Figure 1.

Figure 2.

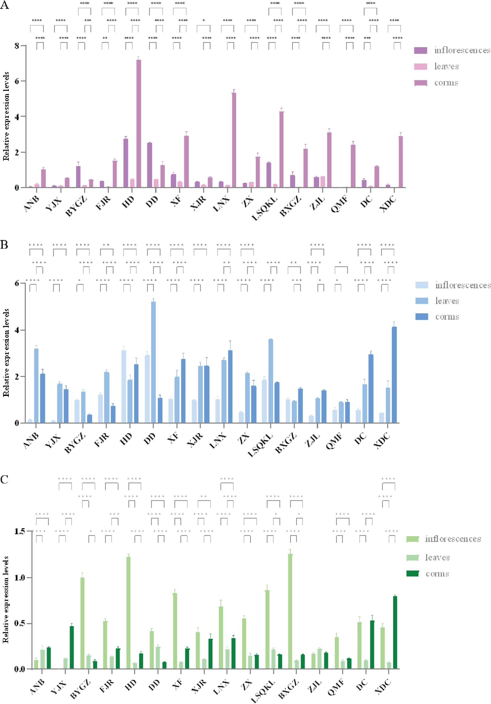
Figure 3.

Figure 4.

Figure 5.

Figure 6.

Figure 7.

RT-qPCR primer sequences_
| Primer | Forward primer 5′-3′ | Reverse primer 5′-3′ |
|---|---|---|
| CURS1 | ACCTGCACTTGACCGAGGAGAT | CGATGCCGCTGATGGAACAGAA |
| CURS2 | CAGGACATCGTGGTGGAGGAGA | ACTGTAGAGCATCAGGCGGTTG |
| CURS3 | GGTACTTGCACTTGACGGAGGA | ATGAGGCGGTTGACGGACAG |
The physicochemical properties of CURS proteins in C_ alismatifolia_
| Protein | Amino acid in length/aa | Molecular weight/Da | Isoelectric point | Hydrophobicity coefficient | Instability index | Fat coefficient | Molecular formula |
|---|---|---|---|---|---|---|---|
| CURS2 | 390 | 43069.470 | 6.110 | –0.103 | 46.350 | 89.360 | C1922 H3028 N528 O560 S18 |
| CURS3 | 390 | 43100.400 | 5.920 | –0.155 | 38.210 | 85.590 | C1922 H3017 N531 O560 S18 |
Polymerase chain reaction primer sequences_
| Primer | Forward primer 5′-3′ | Reverse primer 5′-3′ |
|---|---|---|
| CURS2 | ATGGCGATCAGCTTGCAGGCGAT | CTAAAGCGGCACGCTTTGGAGC |
| CURS3 | ATGGGCAGCCTGCAGGCGATGC | CTACGGTATTGGTACACTGCGT |