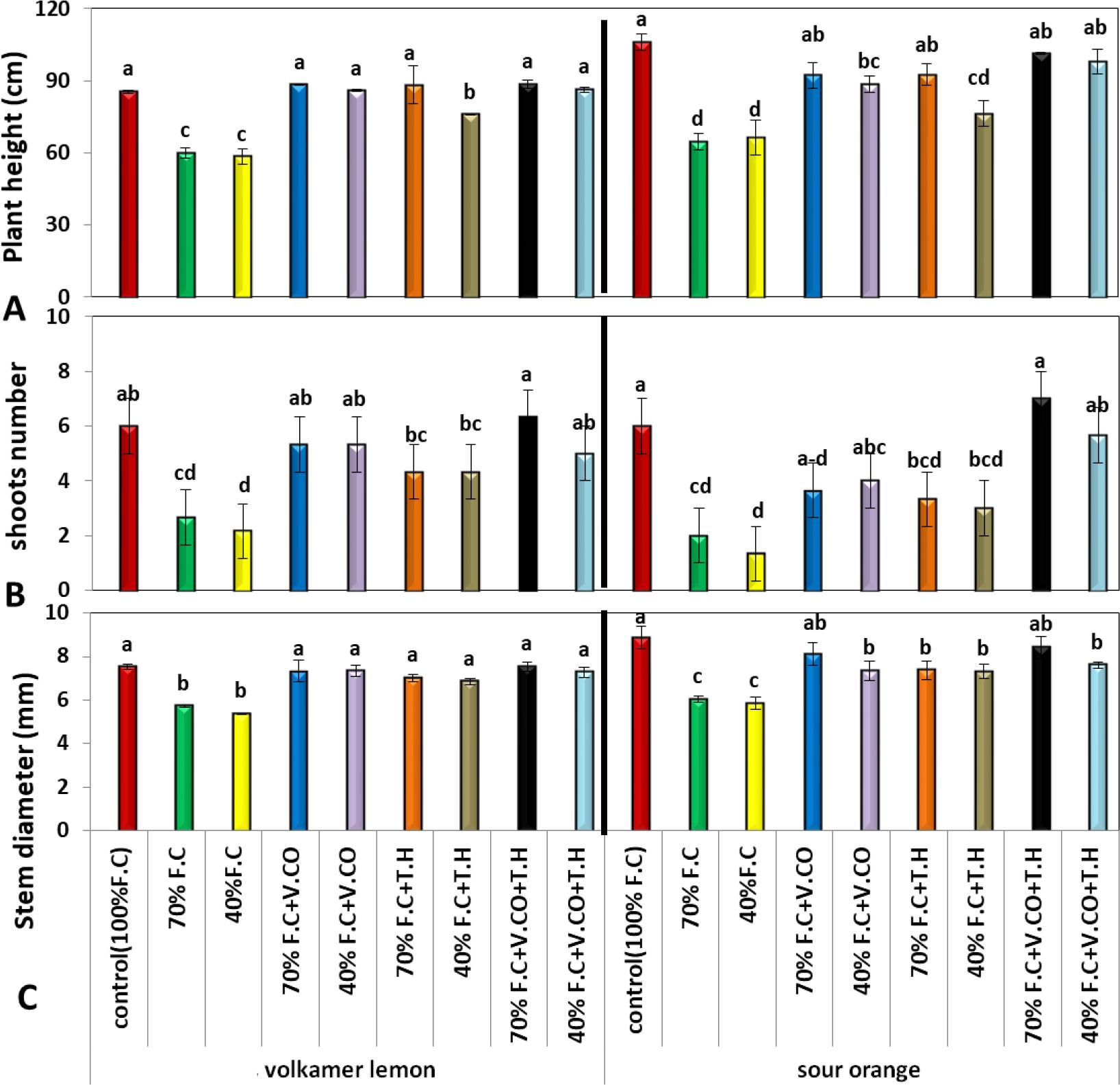
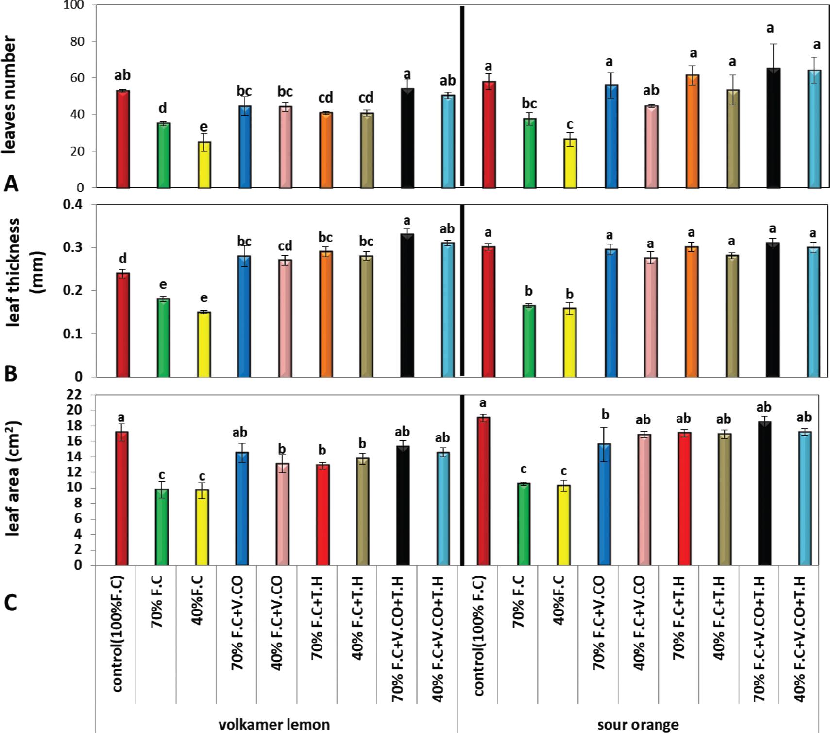
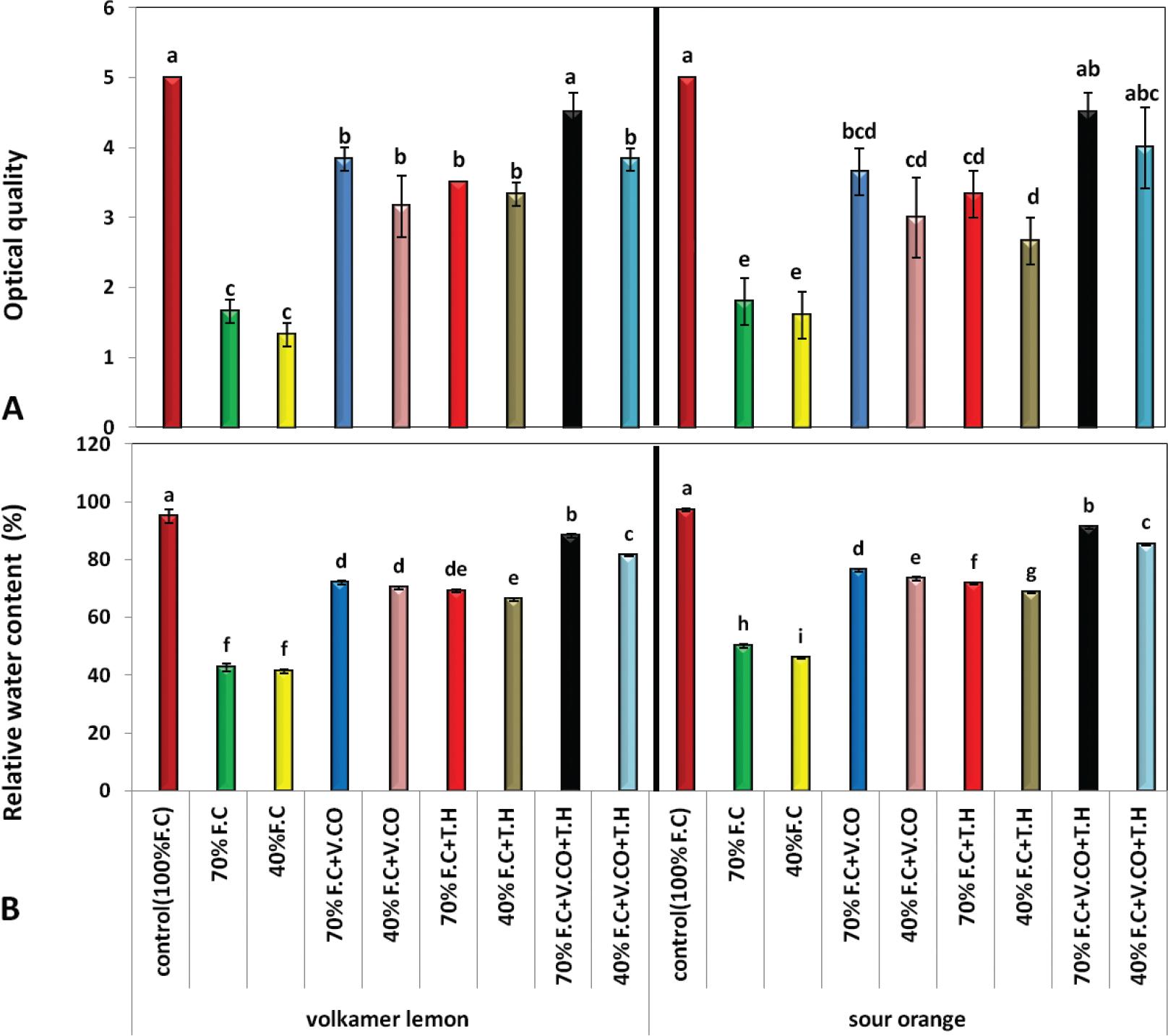
After a period of water stress (water shortage), the results on the citrus rootstock heights (CRH), citrus rootstock shoot numbers (CRSN) and citrus rootstock stem diameter (CRSD) had all steadily declined when the plants were exposed to varying levels of water shortage stress (70% FC and 40% FC) (Figure 1). When plants that had suffered water shortages of 40% FC produced the greatest reductions in the parameters CRH, CRSN and CRSD, the volkamer lemon rootstocks had reached a CRH of 58.5 cm, CRSN of 2.16 and CRSD of 5.36 mm, and the sour orange rootstocks had reached a CRH of 66.3 cm, CRSN of 1.33 and CRSD of 5.85 mm. Using anti-drought stress soil application of V.CO at 1 kg · plant−1 and foliar application of TH at 10 mM together under the level of water shortage (70% FC) produced the most significant values in CRH, CRSN and CRSD, of citrus rootstocks, volkamer lemon and sour orange reached 88.5 cm, 6.33 and 7.55 mm, and 101.26 cm, 7 and 8.42 mm, respectively. These values were higher than those for the plants that received V.CO and TH separately. This was followed by using anti-stress V.CO (1 kg · plant−1) and foliar application of TH at 10 mM together with the level of water shortage (40% FC). It was noticed that utilising the anti-stress V.CO at 1 kg · plant−1 and foliar application of TH at 10 mM together under the level of water shortage (70% FC) of two rootstocks, volkamer lemon and sour orange (Figure 2) significantly increased the number of leaves (RLN) (54 and 65), rootstock leaf thickness (RLT) (0.33 mm and 0.311 mm) and rootstock leaf area (RLA) (15.33 cm2 and 18.49 cm2) as compared with the treatment (40% FC + V.CO + TH), which recorded the number of leaves (50.33 and 64.16), LT (0.31 mm and 0.301 mm) and LA (14.55 cm2 and 17.21 cm2), respectively. Citrus rootstock (volkamer lemon and sour orange) showed negligible leaf injury and high RWC% at the end of the experiment when irrigated with FC 70% and treated with a combination of V.CO + TH (T8) with an optical quality (ROQ) of 4.5, while the other treatments showed lower results, except for the control (Figure 3); whereas the lowest level was 1.33 under the effect of water shortage at 40% FC. Also, the highest water content (RWC%) in the leaves after the control treatment was obtained with V.CO and TH applications under 70% FC, followed by 40% (T8 and T9), compared with the rest of the treatments. Figures 1–3 demonstrate that, in comparison to control and other treatments, using anti-drought stress V.CO (1 kg · plant−1) and foliar application of TH at 10 mM together thoroughly increased all growth characteristics, revised the unfavourable impacts and outdid the detrimental effect of drought under 70% and 40% FC.

The influence of diverse levels of drought (70% FC and 40% FC), V.CO and exogenous TH on CRH (cm) (A), Shoots number (B) and Stem diameter (mm) (C).Three replicates (n = 3) for each season and the means of two se asons (2023 and 2024) make up the data. Duncan’s multiple range test indicates a significant difference at p ≤ 0.05 between the mean values ± SE of each parameter followed by various alphabetical letters. CRH, citrus rootstock height; FC, field capacity; SE, standard error; TH, trehalose; V.CO, vermicompost.

The influence of diverse levels of drought (70% FC and 40% FC), V.CO and exogenous TH on citrus rootstock leaves number (A), LT (mm) (B) and LA (cm2) (C). Three replicates (n = 3) for each season and the means of two seasons (2023 and 2024) make up the data. Duncan’s multiple range test indicates a significant difference at p ≤ 0.05 between the mean values ± SE of each parameter followed by various alphabetical letters. FC, field capacity; LA, leaf area; LT, leaf thickness; SE, standard error; TH, trehalose; V.CO, vermicompost.

The influence of diverse levels of drought (70% FC and 40% FC), V.CO and exogenous TH on optical quality (A) and RWC (%) (B). Three replicates (n = 3) for each season and the means of two seasons (2023 and 2024) make up the data. Duncan’s multiple range test indicates a significant difference at p ≤ 0.05 between the mean values ± SE of each parameter followed by various alphabetical letters. FC, field capacity; RWC, relative water content; SE, standard error; TH, trehalose; V.CO, vermicompost.
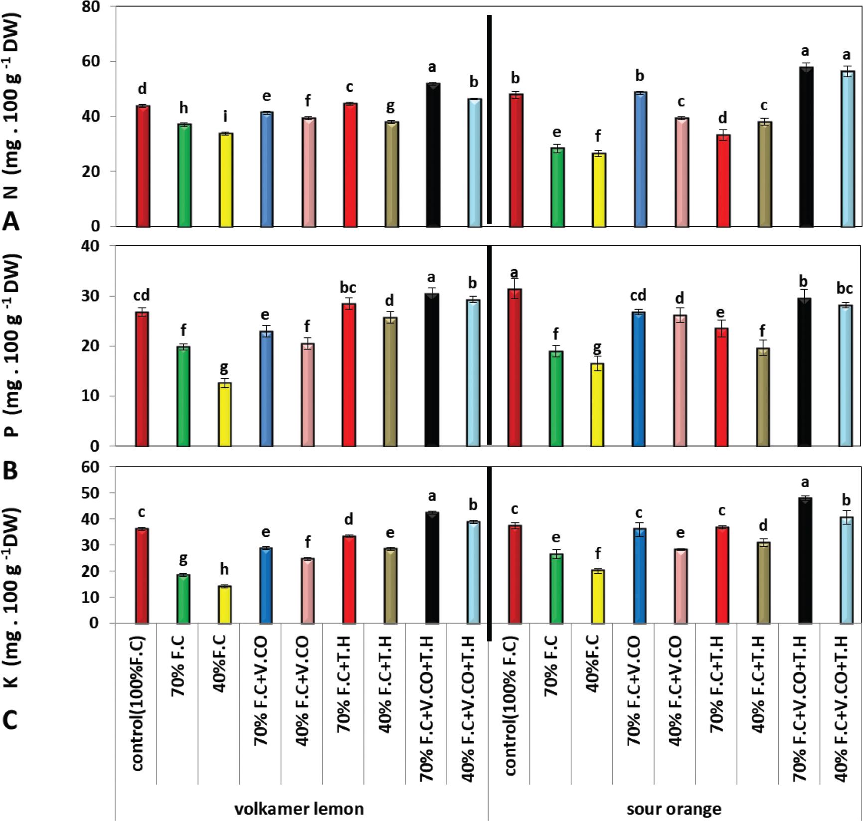
Figure 4 indicates that the amounts of N, P and K in the leaves of citrus rootstock (volkamer lemon and sour orange) seedlings were decreased under drought stress at FC 70 and 40% (T2 and T3) compared with the control and the rest of the treatments. There was a significant increase in the concentration of nitrogen, phosphorus and potassium when seedlings of volkamer lemon and sour orange rootstock were treated with V.CO at (1 kg · plant−1) and sprayed with TH at 10 mM together under FC 70% (T9), as the results were as follows: 51.9, 30.5, 42.6 and 57.8, 29.6, 47. Mg · 100 g−1 DW, respectively.

The influence of diverse levels of drought (70% FC and 40% FC), V.CO and exogenous TH on nitrogen (N) (mg · 100 g−1 DW) (A), phosphorus (P) (mg · 100 g−1 DW) (B) and potassium (K) (mg · 100 g−1 DW) (C). Three replicates (n = 3) for each season and the means of two seasons (2023 and 2024) make up the data. Duncan’s multiple range test indicates a significant difference at p ≤ 0.05 between the mean values ± SE of each parameter followed by various alphabetical letters. DW, dry weight; FC, field capacity; SE, standard error; TH, trehalose; V.CO, vermicompost.
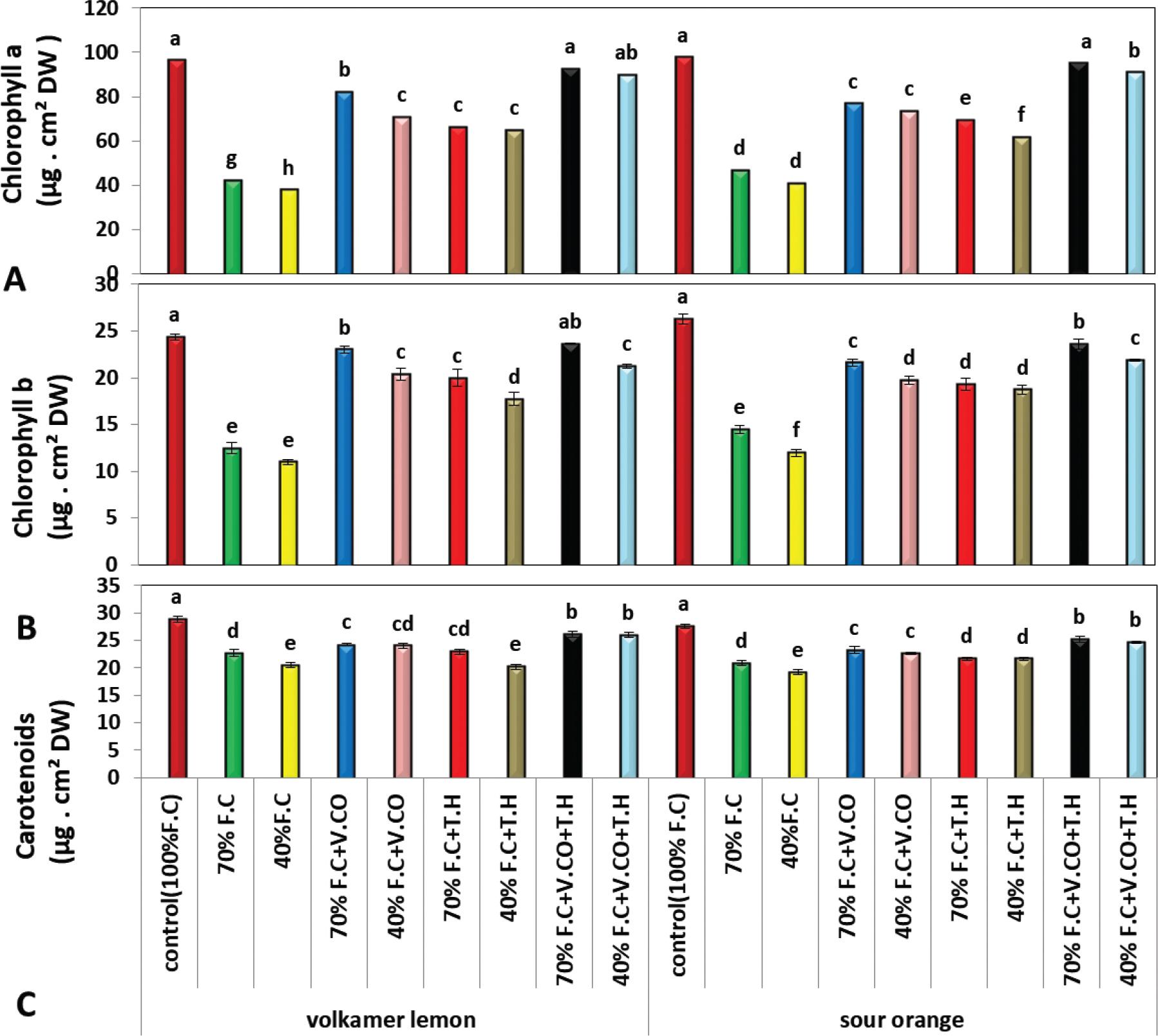
The illustrated results in Figure 5 show the chla, chlb and carotene concentration in volkamer lemon and sour orange rootstock under 100, 70 and 40% of the FC levels affected by addition or absent of V.CO and TH. The results show that the chlorophyll and carotene content were affected by water deficiency, they decreased with the decrease in soil water content. The lowest concentrations of chlorophyll a, chlorophyll b and carotene were evident when volkamer lemon and sour orange rootstock seedlings treated with a water content of 40% of the FC without anti-drought (T2) were recorded at 37.73, 10.97, 20.53 μg · cm−2 and 40.73, 11.97, 19.23 μg · cm−2, respectively. The highest concentration of chlorophyll (chl a, chl b) and carotene for both volkamer lemon and sour orange rootstock were evident in the control treatment (100% FC) recorded at 96.43, 24.39, 28.91 μg · cm−2, and 97.76, 26.26, 27.57 μg · cm−2, respectively. It was followed by treating the seedlings with V.CO and TH combined at 70% FC (T8); their values were 92.41, 23.65, 26.16 μg · cm−2, for volkamer lemon and 95.41, 23.65, 25.16 μg · cm−2 for sour orange. The data confirmed that the treatment of both volkamer lemon and sour orange rootstock by V.CO at (1 kg · plant−1) and TH at 10 mM together had a highly significant effect on improving the pigment content of both rootstock leaves, compared with non-treated seedlings. Treated volkamer lemon and sour orange rootstock with (V.CO + TH) maintained leaf pigment contents under two levels of drought stress: 70% and 40% FC.

The influence of diverse levels of drought (70% FC and 40% FC), V.CO and exogenous TH on chlorophyll a (μg · cm2 DW) (A), chlorophyll b (μg · cm2 DW) (B) and carotenoids (μg · cm2 DW) (C). Three replicates (n = 3) for each season and the means of two seasons (2023 and 2024) make up the data. Duncan’s multiple range test indicates a significant difference at p ≤ 0.05 between the mean values ± SE of each parameter followed by various alphabetical letters. FC, field capacity; SE, standard error; TH, trehalose; V.CO, vermicompost.
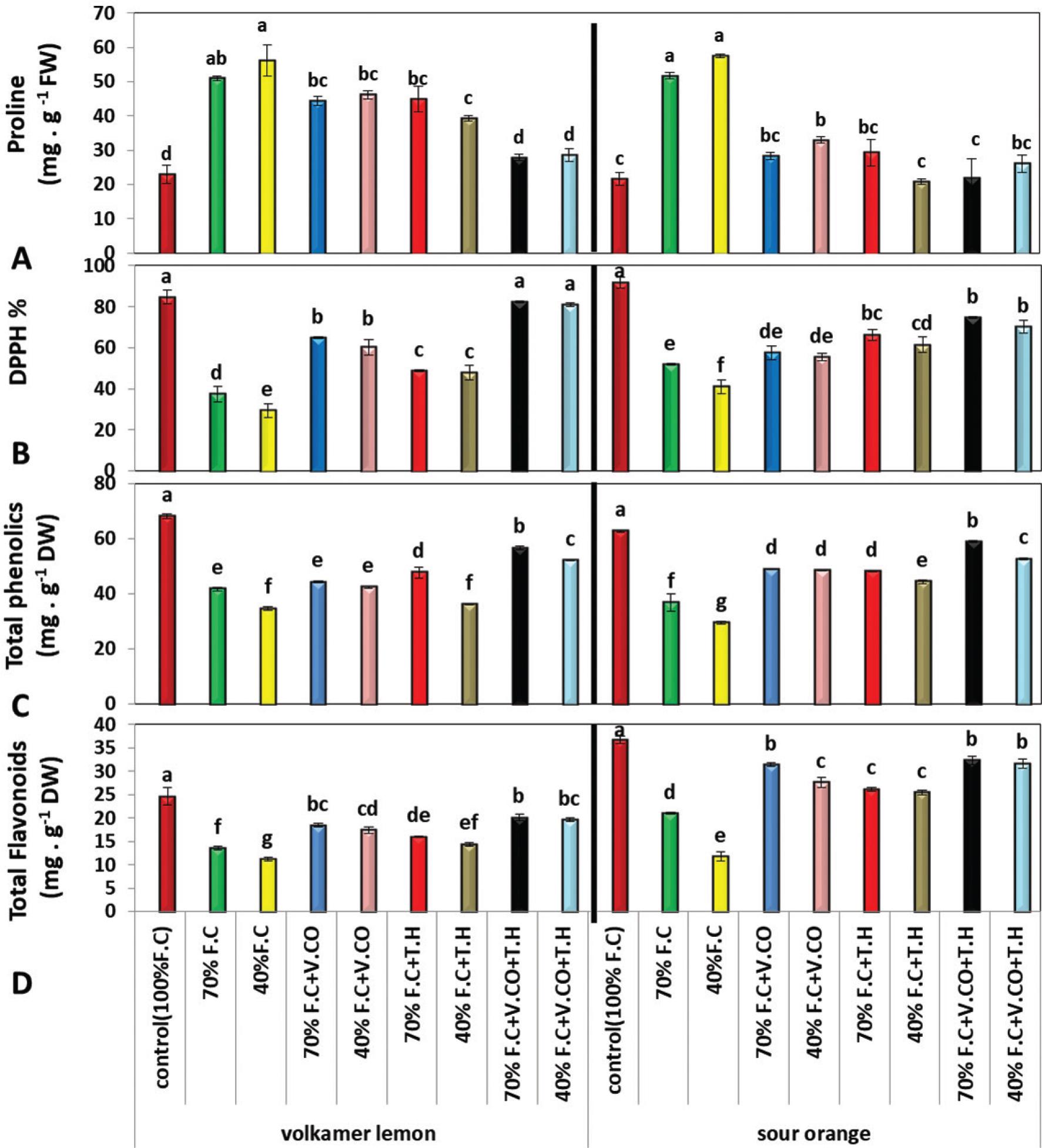
From the results obtained in Figure 6, it is clear that there was a significant increase in the concentration of proline in the leaves of both volkamer lemon and sour orange rootstocks irrigated with 70% and 40% of FC compared with the control plants at 100% FC. The highest concentration of proline was seen when both rootstocks, volkamer lemon and sour orange, were irrigated at 40% FC (T3); their values were (56.18 and 57.52 mg · g−1 FW), respectively, compared with 70% FC (T2) their values were (50.99, 51.75 mg · g−1 FW), respectively. In addition, treating both volkamer lemon and sour orange rootstock with V.CO and TH separately or in combination significantly decreased proline under the influence of drought stress compared with untreated seedlings (T2 and T3). The lowest proline values were found in both volkamer lemon and sour orange (T8), at 27.9 mg · g−1 and 21.9 mg · g−1 FW, respectively. By comparing the volkamer lemon and sour orange rootstock, it was found that sour orange rootstock is more tolerant to water shortage stress, and it appeared to respond more to anti-stress treatments (V.CO at 1 kg · plant−1, and TH at 10 mM) than volkamer rootstock, whether in the form of a separate or combined treatment.

The influence of diverse levels of drought (70% FC and 40% FC), V.CO and exogenous TH on Proline (mg · g−1 FW) (A), DPPH (%) (B), total phenolics (mg · g−1 DW) (C) and total flavonoids (mg · g−1 DW) (D). Three replicates (n = 3) for each season and the means of two seasons (2023 and 2024) make up the data. Duncan’s multiple range test indicates a significant difference at p ≤ 0.05 between the mean values ± SE of each parameter followed by various alphabetical letters. DPPH, 2,2-diphenyl-1-picrylhydrazyl; DW, dry weight; FC, field capacity; FW, fresh weight; SE, standard error; TH, trehalose; V.CO, vermicompost.
The results show that the quantity of DPPH, phenols and flavonoids declined as the water demand shortage increased for both volkamer lemon and sour orange rootstocks (Figure 6). This was more evident in volkamer lemon rootstock compared with sour orange rootstock, and this indicates that volkamer lemon rootstock is more affected by water deficiency. It is proved that, under 40% FC (T3), it exhibited values of 29.4%, 34.77 mg · g−1 DW, 11.24 mg · g−1 DW and 40.98%, 48.65 mg · g−1 DW, 25.46 mg · g−1 DW, for DPPH, phenols and flavonoids respectively, compared with 70% FC (T2), 37.5%, 41.86 mg · g−1 DW, 13.59 mg · g−1 DW and 51.95%, 37 mg · g−1 DW, 21.02 mg · g−1 DW, in this respect for volkamer lemon and sour orange seedlings rootstocks, respectively. On the contrary, it was shown that treating volkamer lemon and sour orange seedlings rootstock with V.CO at 1 kg · plant−1 and TH at 10 mM as anti-stress agents led to a significant increase in the concentrations of DPPH, phenols and Flavonoids, especially when present in a mixture under stress of 70% and 40% FC.
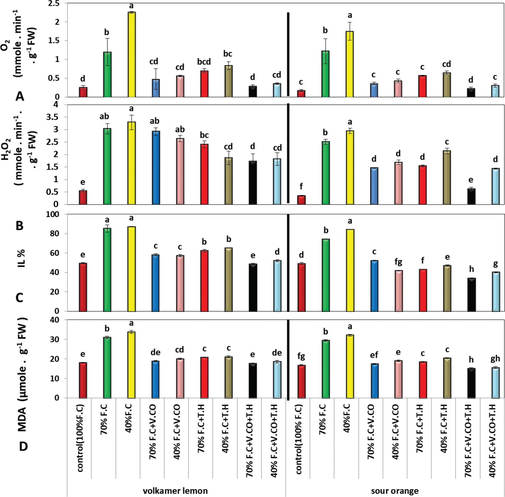
The results in Figure 7 reveal that both volkamer lemon and sour orange rootstock irrigated at FC 70% (T2) and 40% (T3) significantly affected the O2 and H2O2 accumulation rate. After the period of drought stress, O2 and H2O2 accumulation was markedly increased. In the citrus rootstock treated with V.CO at 1 kg · plant−1 and TH at 10 mM together under the drought level of 40% FC (T9) in which O2 and H2O2 accumulation increased slightly in both volkamer lemon and sour orange rootstock, which reached 0.355, 0.304 mmol · min−1·g−1 FW and 1.82, 1.44 mmol · min−1 · g−1 FW, respectively, compared with T3, (40% FC without anti-stress), which exhibited 2.254, 1.749 mmol · min−1 · g−1 FW and 3.29, 1.82 mmol · min−1 · g−1 FW, respectively. It is evident from the results that the concentration of MDA and IL% increased significantly when both volkamer lemon and sour orange rootstocks were irrigated at 70% FC or 40% FC compared with the control 100% of FC. The highest level of IL% and MDA was produced when both rootstocks were irrigated at 40% FC compared with 70% FC. In addition, treating both volkamer lemon and sour orange rootstock with V.CO and/or TH separately or together gave a significant decrease of IL%, and MDA concentrations under the influence of drought stress compared with untreated seedlings (T2 and T3). By comparing the volkamer lemon and sour orange rootstocks, it was found that sour orange rootstock is more tolerant to water shortage stress and responds more to anti-stress treatments (V.CO at 1 kg · plant−1, and TH at 10 mM) than volkamer root stock, whether in the form of a separate or combined treatment.

The influence of diverse levels of drought (70% FC and 40% FC), V.CO and exogenous TH on superoxide anion (O2) (mmole · min−1 · g−1 FW), (A), hydrogen peroxide (H2O2) (mmole · min−1 · g−1 FW) (B), IL (%) (C) and MDA (μmole · g−1 FW) (D). Three replicates (n = 3) for each season and the means of two seasons (2023 and 2024) make up the data. Duncan’s multiple range test indicates a significant difference at p ≤ 0.05 between the mean values ± SE of each parameter followed by various alphabetical letters. FC, field capacity; FW, fresh weight; IL, ion leakage; MDA, malondialdehyde; SE, standard error; TH, trehalose; V.CO, vermicompost.
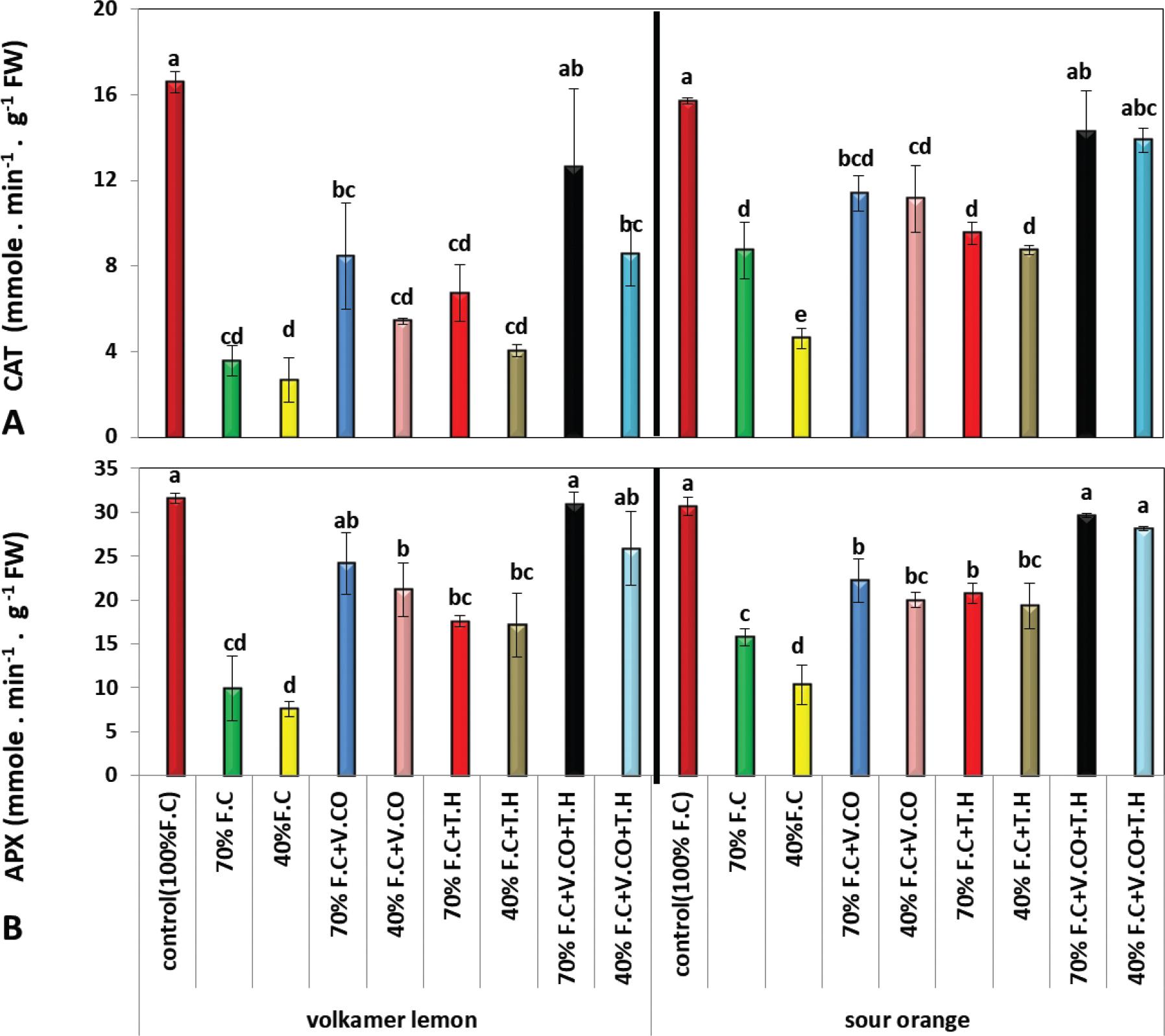
Figure 8 shows that the levels of the antioxidant enzymes CAT and APX increased significantly when both of seedlings rootstock, volkamer lemon and sour orange seedlings, were treated with V.CO at (1 kg · plant−1) and TH at (10 mM) combined as anti-stress under the influence of drought stress 70% FC and 40% FC. The values were 12.63, 8.55, 14.27 and 13.87 mmol · min−1 · g−1 FW and 30.96, 25.85, 29.64 and 28.11 mmol · min−1 · g−1 FW, respectively, compared with treatments (T2) (70% FC) and T3 (40% FC), which resulted in the lowest concentrations of the antioxidant enzymes. The values were 3.56, 2.67, 8.74 and 4.62 mmol · min−1 · g−1 FW, and 9.92, 7.59, 15.8 and 10.35 mmol · min−1 · g−1 FW, respectively. Thus, it is clear that using V.CO at 1 kg · plant−1 and TH at 10 mM together under the influence of drought stress helped to increase antioxidant enzyme levels, which increased the resistance of citrus rootstock seedlings to drought stress. It is also noted that the level of antioxidant enzymes was higher in the sour orange rootstock compared with volkamer lemon rootstock seedlings under drought stress at a level of 70% and 40% FC.

The influence of diverse levels of drought (70% FC and 40% FC), V.CO and exogenous TH on CAT (mmole · min−1 · g−1 FW) (A) and APX (mmole · min−1 · g−1 FW) (B). Three replicates (n = 3) for each season and the means of two seasons (2023 and 2024) make up the data. Duncan’s multiple range test indicates a significant difference at p ≤ 0.05 between the mean values ± SE of each parameter followed by various alphabetical letters. APX, ascorbate peroxides; CAT, catalase; FC, field capacity; FW, fresh weight; SE, standard error; TH, trehalose; V.CO, vermicompost.
The anatomical characteristics of the leaf lamina in both rootstocks, volkamer lemon and sour orange, had no differences across treatments in several key features (Table 1). The general outline was raised on both the adaxial and abaxial surfaces in all treatments. The dermal system displayed the presence of both eglandular and glandular trichomes consistently across treatments, with epidermal cells exhibiting tangential to radial elongation. The mesophyll tissue was dorsiventral in type, with two layers of palisade cells extending to the mid-rib region under all conditions. Mechanical tissue, represented by annular collenchyma, and ground tissue, comprising parenchyma, were similarly consistent across treatments. The vascular system exhibited a continuous outline in all treatments, with no crystals detected, while the secretory system presented schizogenous ducts in all treatments.
Lamina micro-morphological characters of citrus rootstock leaves as affected by drought stress and anti-stress (V.CO and TH).
| Dermal system | Mesophyll tissue | Mechanical tissue | Ground tissue | Vascular system | Secretory system | Crystals | |||||||||
|---|---|---|---|---|---|---|---|---|---|---|---|---|---|---|---|
| Trichomes | |||||||||||||||
| Rootstock type | Treatment no. | Outline in T.s | Eglandular | Glandular | Cuticle | Epidermal cells | Type | Palisade Rows No. | Palisade extended at mid rib region | Collenchyma | Parenchyma | Outline | No of bundles | Schizogenous duct | |
| Volkamer lemon | Tl | Raised adaxially & abaxially | - | - | Thick | Tangentially, radially | Dorsiventral | 2 | + | Annular | + | Continuous | 37 | + | - |
| T2 | // | - | - | Thin | // | // | // | + | // | + | // | 45 | + | - | |
| T3 | // | - | - | // | // | // | // | + | // | + | // | 34 | + | - | |
| T4 | // | - | - | // | // | // | // | + | // | + | // | 26 | + | - | |
| T5 | // | - | - | Thick | // | // | // | + | // | + | // | 25 | + | - | |
| T6 | // | - | - | // | // | // | // | + | // | + | // | 23 | + | - | |
| T7 | // | - | - | // | // | // | // | + | // | + | // | 23 | + | - | |
| T8 | // | - | - | // | // | // | // | + | // | + | // | 24 | + | - | |
| T9 | // | - | - | // | // | // | // | + | // | + | // | 36 | + | - | |
| Sour orange | Tl | // | - | - | Thick | // | // | // | + | // | + | // | 40 | + | - |
| T2 | // | - | - | Thin | // | // | // | + | // | + | // | 52 | + | - | |
| T3 | // | - | - | // | // | // | // | + | // | + | // | 46 | + | - | |
| T4 | // | - | - | Thick | // | // | // | + | // | + | // | 58 | + | - | |
| T5 | // | - | - | // | // | // | // | + | // | + | // | 37 | + | - | |
| T6 | // | - | - | // | // | // | // | + | // | + | // | 35 | + | - | |
| T7 | // | - | - | // | // | // | // | + | // | + | // | 37 | + | - | |
| T8 | // | - | - | // | // | // | // | + | // | + | // | 39 | + | - | |
| T9 | // | - | - | // | // | // | // | + | // | + | // | 38 | + | - | |
(Tl) control with 100% FC; (T2) with 70% FC; (T3) with 40% FC; (T4) with 70% FC + V.CO; (T5) 40% FC + V.CO; (T6) 70% FC + TH; (T7) 40% FC + TH; (T8) 70% FC + V.CO + TH; (T9) 40% FC + V.CO + TH.
FC, field capacity; TH, trehalose; V.CO, vermicompost.
However, variations were observed in specific features. The cuticle was thin under treatments T2, T3 and T4 for volkamer lemon, and T2 and T3 for sour orange, whereas it remained thick in the remaining treatments. Differences were also noted in the number and size of VBs.
Microscopic examination of citrus leaf crosssections revealed an asymmetrical, heterogeneous structure, characterised by two layers of uneven palisade parenchyma (Figures 9 and 10), as further depicted in Figures 11 and 12. Drought stress markedly influenced the anatomical features of citrus leaves, with sour orange displaying less pronounced structural changes compared with volkamer lemon. Importantly, the response of the anatomical attributes to a water deficit was found to depend on the cultivar; it affected parameters such as LT, midrib zone thickness, VB size and individual cell size (Figures 9–12). Across all irrigation regimes, sour orange consistently exhibited higher values for these parameters compared with volkamer lemon.

The transverse section through the leaves blade on the median portion of Volkamer lemon rootstock as affected by drought stress and anti stress (V.CO and TH) shows asymmetric. (A) Control with 100% FC; (B) with 70% FC; (C) with 40% FC; (D) with 70% FC + V.CO; (E) 40% F C + V.CO; (F) 70% FC + TH; (G) 40% FC + TH; (H) 70% FC + V.CO + TH; (I) 40% FC + V.CO + TH. (Obj. 10×). FC, field capacity; LE, lower epidermis; PT, palisade tissue; SD, schizogenous duct; ST, spongy tissue; TH, trehalose; UE, upper epidermis; VB, vascular bundle; V.CO, vermicompost.

The transverse section through the leaves blade on the median portion of Sour orange rootstock as affected by drought stress and anti stress (V.CO and TH) shows asymmetric. (A) Control with 100% FC; (B) with 70% FC; (C) with 40% FC; (D) with 70% FC + V.CO; (E) 40% FC + V.CO; (F) 70% FC + TH; (G) 40% FC + TH; (H) 70% FC + V. CO + TH; (I) 40% FC + V.CO + TH. (Obj. 10×). FC, field capacity; LE, lower epidermis; PT, palisade tissue; SD, schizogenous duct; ST, spongy tissue; TH, trehalose; UE, upper epidermis; V.CO, vermicompost; VB, vascular bundle.

Leaf transverse section of Volkamer lemon rootstock as affected by drought stress and anti-stress (V.CO and TH) showing two unequal palisade parenchyma. (A) Control with 100% FC; (B) with 70% FC; (C) with 40% FC; (D) with 70% FC + V.CO; (E) 40% FC + V.CO; (F) 70% FC + TH; (G) 40% FC + TH; (H) 70% FC + V.CO + TH; (I) 40% FC + V.CO + TH (Obj. 10× and 40×). FC, field capacity; LE, lower epidermis; PT, palisade tissue; ST, spongy tissue; TH, trehalose; UE, upper epidermis; VB, vascular bundle; V.CO, vermicompost.
Extreme drought stress significantly reduced the thickness of all leaf tissues, with volkamer lemon showing the most pronounced reductions. Notably, the presence of compact mesophyll cells lacking intercellular spaces under stress conditions was indicative of enhanced stress tolerance, while the occurrence of intercellular spaces was more prominent in unstressed leaves. Moreover, VBs were markedly smaller under drought stress compared with well-watered conditions.
Furthermore, all anatomical parameters were significantly influenced by the application of V.CO and TH under drought conditions. The application of V.CO resulted in the highest midrib zone thickness at treatments T4 and T5, particularly T4 (70% FC + V. CO), reaching values of 56.829 μm and 55.706 μm in volkamer lemon and sour orange, respectively, compared with T2 and T3, which did not receive any V.CO. Similarly, the application of TH resulted in the highest values at T6 and T7, notably at T6 (70% FC + TH), recording 55.554 μm and 59.238 μm in volkamer lemon and sour orange, respectively.
Interestingly, the combined application of V.CO and TH produced the most pronounced enhancements in leaf anatomical traits. Treatment T8 (70% FC + V. CO + TH) resulted in midrib thicknesses of 61.989 μm and 60.879 μm in volkamer lemon and sour orange, respectively. Likewise, under severe drought stress (40% FC), the combined application (T9) yielded midrib zone thicknesses of 61.712 μm and 72.425 μm in volkamer lemon and sour orange, respectively. These values surpassed those observed in treatments without amendments (T2, T3) or with single applications of V.CO or TH (T4–T7) (Table 2).
Lamina anatomical traits of citrus rootstock leaves as affected by drought stress and anti-stress (V.CO and TH).
| Rootstock type | Treatment no. | Cuticle thickness (μm) | Lamina thickness (μm) | Midrib zone thickness (μm) | Cell size (μm) | VB of mid rib (μm) | ||
|---|---|---|---|---|---|---|---|---|
| Palisade mesophyll | Spongy mesophyll | Vertical length | Horizontal length | |||||
| Volkamer lemon | T1 | 97.39 ± 0.008 c | 15.44 ± 5.773 a | 61.17 ± 5.773 c | 3.41 ± 5.773 d | 10.97 ± 3.333 d | 39.79 ± 5.773 a | 45.57 ± 3.333 c |
| T2 | 67.02 ± 0.014 h | 12.84 ± 0.010 h | 54.86 ± 6.666 f | 2.36 ± 5.773 i | 9.62 ± 3.333 h | 34.32 ± 5.773 g | 46.31 ± 5.773 a | |
| T3 | 70.87 ± 0.014 g | 12.18 ± 0.003 i | 51.57 ± 5.773 h | 3.11 ± 5.773 g | 10.94 ± 6.666 e | 34.35 ± 8.819 f | 43.12 ± 8.819 g | |
| T4 | 66.37 ± 0.037 i | 13.03 ± 6.666 g | 56.82 ± 8.819 d | 2.54 ± 8.190 h | 9.57 ± 6.666 i | 34.02 ± 5.773 h | 39.11 ± 3.333 h | |
| T5 | 80.38 ± 0.008 f | 14.13 ± 3.333 f | 54.16 ± 0.002 g | 4.58 ± 5.773 a | 11.09 ±6.666 a | 36.06 ±0.001 e | 44.66 ± 44.66 d | |
| T6 | 84.09 ±0.011 e | 14.27 ± 5.773 e | 55.55 ± 6.666 e | 3.62 ± 5.773 b | 10.99 ± 6.666 b | 36.49 ± 5.773 d | 43.35 ± 43.35 f | |
| T7 | 88.81 ±0.017 d | 14.30 ± 8.819 d | 50.09 ± 6.666 i | 3.14 ± 8.819 f | 10.98 ± 3.333 c | 30.97 ± 5.773 i | 37.45 ± 5.773 i | |
| T8 | 100.00 ±0.021 b | 14.88 ±0.001 c | 61.98 ± 3.333 a | 3.46 ± 6.666 c | 10.66 ± 0.003 g | 37.20 ± 5.773 c | 45.88 ± 3.333 b | |
| T9 | 102.16 ±0.005 a | 15.01 ± 8.819 b | 61.71 ± 8.819 b | 3.32 ± 8.819 e | 10.66 ± 0.001 f | 38.61 ± 5.773 b | 44.38 ±0.001 e | |
| Sour orange | T1 | 90.12 ± 0.014 c | 18.02 ± 5.773 a | 57.29 ± 5.773 a | 3.77 ± 0.148 c | 13.88 ±5.773 a | 36.75 ± 0.001 c | 43.90 ± 8.819 e |
| T2 | 72.14 ± 0.012 h | 13.84 ± 8.819 h | 46.30 ± 5.773 h | 2.71 ± 3.333 e | 10.97 ± 8.819 h | 29.39 ± 5.773 g | 37.16 ± 3.333 g | |
| T3 | 69.58 ±0.011 i | 12.90 ± 8.819 i | 42.69 ± 0.003 i | 3.29 ± 5.773 d | 8.69 ± 5.773 i | 25.15 ± 5.773 h | 33.58 ± 3.333 h | |
| T4 | 75.25 ± 0.017 g | 16.69 ± 3.333 e | 55.70 ± 5.773 e | 3.82 ± 5.773 b | 11.41 ± 5.773 g | 35.68 ± 5.773 d | 46.23 ± 8.819 c | |
| T5 | 80.31 ± 0.008 f | 16.82 ± 5.773 d | 43.32 ± 0.003 g | 2.85 ± 8.819 e | 12.02 ±0.001 e | 24.13 ± 5.773 i | 32.41 ± 3.333 i | |
| T6 | 83.47 ± 0.014 e | 15.32 ± 5.773 g | 59.23 ± 8.819 c | 3.59 ±0.001 c | 11.90 ± 5.773 f | 35.45 ± 5.773 e | 41.82 ± 8.819 f | |
| T7 | 87.35 ± 0.014 e | 15.60 ± 8.819 f | 52.84 ± 8.189 f | 3.89 ± 3.333 b | 12.90 ±0.001 c | 33.46 ± 5.773 f | 44.07 ± 3.333 d | |
| T8 | 94.82 ± 0.014 b | 17.09 ± 6.666 c | 60.87 ± 5.773 b | 4.09 ± 5.773 a | 12.34 ± 5.773 d | 41.36 ±0.001 b | 51.23 ± 5.773 b | |
| T9 | 97.32 ±0.014 a | 17.77 ± 5.773 b | 72.42 ± 5.773 a | 3.74 ± 3.333 be | 13.27 ± 5.773 b | 45.36 ±0.001 a | 64.20 ± 3.333 a | |
Data are means of the second season (2024) and five replicates (n = 5). According to Duncan’s multiple range test, there is a significant difference at p ≤ 0.05 between the mean values ± SE of each parameter in the same column that is followed by distinct alphabetical letters.
(T1) control with 100% FC; (T2) with 70% FC; (T3) with 40% FC; (T4) with 70% FC + V.CO; (T5) 40% FC + V.CO; (T6) 70% FC + TH; (T7) 40% FC + TH; (T8) 70% FC + V.CO + TH; (T9) 40% FC + V.CO + TH. FC, field capacity; SE, standard error; TH, trehalose; VB, vascular bundle; V.CO, vermicompost.
One important stressor that restricts the development and yield of important crops is water scarcity (Barnabás et al., 2008). Drought conditions impair plant development by inducing osmotic stress, inhibiting cell division and expansion (Mahmood et al., 2012) and ultimately reducing biomass accumulation and yield (Chen et al., 2016; Li and Liu, 2016). Our results supported the hypothesis that morphological, chemical and physiological traits are negatively affected by plant exposure to drought stress and that the use of antidrought substances such as V.CO and TH improves the status of all of these traits by increasing a plant’s tolerance to drought stress through mitigating oxidative damage. In the present study, the effects of drought stress on the vegetative growth of volkamer lemon and sour orange rootstock seedlings were assessed under anti-stress treatments, including soil application of V.CO (1 kg · plant−1) and foliar application of TH (10 mM). The growth parameters measured included the CRH, CRSN, CRSD, rootstock leaves number (RLN), RLT and RLA (Figures 1 and 2). The results indicated that increasing drought severity, particularly under 40% FC (T3), significantly reduced all measured vegetative traits. This suggested that the adverse effects of drought stress on citrus rootstock growth were severe. The application of V.CO (1 kg · plant−1) and TH (10 mM) significantly mitigated the adverse effects of drought stress on citrus rootstock seedlings, enhancing various vegetative parameters. The improvement in growth is attributed to the generation of bioactive compounds during V.CO decomposition, including auxin-like substances and humic and fulvic acids (Ahmad et al., 2022), as well as its high nutrient content, particularly nitrogen (Roy et al., 2010). V.CO also enhances rhizospheric microbial populations, such as mycorrhizal fungi, which contribute to improved drought tolerance via enhanced nutrient uptake and osmotic adjustment (Kale et al., 1992; Ramegowda et al., 2014; Amiri et al., 2017; Aslam et al., 2021). Additionally, V.CO promotes photosynthesis, transpiration and biomass buildup under water-limited situations (García et al., 2014; Ahmad et al., 2022), and its humic substances enhance metal ion absorption and osmotic regulation via negatively charged functional groups (Huerta et al., 2010). Similarly, the exogenous application of TH preserved plant’s water status under drought by stabilising membranes, maintaining the osmotic balance and enhancing the RWC, ultimately supporting biomass accumulation and seedling growth (Nounjan et al., 2012; Akram et al., 2015; Shafiq et al., 2015; Abdallah et al., 2016).
Under drought conditions (40% and 70% FC), untreated seedlings exhibited a reduced leaf optical quality and RWC, whereas combined V.CO and TH treatments significantly improved RWC and reduced leaf injury(ROQ) for both rootstocks under 70% and 40% water stress; the results were 88.23, 81.49, 91.17 and 85.27%, and 4.5, 3.83, 4.5 and 4.0, respectively (Figure 3). Drought stress has a major impact on important physiological markers of plant water status, such as RWC, leaf water potential, stomatal resistance, transpiration rate and canopy temperature (Shao et al., 2008; Farooq et al., 2009). Under water deficit conditions, reduced RWC triggers stomatal shutdown and decreases leaf water potential, leading to higher stomatal resistance. This, in turn, restricts transpiration and elevates leaf temperature. TH application was effective in maintaining tissue hydration and promoting stomatal regulation, thereby mitigating drought-induced oxidative damage and preserving membrane integrity (Akram et al., 2015; González et al., 2019). On the contrary, dryness considerably raised membrane permeability, jeopardising cellular integrity (Hammad and Ali, 2014). In terms of nutrient dynamics, drought stress caused a marked reduction in the leaf concentrations of nitrogen (N), phosphorus (P) and potassium (K) in both volkamer lemon and sour orange rootstocks, with the most pronounced deficiencies observed under 40% FC irrigation; the results were 46.36, 29.3, 39 and 56.46, 28.2, 40.63 mg · 100 g−1 DW, respectively (Figure 4). This finding aligns with previous reports indicating that drought stress impairs nutrient uptake and accumulation, leading to reduced plant productivity (Maksimović et al., 2003; Hu and Schmidhalter, 2005; Kosar et al., 2021). However, the combined application of V.CO and TH restored N, P and K levels in drought-stressed seedlings. V.CO contributes to enhanced nutrient availability by improving soil structure, increasing microbial activity and stimulating processes such as nitrification, mineralisation and phosphorus solubilisation, particularly in calcareous soils (Karlsons et al., 2016; Brucker et al., 2020; Erdal and Ekinci, 2020). Furthermore, its high content of essential nutrients and organic matter supports sustained plant growth and nutrient uptake (Pourranjbari Saghaiesh et al., 2019). TH supplementation under drought conditions further enhanced the absorption and accumulation of macro elements, including nitrogen, phosphorus, potassium and calcium (Akram et al., 2016; Tarek et al., 2017).
Drought stress significantly reduced the concentrations of photosynthetic pigments, including chlorophyll a, chlorophyll b and carotenoids, in the leaves of volkamer lemon and sour orange seedlings (Figure 5). This decline indicates a potential disruption of chloroplast integrity, consistent with previous findings that linked a water deficit to impaired chlorophyll biosynthesis and pigment oxidation (Anjum et al., 2011; Din et al., 2011; Sadak, 2016). However, the application of V.CO and exogenous TH mitigated these adverse effects by enhancing pigment levels under both stressed and non-stressed conditions. V.CO likely exerts this protective effect due to its rich composition of macro- and micronutrients, including Fe, Zn, Cu and Mn, which support antioxidant enzyme activity and pigment biosynthesis (Roy et al., 2010; Atik, 2013). The decline in chlorophyll under stress may also be attributed to increased proline accumulation, which competes with chlorophyll biosynthesis for glutamate precursors (Arancon et al., 2004; Berova and Karanatsidis, 2009; Chen et al., 2012). Similarly, TH enhances chloroplast stability and osmotic balance and its protective role in maintaining chlorophyll content has been documented under various abiotic stresses, including cadmium toxicity and salinity (Duman et al., 2011; Theerakulpisut and Phongngarm, 2013). TH-induced upregulation of antioxidant defences may further contribute to pigment preservation under drought (Sadak, 2016).
Figures 6 and 7 demonstrate that treatments with TH and V.CO, either separately or in combination, significantly enhanced the levels of total phenolic compounds, flavonoids and radical scavenging activity (DPPH), while reducing ROS production (e.g. H2O2 and O2•–), MDA levels and IL%, in citrus rootstocks under escalating levels of water deficit (T2 and T3). Drought in citrus rootstocks led to a reduction in phenolic and flavonoid levels along with DPPH activity, alongside increased proline accumulation. Phenolic compounds, which are stress-induced metabolites, accumulate under water deficit conditions and are key components of the plant defence response. Consistent with previous studies (Celikcan et al., 2021; Kosar et al., 2021; Kosem et al., 2022), V.CO application under stress has been positively associated with enhanced synthesis of phenolic and flavonoids compounds. These secondary metabolites, particularly flavonoids, function as antioxidants by scavenging ROS, which impairs cellular structures and biomolecules through polyphenolutilising enzymatic pathways (Harborne and Williams, 2000; Sgherri et al., 2003; Sereme et al., 2016; Hassan et al., 2020). The use of organic amendments and nitrogen enrichment has also been reported to stimulate phenolic production (Gharibi et al., 2019; Amarowicz et al., 2020; Bahcesular et al., 2020) and mitigate drought-induced oxidative damage, possibly by enhancing antioxidant defences and stabilising membrane integrity (García et al., 2012; Kiran, 2019). TH likely contributes to increased antioxidant activity by functioning as a molecule that signals and causes the synthesis of non-enzymatic antioxidants and enhances ROS detoxification, thereby mitigating drought-created oxidative stress (Theerakulpisut and Phongngarm, 2013; Shafiq et al., 2015).
Mechanistically, TH reduces lipoxygenase (LOX) activity and the subsequent peroxidation of membrane lipids, leading to lower H2O2 and MDA levels (Nounjan et al., 2012; Ma et al., 2013; Sadak et al., 2019; Zhu et al., 2022). Collectively, these findings suggest that V.CO and TH treatments synergistically enhance drought resilience in citrus rootstocks by attenuating oxidative stress, preserving membrane integrity and improving a plant’s relations with H2O2.
It is well known that drought stress increases oxidative damage in plants by inhibiting the activity of important antioxidant enzymes such as APX, CAT and superoxide dismutase (SOD) (Selote and Khanna-Chopra, 2010; Akram et al., 2017). Nevertheless, our results show that applying TH and V.CO during dry conditions greatly increased CAT and APX activities in citrus rootstock seedlings (Figure 8), suggesting a reinforced antioxidative defence system. The CAT results for volkamer lemon and sour orange rootstock under 70% and 40% FC were 12.63, 8.55, 14.27 and 13.87 mmol · min−1 · g−1 FW and APX were 30.96, 25.85, 29.64 and 28.11 mmol · min−1 · g−1 FW, respectively. This upregulation likely contributed to improved ROS detoxification and protection of cellular structures, consistent with previous reports on rice and maize (Ali and Ashraf, 2011; García et al., 2014; Wang et al., 2017). V.CO appears to promote drought tolerance not only through its content of organic matter and its growthregulating properties but also by enhancing nutrient availability, particularly potassium (K+) and calcium (Ca2+), which play critical roles in reducing transpiration and activating antioxidant enzymes, respectively (Andersen et al., 1992). Enhanced enzyme activity contributes to reduced membrane lipid peroxidation and improved membrane stability. Likewise, TH supplementation has been shown to enhance antioxidant enzyme activities, including of CAT, APX, SOD and peroxidase (POD), under drought stress conditions (Aldesuquy and Ghanem, 2015; Fichtner and Lunn, 2021). As a compatible solute and ROS scavenger, TH improves cellular redox homeostasis and mitigates oxidative damage. Increased APX and CAT activities following TH treatment has been reported in multiple species under water stress (Garg and Manchanda, 2009; Duman et al., 2011), underscoring its role in enhancing enzymatic defence mechanisms. Collectively, the combined application of V.CO and TH effectively stimulates antioxidant enzyme systems, thereby strengthening plant resilience to drought-induced oxidative stress.
Under drought stress, this investigation reveals notable anatomical adaptations in citrus species, particularly in terms of leaf morphology. Studies have shown that leaves become shorter and develop a thicker epidermis, a trait that contributes to reduced transpiration rates and mitigates oxidative stress (Chartzoulakis et al., 1999; Mao et al., 2011a, 2011b). Changes in the vascular anatomy are essential for a plant to develop the ability to adjust to ecological stress. The mid-leaf VBs, responsible for the distribution of water and nutrients, are notably affected under drought situations. A reduction in VB size and LA under stress suggests an anatomical strategy to limit water loss while maintaining essential physiological functions to some extent. This structural adaptation helps conserve water but limits gas exchange. As a result, photosynthesis and nutrient transport are negatively affected. Under normal conditions, citrus leaves have a loose mesophyll structure that facilitates CO2 diffusion for photosynthesis. Drought stress causes the mesophyll to become compacted, reducing air spaces and internal CO2 conductance (Mao et al., 2011a, 2011b). This leads to decreased photosynthesis due to both stomatal and internal (non-stomatal) limitations (Flexas et al., 2007). The reduced intercellular space during drought hinders the lateral movement of nutrients and water vapour within the leaf. This limits the mobility of essential ions such as nitrogen and potassium, causing nutrient imbalances and decreased metabolic activity (Chartzoulakis et al., 1999). Although the anatomical changes help conserve water, they limit CO2 intake and internal diffusion, reducing photosynthesis, chlorophyll content and growth (Chaves et al., 2003). Thicker cell walls in mesophyll further hinder the uptake of foliar nutrients and the conductance of mesophyll (Terashima et al., 2011). Volkamer lemon is characterised by a relatively higher stomatal conductance and transpiration rate under moderate drought stress compared with sour orange, suggesting a more isohydric strategy, where the plant maintains gas exchange despite declining water availability. By contrast, sour orange exhibits a more isohydric response, characterised by early stomatal closure to conserve water (Syvertsen and Levy, 2005). This leads to better maintenance of leaf water potential in sour orange, but at the cost of reduced photosynthetic activity. Within the VB, xylem vessels are key to water transport; however, plants possessing larger xylem diameters are more susceptible to hydraulic failure under extreme drought, as they are less capable of withstanding increased tension in the water column (Wu et al., 2013; Qaderi et al., 2019; Balfagón et al., 2022).
The anatomical analyses presented in Figures 9–12 reveal that both sour orange and volkamer lemon rootstocks exhibited drought-induced changes in leaf anatomy as drought severity increased. Notably, under extreme drought conditions, both genotypes recognised for their relative drought tolerance displayed reduced values across all measured anatomical parameters. These structural modifications likely contribute to enhanced drought resilience by minimising the risk of xylem embolism, increasing resistance to water flow, and preserving nutrient transport pathways, consistent with previous observations.

Leaf transverse section of sour orange rootstock as affected by drought stress and anti-stress (V.CO and TH) showing two unequal palisade parenchyma. (A) Control with 100% FC; (B) with 70% FC; (C) with 40% FC; (D) with 70% FC + V.CO; (E) 40% FC + V.CO; (F) 70% FC + TH; (G) 40% FC + TH; (H) 70% FC + V.CO + TH; (I) 40% FC + V.CO + TH (Obj. 10× and 40×). FC, field capacity; LE, lower epidermis; PT, palisade tissue; SD, schizogenous duct; ST, spongy tissue; TH, trehalose; UE, upper epidermis; VB, vascular bundle; V.CO, vermicompost.
Our study’s findings demonstrated that drought damages anatomical, physiological, biochemical and morphological traits. This effect is evident when placing volkamer lemon and sour orange rootstock seedlings under 40% of FC. On the contrary, it became clear that treating citrus rootstock seedlings with V.CO and TH together under the influence of water stress led to an improvement in all vegetative characteristics and anatomical structures, an increase in the antioxidant system, and a decrease in the concentration of free radicals and IL%, which indicated the contribution of both V.CO and TH to maintaining properties of the cell membrane under the influence of water stress. Given the current global shortage of freshwater resulting from the impacts of climate change and the fact that Egypt’s share of freshwater is decreasing as a result of the construction of the Renaissance Dam in Ethiopia, there is an urgent need to conserve water in our country. For this reason, we recommend using 1 kg · plant−1 of V.CO as a soil application and 10 mM TH as a foliar application in combination under water stress conditions at 70% and 40% of FC to reduce freshwater consumption, which varies across plant ages and species. This requires further study.