Curcumin is a bioactive compound with significant medicinal properties. It plays a role as a health guardian in various aspects such as antioxidation, anti-inflammation, cardiovascular protection, regulation of gut microbiota, cancer prevention and liver protection. Moreover, it exhibits low toxicity and broad health benefits, rendering it highly promising for applications in functional foods, skincare and medicine (Vallée and Lecarpentier, 2020; Ding et al., 2024; Cao et al., 2025; Hao et al., 2025; Roy and Banerji, 2025).
In the fields of food, healthcare and medicine, the application of curcumin is rapidly expanding. Studies have shown that curcumin and its extracts are involved in treating 31 conditions and 10 types of autoimmune diseases, including ankylosing spondylitis, rheumatoid arthritis, systemic lupus erythematosus and ulcerative colitis (Zeng et al., 2022). Additionally, clinical studies showed that curcumin had protective effects on cardiovascular health. Toxicological research has also confirmed its safety. Curcumin can significantly protect myocardial cells from ischemia-reperfusion injury and reduce drug-induced myocardial damage (Yang et al., 2024). Curcumin also shows potential in lowering risks and treating non-alcoholic fatty liver disease (Yang et al., 2022). In the prevention, diagnosis and treatment of Alzheimer’s disease, curcumin effectively preserves the normal structure and function of cerebral blood vessels, mitochondria and synapses, thereby reducing risk factors for various chronic diseases and lowering the risk of Alzheimer’s disease (Chen et al., 2018; Beenish et al., 2022; Zang et al., 2024). Additionally, curcumin-loaded nanoparticles enhance anti-fatigue capacity by promoting glycogen synthesis, prolonging exhaustive swimming time, accelerating blood lactate metabolism, regulating blood urea nitrogen levels, antioxidant enzyme activity and lipid peroxidation (Chen et al., 2022). These findings reinforce curcumin’s role in the fields of nutraceuticals and medicine.
Curcumin is mainly derived from Zingiberaceae plants such as Curcuma longa, Curcuma aromatica and Curcuma phaeocaulis. Curcumin content analysis showed that the concentration of curcumin in C. longa was the highest, followed by C. phaeocaulis, and C. aromatica was the least (Wang et al., 2017). Curcuma alismatifolia is a perennial tropical flowering plant of the Curcuma genus. Its unique and colourful inflorescences make it highly ornamental and popular among consumers (Dong et al., 2022). C. alismatifolia contains rich bioactive compounds, with curcumin showing significant potential. Current research on C. alismatifolia mainly focuses on cultivation and new resource development. Essential oils extracted from C. alismatifolia rhizomes exhibited antioxidant activity, with 2,2-Diphenyl-1- picrylhydrazyl (DPPH) radical scavenging and iron-reducing abilities comparable to L-ascorbic acid (Theanphong and Mingvanish, 2017). However, studies on its therapeutic potential remain preliminary, and curcumin extraction and pharmacological applications demand further investigation (Dong et al., 2022).
Curcumin biosynthesis is a complex process involving multiple enzymes and genes. The curcumin synthase (CURS) gene family, including curcumin synthase 1 (CURS1), curcumin synthase 2 (CURS2) and curcumin synthase 3 (CURS3), plays a key role in the final steps of curcumin synthesis by catalysing its formation (Ahmed et al., 2025). Therefore, understanding the structure, function and expression patterns of CURS genes in C. alismatifolia is crucial for elucidating the mechanisms of curcumin biosynthesis and improving curcumin yield through genetic engineering.
This study measured curcumin content in the corms, leaves and inflorescences of 16 C. alismatifolia genotypes to analyse differences among varieties and tissues. Reverse Transcription Quantitative Polymerase Chain Reaction (RT-qPCR) was used to examine the expression patterns of CURS genes in different tissues (inflorescences, leaves and corms) of these 16 genotypes. Additionally, homologous cloning was applied to obtain the CURS genes coding sequences (CDS) from C. alismatifolia, followed by bioinformatics analysis. This study aims to explore curcumin content variations in C. alismatifolia, assess its potential as a new curcumin source, and provide a scientific basis for developing new functional foods. The findings provide a direct basis for selecting C. alismatifolia genotypes with high curcumin content and identifying optimal tissues for extraction; they establish a critical genetic foundation for developing efficient and precise molecular breeding strategies in this species.
Healthy samples of 16 C. alismatifolia genotypes were obtained from Zhangzhou Jinluan Horticulture Co., Ltd. (Shiming Village, Yanxi Town, Changtai County, Zhangzhou, Fujian Province, China). The genotypes included Cherry Anna Princess (white) (ANB), YuKi (YJX), Silver Princess (BYGZ), Lanna Snow (LNX), Snow White (BXGZ), Jasmine Pink (FJR), X3 (ZJL), Butterfly (HD), Doitung (DD), Chiang Mai Pink (QMF), Twister (XF), Giant (XJR), Siam TM Scarlet (ZX), NewSolo (XDC), Solo (DC) and Green Chocolate (LSQKL). Corms, leaves and inflorescences were collected as experimental materials. Three biological replicates were prepared for each genotype. Growth conditions and management were consistent. Samples were rinsed under running water and air-dried at room temperature. To accelerate moisture removal, corms were cut into small pieces and oven-dried. Inflorescences and leaves were cut into fragments and sun-dried. This process effectively removed moisture and reduced interference from chlorophyll and anthocyanins (Ciuca and Racovita, 2023).
To establish the curcumin standard curve, 3 mg of curcumin standard was weighed and dissolved in 6 mL of 75% ethanol to obtain a 0.5 mg · mL−1 standard solution. Precise volumes of 10, 20, 30, 40 and 50 μL were pipetted into separate test tubes and diluted to a final volume of 4.0 mL with 75% ethanol. After thorough mixing, the absorbance of each solution was measured at 425 nm using a spectrophotometer. The standard curve was constructed with curcumin concentration as the X-axis and absorbance values as the Y-axis (Sogi et al., 2010; Shirsath et al., 2017; Gal et al., 2023; Manasa et al., 2023). The linear regression equation was calculated as Y = 0.2266 X + 0.0711, with a coefficient of determination (R2) of 0.9993, indicating excellent linearity (Figure 1).

Curcumin sample standard curve.
Dried samples were ground and sieved through a 60- mesh screen. Powder (1 g) was mixed with 50 mL of 75% ethanol and sonicated for 30 min. Using a 75% ethanol solution as the blank reference, the absorbance of each sample was measured at 425 nm in a spectrophotometer. Three replicates were performed for each sample. The concentration of curcumin in the sample solutions was calculated using the fitted linear regression equation, and the curcumin content in various tissues of C. alismatifolia was determined using the following formula (Sogi et al., 2010; Shirsath et al., 2017; Gal et al., 2023; Manasa et al., 2023):
All curcumin content measurements are expressed as mean ± standard deviation (SD) of three independent biological replicates. Statistical analyses were performed using GraphPad Prism software (version 9.5.0) GraphPad Software, LLC. One-way analysis of variance (ANOVA) was conducted to evaluate significant differences among groups, followed by Tukey’s honestly significant difference (HSD) test for multiple comparisons.
Total RNA was reverse-transcribed into cDNA using the Prime Script II kit (Vazyme, Nanjing, China). The cDNA synthesis procedure was performed as follows: 3 μL of total RNA was denatured with 5 μL of RNase-free ddH2O at 65°C for 5 min. Then, 2 μL of 5 × gDNA wiper Mix was added and incubated at 42°C for 2 min to remove genomic DNA. The reverse transcription reaction system was assembled by adding 2 μL 10 × RT Mix, 2 μL HiScript III Enzyme Mix, 1 μL random hexamers and 5 μL RNase-free ddH2O. The reverse transcription was carried out under the following conditions: 25°C for 5 min, 37°C for 45 min and 85°C for 5 s. Fluorescence quantitative primers (Table 1) for CURS genes were designed based on transcriptome data. The Actin gene was used as an internal control for normalisation, as its expression remained stable across all samples (Jiang et al., 2024). qPCR was performed with Hieff UNICON®, MEGA, version 10.2.0Hieff UNICON®: was developed by Koichiro Tamura, Glen Stecher, and Sudhir Kumar Universal Blue qPCR SYBR Green Master Mix (China) on the instruments (QuantStudio 6Flex Real-Time PCR Detection System). Relative gene expression levels were calculated using the 2−ΔΔCt method. All RT-qPCR data were expressed as mean ± SD of three independent biological replicates. Statistical analyses were performed using GraphPad Prism software (version 9.5.0). Two-way ANOVA was conducted to evaluate significant differences among groups, followed by Tukey’s HSD test for multiple comparisons.
RT-qPCR primer sequences.
| Primer | Forward primer 5′-3′ | Reverse primer 5′-3′ |
|---|---|---|
| CURS1 | ACCTGCACTTGACCGAGGAGAT | CGATGCCGCTGATGGAACAGAA |
| CURS2 | CAGGACATCGTGGTGGAGGAGA | ACTGTAGAGCATCAGGCGGTTG |
| CURS3 | GGTACTTGCACTTGACGGAGGA | ATGAGGCGGTTGACGGACAG |
CURS1, curcumin synthase 1; CURS2, curcumin synthase 2; CURS3, curcumin synthase 3; RT-qPCR, reverse transcription quantitative polymerase chain reaction.
Cloning primers (Table 2) for CURS1, CURS2 and CURS3 were designed based on transcriptome data (Jiang et al., 2024). cDNA from the 16 genotypes was used as a template. The PCR reaction mixture consisted of the following components: 1 μL of cDNA, 0.75 μL of CURS-F (10 μmol L−1), 0.75 μL of CURS-R (10 μmol · L−1), 12.5 μL of 2 × Rapid Taq Master Mix (Vazyme), and 10 μL of ddH2O. PCR conditions: 95°C for 3 min; 35 cycles of 95°C for 30 s, 62°C for 30 s, 72°C for 2 min; 72°C for 10 min. The PCR products were purified by gel electrophoresis and cloned into an ampicillin-resistant vector using the TOPO kit (Ultra-Universal TOPO Cloning Kit, Vazyme). The vector was then transformed into chemically competent Escherichia coli DH5α Cells and cultured at 37°C for 12 h. Positive clones were identified and sequenced.
Polymerase chain reaction primer sequences.
| Primer | Forward primer 5′-3′ | Reverse primer 5′-3′ |
|---|---|---|
| CURS2 | ATGGCGATCAGCTTGCAGGCGAT | CTAAAGCGGCACGCTTTGGAGC |
| CURS3 | ATGGGCAGCCTGCAGGCGATGC | CTACGGTATTGGTACACTGCGT |
CURS2, curcumin synthase 2; CURS3, curcumin synthase 3.
The nucleotide sequences were compared for homologous sequence similarity using the Basic Local Alignment Search Tool (BLAST) on the National Center for Biotechnology Information (NCBI). The physicochemical properties of the CURS proteins were analysed using the Expert Protein Analysis System (ExPASy). The three-dimensional structure of the protein was predicted online using the Protein Structure Homology-Modelling Server (SWISS-MODEL), with existing protein structures as templates. The evolutionary relationships of the genes were analysed by constructing a phylogenetic tree using the neighbour-joining method in Molecular Evolutionary Genetics Analysis (MEGA, version 10.2.0) software.
In corms, Twister (0.299 mg · g−1) and Doitung (0.296 mg · g−1) exhibited the highest curcumin content. Giant (0.051 mg · g−1), Siam TM Scarlet (0.055 mg · g−1), Silver Princess (0.057 mg · g−1), Cherry Anna Princess (white) (0.061 mg · g−1), Solo (0.061 mg g−1), NewSolo (0.073 mg · g−1), Lanna Snow (0.076 mg · g−1), Snow White (0.081 mg · g−1), Butterfly (0.082 mg · g−1) and Chiang Mai Pink (0.091 mg · g−1) showed significantly lower content (Figure 2A).

Curcumin content in different C. alismatifolia genotypes. Note: (A) Curcumin content in corms of different C. alismatifolia genotypes, (B) Curcumin content in inflorescences of different C. alismatifolia genotypes and (C) Curcumin content in leaves of different C. alismatifolia genotypes. Different lowercase letters indicate significant differences among groups (p < 0.05). ANB, Cherry Anna Princess (white); BXGZ, Snow White; BYGZ, Silver Princess; DC, Solo; DD, Doitung; FJR, Jasmine Pink; HD, Butterfly; LNX, Lanna Snow; LSQKL, Green Chocolate; QMF, Chiang Mai Pink; XDC, NewSolo; XF, Twister; XJR, Giant; YJX, YuKi; ZJL, X3; ZX, Siam TM Scarlet.
In inflorescences, Lanna Snow exhibited the highest content (0.375 mg · g−1). Snow White had the lowest (0.142 mg · g−1). Doitung (0.180 mg · g−1), Chiang Mai Pink (0.192 mg · g−1) and Giant (0.192 mg · g−1) also showed low content (Figure 2B).
In leaves, NewSolo exhibited the highest content (0.783 mg · g−1). Snow White (0.287 mg · g−1) and Siam TM Scarlet (0.305 mg · g−1) contained the lowest. Cherry Anna Princess (white) (0.743 mg · g−1), Twister (0.701 mg · g−1), Doitung (0.698 mg · g−1), YuKi (0.697 mg · g−1), Solo (0.650 mg · g−1), Giant (0.644 mg · g−1), Lanna Snow (0.594 mg · g−1), Chiang Mai Pink (0.587 mg · g−1) and Green Chocolate (0.582 mg · g−1) also exhibited high content (Figure 2C).
Leaves exhibited the highest curcumin content. Except for Doitung and Twister, inflorescences had higher content than corms. Twister and Doitung exhibited the highest total content. Green Chocolate and Lanna Snow also exhibited high total content. Butterfly, Silver Princess, Siam TM Scarlet and Snow White exhibited the lowest total content.
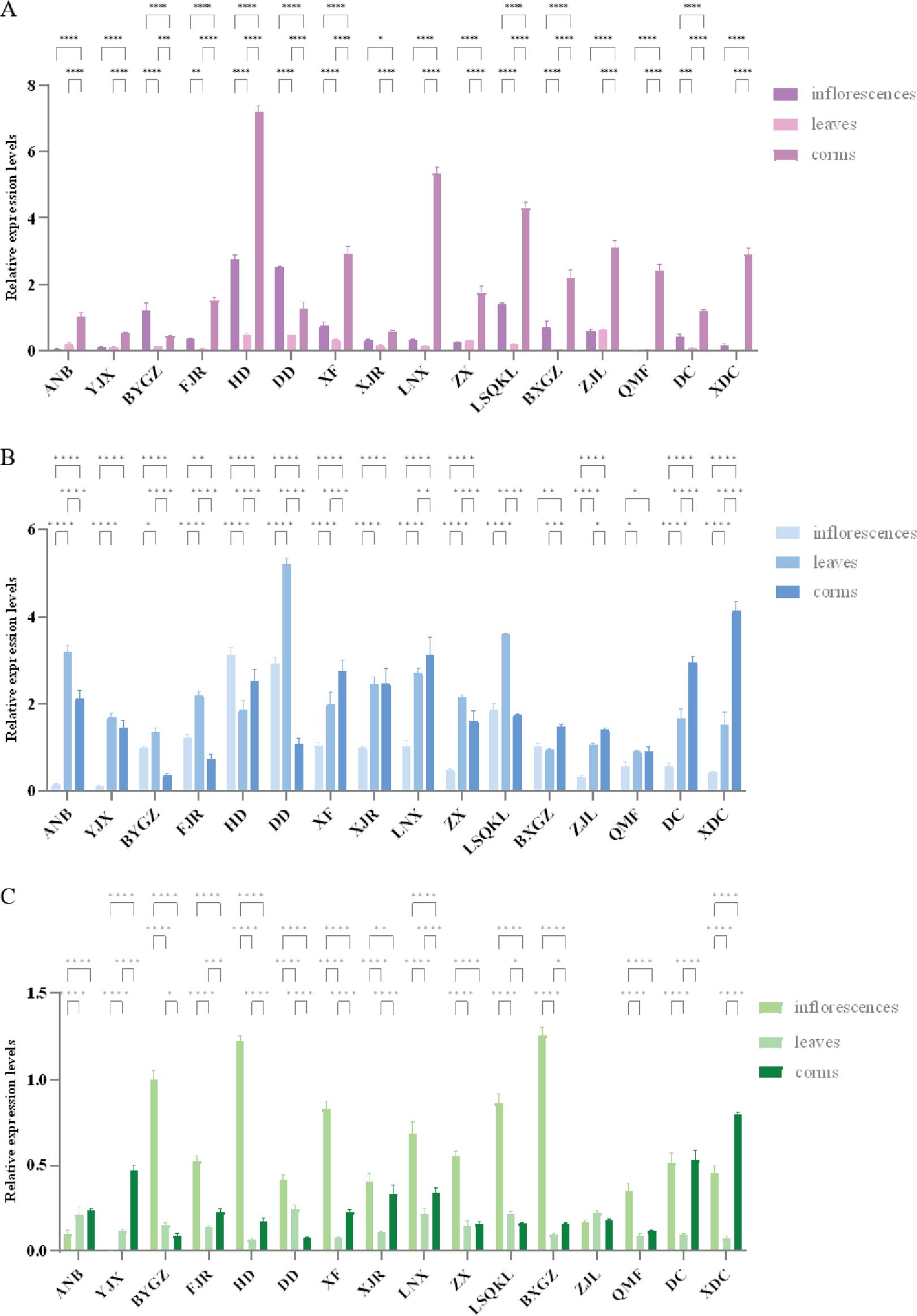
CURS genes expression varied significantly among genotypes (Figure 3). CURS1 expression was highest in Butterfly corms. CURS2 expression was highest in Doitung leaves, with notably high levels also detected in the NewSolo corms and Green Chocolate leaves. CURS3 expression was highest in Butterfly and Snow White inflorescences.

RT-qPCR of CURS1, CURS2 and CURS3 in C. alismatifolia. Note: (A) RT-qPCR of CURS1 in C. alismatifolia, (B) RT-qPCR of CURS2 in C. alismatifolia and (C) RT-qPCR of CURS3 in C. alismatifolia. Comparisons were made within each genotype across tissues. *, **, *** and **** represent p < 0.05, p < 0.01, p < 0.001 and p < 0.0001. ANB, Cherry Anna Princess (white); BXGZ, Snow White; BYGZ, Silver Princess; CURS1, curcumin synthase 1; CURS2, curcumin synthase 2; CURS3, curcumin synthase 3; DC, Solo; DD, Doitung; FJR, Jasmine Pink; HD, Butterfly; LNX, Lanna Snow; LSQKL, Green Chocolate; QMF, Chiang Mai Pink; RT-qPCR, reverse transcription quantitative polymerase chain reaction; XDC, NewSolo; XF, Twister; XJR, Giant; YJX, YuKi; ZJL, X3; ZX, Siam TM Scarlet.
Analysis of the overall expression levels of the CURS genes in three tissues revealed distinct patterns among genotypes. CURS1 was highest in Butterfly. Green Chocolate and Lanna Snow also showed high expression levels. CURS2 was highest in Doitung. Most genotypes exhibited high CURS2 expression except for Silver Princess, X3 and Chiang Mai Pink. CURS3 was highest in Snow White and Butterfly.
The expression advantages of the three subtypes of the CURS genes were different in the tissues of C. alismatifolia. The advantage expression of CURS1 was in the corms, followed by the inflorescences and leaves; the advantage expression of CURS2 was in the leaves, with a relatively high expression in the corms as well, and the expression in leaves and corms was significantly greater than that in the inflorescences; CURS3 exhibited the highest expression in the inflorescences, followed by the corms, and the expression in leaves was the lowest.
The CURS2 and CURS3 gene sequences were successfully cloned from the plant genotypes of C. alismatifolia, both exhibiting a length of 1173 bp and encoding 390 amino acids. Sequence alignment revealed that the CURS2 and CURS3 genes shared more than 98% identity with the complete CDS regions of C. longa. These comparison results showed that the obtained gene sequences were the CDS regions of CURS2 and CURS3. In addition, a conservation analysis was conducted of the CURS genes sequences from different C. alismatifolia genotypes (Figures 4 and 5). It was found that the sequences of the CURS2 and CURS3 genes in different C. alismatifolia genotypes were highly conserved.

Sequence alignment of the CURS2 gene. BXGZ, Snow White; BYGZ, Silver Princess; CURS2, curcumin synthase 2; DC, Solo; HD, Butterfly; LNX, Lanna Snow; LSQKL, Green Chocolate; XF, Twister; XJR, Giant; ZJL, X3; ZX, Siam TM Scarlet.

Sequence alignment of the CURS3 gene. BXGZ, Snow White; BYGZ, Silver Princess; CURS3, curcumin synthase 3; DC, Solo; HD, Butterfly; LNX, Lanna Snow; LSQKL, Green Chocolate.; XF, Twister; XJR, Giant; ZJL, X3; ZX, Siam TM Scarlet.
The sequence of amino acids determines the function of the protein. In this study, the physicochemical properties of the CURS protein were analysed using ExPASy (Table 3). It was found that CURS2 protein belonged to the unstable protein category, while CURS3 protein belonged to the stable protein category.
The physicochemical properties of CURS proteins in C. alismatifolia.
| Protein | Amino acid in length/aa | Molecular weight/Da | Isoelectric point | Hydrophobicity coefficient | Instability index | Fat coefficient | Molecular formula |
|---|---|---|---|---|---|---|---|
| CURS2 | 390 | 43069.470 | 6.110 | –0.103 | 46.350 | 89.360 | C1922 H3028 N528 O560 S18 |
| CURS3 | 390 | 43100.400 | 5.920 | –0.155 | 38.210 | 85.590 | C1922 H3017 N531 O560 S18 |
CURS2, curcumin synthase 2 protein, CURS3, curcumin synthase 3 protein.
In this study, the tertiary structures of CURS2 and CURS3 proteins were predicted online using SWISS-MODEL (Figure 6). The prediction results showed that the similarity of the tertiary structure between the CURS2 proteins of C. alismatifolia and C. longa was 98% (with 98.20% consistency in amino acid sequences compared in NCBI). The predicted models for both proteins had a Global Model Quality Estimate (GMQE) value of 0.93 and a Qualitative Model Energy Analysis (QMEAN) value of 0.89. The similarity of the tertiary structure between the CURS3 proteins of C. alismatifolia and C. longa was 99% (with 98.72% sequence consistency), with GMQE values of 0.94 (C. alismatifolia) and 0.95 (C. longa), and both having a QMEAN value of 0.90. Structural comparison between the CURS2 and CURS3 proteins of C. alismatifolia revealed 71.1% structural similarity (with 80.62% sequence similarity). The composition of protein structure is influenced by multiple factors. Based on sequence comparison and structural analysis, the high conservation of the CURS genes sequence may account for the absence of significant structural differences in the tertiary structure prediction of CURS proteins between the two species.

Protein 3D structure prediction and alignment.
Note: (A) CURS2 protein and (B) CURS3 protein. CURS2, curcumin synthase 2; CURS3, curcumin synthase 3.
This study analysed the evolutionary relationships of the CURS genes by retrieving CURS2 and CURS3 gene sequences from C. alismatifolia and related species from the NCBI database, followed by phylogenetic tree construction (Figure 7).

Phylogenetic trees of CURS2 and CURS3 genes.
Note: (A) Phylogenetic trees of CURS2 and (B) Phylogenetic trees of CURS3. BXGZ, Snow White; BYGZ, Silver Princess; CURS2, curcumin synthase 2; CURS3, curcumin synthase 3; DC, Solo; HD, Butterfly; LNX, Lanna Snow; LSQKL, Green Chocolate; XF, Twister; XJR, Giant; ZJL, X3; ZX, Siam TM Scarlet.
The results showed that the CURS genes of different genotypes of C. alismatifolia share a very close genetic relationship. The CURS2 gene showed the closest relationship with Curcuma xanthorrhiza. Meanwhile, the CURS3 gene exhibited higher similarity to orthologues in C. longa and Zingiber officinale. The CURS3 gene from Butterfly in the C. alismatifolia genotypes and the CURS3 gene from C. longa and Z. officinale were clustered within the same clade, indicating their closest genetic relationship among all analysed sequences.
Among non-Zingiberaceae plants, only Musa acuminata was found to possess homologous CURS genes sequences. This finding suggests that most plant lineages may have lost this gene during evolution. This observation further supports the high conservation of the biological molecular function of the CURS genes. At the same time, it also revealed the changes in the genetic transformation of the CURS gene during the course of biological evolution.
Curcumin exhibits diverse pharmacological activities, including anti-inflammatory, anti-tumour, antioxidant and liver protection, and serves as a natural food additive (Keihanian et al., 2018; Scazzocchio et al., 2020; Vallée and Lecarpentier, 2020). Therefore, the research on curcumin and its biosynthetic pathway has become a prominent focus in both domestic and international studies.
Curcumin is primarily extracted from plants closely related to C. alismatifolia (Sutarsi et al., 2024), such as C. longa and C. aromatica. C. alismatifolia has garnered significant attention due to its unique ornamental value. Currently, most research on C. alismatifolia focuses on its ornamental shape and breeding (Jiang et al., 2024). As an emerging flower with development potential, the planting area of C. alismatifolia is expanding with the prosperity of the market. Researchers have begun to deeply explore its potential application value. Studies have extracted essential oils from the rhizomes of C. alismatifolia and demonstrated strong antioxidant activity (Theanphong and Mingvanish, 2017). However, the identification of curcumin components in these oils still requires further exploration.
This study found that Twister (0.299 mg · g−1) and Doitung (0.296 mg · g−1) corms exhibited the highest curcumin content, while Lanna Snow inflorescences exhibited the highest content (0.375 mg · g−1). NewSolo leaves had the highest content (0.783 mg · g−1). Analysis of tissue-specific differences in curcumin content revealed that the highest curcumin content was found in the leaves, followed by the inflorescences and corms; however, for the varieties Doitung and Twister, the order of curcumin content was leaves > corms > inflorescences. Curcumin is mainly derived from C. longa. The curcumin content in C. longa is typically 20–50 mg · g−1. C. aromatica contains about 5–15 mg · g−1 of curcumin. Curcuma zedoaria has a lower content, ranging from 1 mg · g−1 to 5 mg · g−1 (Jayaprakasha et al., 2002; Wang et al., 2017). Although C. alismatifolia is mainly ornamental, its leaves and corms have curcumin potential. Molecular breeding could increase its content. This could make it a dual-purpose ornamental and functional plant.
The CURS genes family comprises three subtypes: CURS1, CURS2 and CURS3, which were first cloned and identified from C. longa (Ramirez-Ahumada Mdel et al., 2006; Katsuyama et al., 2009). Quantitative analysis revealed distinct expression patterns among the CURS subtypes. CURS1 expression was highest in corms > inflorescences > leaves, CURS2 in leaves > corms > inflorescences and CURS3 in inflorescences > corms > leaves. Gene expression and content correlation analysis revealed a non-linear relationship between curcumin content and CURS genes expression. Tissue-specific dominance was observed among CURS subtypes: CURS1 peaked in corms, CURS2 in leaves and CURS3 in inflorescences, which may indicate differential functional roles of these key enzyme genes in the curcumin biosynthesis network across tissues of C. alismatifolia. Based on previous studies, the 4CL (4-Coumarate: Coenzyme A Ligase) gene catalyses the formation of substrates for curcumin biosynthesis, while the CURS genes act at the terminal step of the pathway (Ahmed et al., 2025). We speculate that they may coordinately regulate curcumin synthesis efficiency, with different isoforms functioning divergently in the process. However, their precise regulatory mechanisms in C. longa and C. alismatifolia remain unclear (Ramirez-Ahumada et al., 2006; Katsuyama et al., 2009; Wang et al., 2016).
Homology searches on NCBI revealed that current cloning of CURS genes is primarily reported in medicinal plants such as C. longa and C. zedoaria. In this study, we successfully obtained the full-length sequences (1173 bp) of CURS2 and CURS3 from C. alismatifolia for the first time through homologous cloning. The results were rigorously verified by PCR amplification and sequencing, ensuring high accuracy. NCBI BLAST analysis confirmed that the sequences correspond to the CDS of CURS genes. Further analyses, including sequence alignment, physicochemical property assessment and protein structure prediction, demonstrated the high conservation of CURS genes. Phylogenetic analysis indicated a close evolutionary relationship between C. alismatifolia CURS genes and those from C. xanthorrhiza, C. longa and Z. officinale, suggesting their critical and stable functional role in Zingiberaceae. Outside this family, CURS genes were only retained in M. acuminata, implying its loss in most plant lineages during evolution. The functional conservation and genetic mechanisms of CURS genes appear to be uniquely maintained in Zingiberaceae. These findings provide a solid genetic foundation for further exploration of C. alismatifolia’s potential applications and optimal resource utilisation. We successfully cloned CURS2 and CURS3 from C. alismatifolia. The CURS1 gene failed to be successfully cloned, resulting in the inability to obtain high-purity and accurate DNA products. Future work will optimise the PCR protocol to obtain reliable amplification products.
In summary, these findings enhance our understanding of CURS genes in curcumin biosynthesis and provide a theoretical foundation for future applications, including genetic engineering to enhance curcumin production and develop C. alismatifolia genotypes with desirable traits.
This study found curcumin content and CURS genes expression variations across different C. alismatifolia genotypes and tissues. Leaves exhibited the highest content (NewSolo: 0.783 mg g−1). The total curcumin content of Twister, Doitung, Green Chocolate and Lanna Snow was relatively high. CURS genes expression and curcumin content were not linearly related. CURS1 was highest in corms, CURS2 in leaves and CURS3 in inflorescences. This study cloned CURS2 and CURS3 from C. alismatifolia. It confirmed their key role in curcumin synthesis and their high conservation. These findings enrich C. alismatifolia genetic resources. They provide a basis for studying CURS genes function and regulation. These findings demonstrate the complexity of curcumin biosynthesis in C. alismatifolia while providing valuable insights for developing high-curcumin varieties. This study establishes a scientific foundation for potential applications in functional foods, pharmaceutical development and innovative food processing methods utilising C. alismatifolia genotypes.