Date palm (Phoenix dactylifera L.) is a perennial, monocotyledonous and dioecious tree with separate male and female species, belonging to the Palmaceae family, and includes about 200 genera and 500 species. There exist almost 3,000 cultivars of date palms in the world with variations in their genetic make-up (Barrow, 1998; Jain et al., 2011; Amjad et al., 2022). They have contributed significantly to sustainable agriculture for >5,000 years, especially in the Middle East and North Africa (Al-Khayri et al., 2015). In hyper-arid environments, date palm trees are commonly grown as a source of staple food (Jintasuttisak et al., 2022), as well as to protect other underlying crops like olives, figs, vegetables and so forth (Tengberg, 2012; Karra et al., 2020; Kadri et al., 2022). In the Arabian Peninsula, in West Asia and in North Africa, date palm trees have spread widely (Chao and Krueger, 2007; Sujipuli et al., 2021). Date palm is a drought-tolerant crop, being an important subsistence crop for regions having water scarcity problems (Kahramanoglu and Usanmaz, 2019). The production of date palms spans >1 million hectares worldwide, with a total production of about 8.5 million metric tonnes, according to statistics from the Food and Agriculture Organization (FAO, 2021). The Kingdom of Saudi Arabia is one of the top producers of dates, holding 17% of the world’s date production. With a yearly production of >1.5 million tonnes, it has over 31 million palm trees.
Date palm trees require cross-pollination, which does not occur at the same time on different trees, and even in the same bunch (Kahramanoglu and Usanmaz, 2019). However, the choice of good pollen is vital for improvement of the yields and the production quality, as gaining significant yields is associated with the success of pollination and the clever selection of pollinators (Benamor et al., 2014). In most date-growing countries, the majority of available pollinating male date palms are primarily derived from seed propagation, resulting in a diverse range of males with varying viability (Soliman and Al-Obeed, 2013; Raza et al., 2020). Pollen grains from male trees of dissimilar genetic make-up influence fruit yield, seed shape and size, as well as the size, development, quality and ripening time of female date palm fruits (Maryam et al., 2015a; Salomón-Torres et al., 2022). Numerous studies have demonstrated that male palm trees differ in terms of growth, vigour, the morphological shape of leaves, spathe characteristics, flowering time, pollen quality and nutritional status, particularly in the leaves (Al-Ghandi et al., 2002; Shafique et al., 2011; Iqbal et al., 2012; Rezazadeh et al., 2013; Hafez et al., 2014; Abdel-Sattar and Mohamed, 2017). However, date palm growers rely on readily available pollen from unproven male genotypes without giving correct type selection any thought, which may result in low fruit set and/or poor fruit quality (Maryam et al., 2015b; Abdel-Sattar and Mohamed, 2017; Kadri et al., 2019).
It is crucial to choose and recognise superior male genotypes in terms of fertilisation performance to get the optimum set, yield and fruit quality (El-Hamady et al., 2010; Abdel-Sattar and Mohamed, 2017). Furthermore, male date palm trees are being depleted as a result of urbanisation, genetic degradation and the farming community’s lack of knowledge of their importance (Raza et al., 2020; Sadeghi et al., 2023). In this sense, a predetermined proportion of pollinators with superior genotypes ought to be picked and care taken for the males to produce date pollen grains having good viability. The selection of such high-quality pollenisers is mostly dependent on the morpho-physiological factors, including spathe size, pollen viability rate, pollination power demonstrated by strong germination and copious pollen output (Bchini, 2006; Mesnoua et al., 2018). Additionally, molecular factors like the degree of kinship and similarity between the various pollenisers are taken into account in the selection process (Karim et al., 2021). Therefore, it is essential to describe and assess the vegetative and blooming properties of the available exceptionally powerful male palms (Elshibli et al., 2007; Rizk et al., 2007; Aly, 2018).
There are several methods to assess diversity, but morphological attributes are a useful tool for finding noticeable variations during agronomic and taxonomic assessment (Jannatabadi et al., 2014). In addition, the assessment of morphological variants is uncomplicated and economical and produces large phenotypic data sets (Rao, 2004; Raza et al., 2020), which provide the basis for an assessment of the genetic diversity of date palm germplasm (Ahmed et al., 2011; Naqvi et al., 2015). However, these components are insufficient for functional identification models; additionally, the number of experts in morphological identification is steadily declining, which requires a framework for the incorporation of new data. We therefore urgently need accurate, on-hand and economical identification of highly potent indigenous male trees as pollinators to enhance the yield and quality of date palm fruit. This has raised the need for use of more advanced and efficient morphological characteristics tools. This technique is used to create new males from a group of males with significant differences, and the improvement is completed in a reasonably short amount of time at low cost, with the best males being chosen based on their criteria. Additionally, it is believed that the first stage in creating germplasm banks for the conservation of superior pollen compatible with ecotype genotypes is to identify national male date palms that exhibit superior quality, including pollen viability, fertility and compatibility to address the issue of rapid changing climate and germplasm erosion (El Kadri and Ben Mimoun, 2020; Raza et al., 2020).
In the pursuit of increasing the female date palm yield and production quality, based on the literature search, this is currently the first comprehensive study to create a new evaluation principle by calculating an evaluation index to manage the productivity characteristics of male date palms with respect to selection from the best male date palm. So, this study examined the comparison of nine male date palm traits based on leaf morphological characteristics, pinnae morphological traits, leaf nutritional status and pollen grains productivity using an evaluation index criterion. The suggested rule, however, clarifies the novelty and difference of this article among other research in the field.
At the Research and Agriculture Experimental Station at Dirab area, which belongs to the College of Food and Agriculture Sciences, King Saud University, Riyadh, Saudi Arabia (24°25′ N, 46°34′ E), during the 2021 growing season, the study was conducted on 15-year-old male date palms (P. dactylifera L.) grown in sandy soil. The palm trees are spaced 8 m apart, and a surface drip irrigation system is used to water them. The standard management techniques typically used in a palm orchard, such as fertiliser, irrigation, pruning and pest control, were applied to all male date palms according to the recommendations of the Ministry of Environmental Water & Agriculture, Saudi Arabia. For experimental palms, all cultural rituals were performed in accordance with the established schedule. Nine male date palms were used in the current investigation, and they were all uniform in height, health and vigour. The male date palms, named from M1 to M9, were predominantly produced by seed propagation.
In 2021, the study was based on collecting data on the productivity traits of nine males by determining three morphological traits: leaves, pinnae and spathes, nutritional status of leaf traits and pollen grain productivity. All these traits had 24 sub-features namely leaf length, width and area; pinnae length, width, pinnae length of pinnae part and number per leaf; spathe length, width, stand length and weight; nutritional status of leaves traits (Ca, Mg, N, P and K content); and pollen grain productivity characteristics, including the number of strands per spathe, strand length, number of flowers per strand, number of flowers per spathe, pollen grains wet weight, germination percentage of pollen grains, pollen grains length and pollen grains width.
The morphological characteristics were evaluated by the leaf morphological traits (leaf length, leaf width and leaf area), pinnae morphological traits (length of pinnae part, number of pinnae/leaf, pinnae length and pinnae width) and spathe morphological traits (spathe length, spathe width, spathe stand length and spathe weight). In order to assess the morphological features of the leaves and pinnae, four fully grown leaves at random from each side of the male were plucked in mid-October. Pinnae were measured for length, width and area, as well as for length and width. The number of pinnae per leaf was also recorded. From the base of the spine to the tip of the highest pinnae, the length of the leaf was measured (Figure 1). An average of six pinnae, three on each side, were removed from the middle of the rachis to estimate the length and width of the pinnae (Figure 1). According to Murry (1960), the leaf area was calculated by multiplying the leaf length by leaf breadth by 0.8. In addition, the morphological characteristics of four mature spathes (Figure 2) were randomly selected from each male tree. There were measurements taken for the spathe’s length, diameter, stand length and weight.

Date palm leaf and pinnae.

Spathe morphological traits.
The number of strands, length of strands, number of flowers per strand and the total number of flowers per spathe were all noted. Additionally, pollen was gathered from the blossoms of male spathe date palms. Before anthesis, three strands from various regions of each tree (three for each male) were segregated with paper bags to prevent contamination from other pollen sources. The strands of each spathe were trimmed and air dried. Pollen grains were then separated from the flowers using fine sieves (40 mesh) (Shaheen, 1983); then the pollen grains were separated from the strands using a sieve and weighted. The pollen grain length and width were prepared and determined according to Taia et al. (2020).
For the germination test, a mixture of pollen grains from each pollen source was collected in clean Petri dishes to minimise variations that might exist between pollen grains of the same spathe of a given source. The basic medium in Petri dishes was prepared by adding 2 g sucrose, 1 g agar and 15 ppm boric acid per 100 mL water, and then boiled. Ten milliliters of the mixture was poured into every sterile Petri dish. Five dishes from each pollen source were used as replications. Pollens were carefully sown on the medium of each dish, and then all dishes were incubated at 25°C for 10 hr. A random count of 100 pollen grains was made in each replication <600× magnifications. This technique has been previously reported by Hamdy (1982) and Abdel-Sattar and Mohamed (2017). Calculating the germination percentage was according to the following formula (Aly, 2018):
Twenty pinnae (as a sample) from each side (four sides) of the male were collected in mid-October from the medium part of the five consecutive leaves which were <1 year old, and located just over the fruiting zone, as described by Rizk (1987). According to the procedure outlined by Evenhuis and De Waard (1980), the leaf samples were first washed with tap water, and then by distilled water, before being dried at 70°C in an airdrying oven until a consistent weight and then ground 0.3 g of the ground dried material of each sample was digested in a mixture of H2SO4 and H2O2. The mineral content was evaluated using appropriate aliquots and nitrogen (N) was determined using the Kjeldahl method (Chapman and Pratt, 1962). Phosphorus (P) was determined according to Murphy and Riley (1962) using the ascorbic acid method. Flame photometers were used to measure potassium (K) as described by Jackson (1967). Model 305 atomic absorption spectrophotometer was used to detect the amounts of calcium (Ca) and magnesium (Mg) (Perkin-Elmer Corp., Norwalk, CT 06586, USA) according to Jones (1977). On a dry weight basis, the concentrations of N, P, K, Ca and Mg were represented as percentages.
This study describes a new method to create an evaluation rule to manage the productivity properties performance of male date palms. This rule was based on the calculation of an evaluation index. The authors claim that the best performance of male dates should rely on the main attributes of leaf morphological traits with a weight of 2, pinnae morphological traits with a weight of 3, spathe morphological traits with a weight of 4, nutritional status of leaves with a weight of 1 and pollen grains productivity and germination percentage traits with a weight of 5. Table 1 shows the main and sub-attribute symbols and weights used for calculation of the evaluation index of nine male date palms (P. dactylifera L.).
Main and sub-attributes and weights were used for determination of the evaluation index of nine male date palms.
| Main attributes | Weight | Sub-attributes | Symbol | Weight | Minimum | Maximum |
|---|---|---|---|---|---|---|
| Leaf morphological traits | 2 | Leaf length (m) | A1 | 2 | 3.55 | 4.48 |
| Leaf width (m) | A2 | 1 | 0.34 | 0.89 | ||
| Leaf area (m2) | A3 | 3 | 1.87 | 4.26 | ||
| Pinnae morphological traits | 3 | Pinnae length of pinnae part (cm) | A4 | 3 | 2.54 | 3.15 |
| Number of pinnae/leaf | A5 | 4 | 174 | 213 | ||
| Pinnae length (cm) | A6 | 1 | 42.00 | 59.50 | ||
| Pinnae width (cm) | A7 | 2 | 3.36 | 4.19 | ||
| Spathe morphological traits | 4 | Spathe length (cm) | A8 | 2 | 59.00 | 155.00 |
| Spathe width (cm) | A9 | 3 | 12.95 | 20.60 | ||
| Spathe stand length (cm) | A10 | 1 | 16.55 | 78.00 | ||
| Spathe weight (kg) | A11 | 4 | 0.75 | 4.20 | ||
| Nutritional status of leaves | 1 | N (%) | A12 | 5 | 0.84 | 1.16 |
| P (%) | A13 | 2 | 0.038 | 0.062 | ||
| K (%) | A14 | 3 | 0.78 | 1.35 | ||
| Ca (%) | A15 | 4 | 0.33 | 0.56 | ||
| Mg (%) | A16 | 1 | 0.10 | 0.19 | ||
| Pollen grains productivity | 5 | Number strand/spathe | A17 | 4 | 147 | 295 |
| Strand length (cm) | A18 | 5 | 15.90 | 36.50 | ||
| Number flower/strand | A19 | 3 | 48 | 93 | ||
| Number flower/spathe | A20 | 6 | 8,526 | 22,320 | ||
| Pollen grains weight/spathe (g) | A21 | 8 | 14.70 | 29.20 | ||
| Germination percentage (%) | A22 | 7 | 78.00 | 96.00 | ||
| Pollen grains length (μm) | A23 | 2 | 17.12 | 22.00 | ||
| Pollen grains width (μm) | A24 | 1 | 6.85 | 10.30 |
A general appraisal of the potential of various males in the area is done by determination of the proposed evaluation index. It can show the most promising avenues for their finest management. Different areas from other countries can use this technique. The assessment index will help with both the procedural and methodological components of the analysis as well as better information and analytical support for management of the date palm sector. Science has created techniques for calculating the combined integration index of a phenomenon, process or item. Index analysis and item rating based on the derived indicator is one of them (Salimova et al., 2020). Normalisation is necessary due to the various measurement scales used for the sub-attributes in the calculation. The minimum and maximum values of each sub-attribute have been established (Table 1). The following formula is used to normalise the data:
where EI1 is part of the evaluation index for leaf morphological traits, and so on for the rest attributes until EI5, which is part of the evaluation index for pollen grains productivity and germination percentage traits. The final evaluation index (E-index) is calculated as follows:
The principle of constructing the evaluation index takes into account the range of variation and the normalised level of each attribute. The evaluation index (E-index) value varies depending on the values of attributes and weights. The higher E-index is the best performance of male date and the lower is the worst male date, as the highest E-index was acquired from the higher values of each attribute. The sources of information used to build the evaluation index of nine male date palms (P. dactylifera L.) were the data collected from field experiments, in particular from the Dirab area of the Riyadh region, Saudi Arabia during season 2021.
According to Snedecor and Cochran (1990), all data were collated and statistically evaluated using one way Analysis of Variance (ANOVA). Moreover, the least significant difference (LSD) test for distinguishing the significant differences between means was established using SAS version 9.13 (2008). Correlation analysis was performed by Excel spreadsheet and Pearson correlation coefficients were stated to show the relationship among attributes.
Low, moderate and high variability were recorded for the leaf, pinnae and spathe characteristics of nine different male date palms (Table 2). The coefficients of variation were in the range of 6.61%–47.35% (Table 2) among the attributes of the morphological and nutritional status of leaves. The data presented in Table 2 show that all investigated attributes varied from one male to another. However, analysis of variance as depicted in Tables 3 and 4 displayed that all investigated attributes (leaf length, leaf width and leaf area, length of pinnae part, number of pinnae/leaf, pinnae length and pinnae width, spathe length, spathe width, spathe stand length and spathe weight, as well as N, P, K, Ca and Mg) are significantly different among the nine male date palms.
Statistical criteria of experimental results of morphological characteristics and nutritional status of leaves of nine male date palms.
| Attributes | Statistical criteria | |||||
|---|---|---|---|---|---|---|
| Minimum | Maximum | Mean ± standard deviation | CV (%) | Skewness | Kurtosis | |
| Leaf length (m) | 3.55 | 4.48 | 3.95 ± 0.30 | 7.64 | 0.48 | –1.10 |
| Leaf width (m) | 0.34 | 0.89 | 0.58 ± 0.14 | 25.17 | 0.58 | 0.01 |
| Leaf area (m2) | 1.87 | 4.26 | 2.81 ± 0.64 | 22.69 | 0.72 | 0.21 |
| Pinnae length of pinnae part (m) | 2.54 | 3.15 | 2.88 ± 0.20 | 6.86 | –0.19 | –1.48 |
| Number of pinnae/leaf | 174 | 213 | 196 ± 12.00 | 6.12 | –0.61 | –1.01 |
| Pinnae length (cm) | 42.00 | 59.50 | 49.20 ± 4.40 | 8.94 | 0.72 | 0.26 |
| Pinnae width (cm) | 3.36 | 4.19 | 3.71 ± 0.25 | 6.61 | 0.45 | –0.81 |
| Spathe length (cm) | 59.00 | 155.00 | 95.83 ± 29.48 | 30.77 | 0.66 | –0.64 |
| Spathe width (cm) | 12.95 | 20.60 | 17.10 ± 2.16 | 12.61 | –0.52 | –0.45 |
| Spathe stand length (cm) | 16.55 | 78.00 | 39.29 ± 18.60 | 47.35 | 0.61 | –0.51 |
| Spathe weight (kg) | 0.75 | 4.20 | 2.46 ± 1.04 | 42.20 | 0.09 | –1.02 |
| N (%) | 0.84 | 1.16 | 0.95 ± 0.08 | 8.65 | 0.84 | 0.44 |
| P (%) | 0.038 | 0.062 | 0.0459 ± 0.006 | 16.52 | 0.77 | –0.56 |
| K (%) | 0.78 | 1.35 | 1.13 ± 0.16 | 14.43 | –0.67 | –0.46 |
| Ca (%) | 0.33 | 0.56 | 0.48 ± 0.06 | 13.19 | –0.98 | 0.26 |
| Mg (%) | 0.10 | 0.19 | 0.15 ± 0.02 | 16.04 | –0.16 | –0.56 |
CV, coefficient of variation.
Mean values for morphological leaf and pinnae from nine male date palms during the 2021 season.
| Males | Leaf length | Leaf width | Leaf area | Length of pinnae part | Number of pinnae/leaf | Pinnae length | Pinnae width |
| (m) | (m) | (m2) | (m) | (-) | (cm) | (cm) | |
| M1 | 4.37 b | 0.351 e | 1.92 i | 3.08 ba | 204 cb | 48.00 ed | 3.43 f |
| M2 | 3.68 f | 0.719 b | 3.31 b | 2.78 d | 176 f | 43.98 f | 3.45 fe |
| M3 | 3.97 d | 0.490 d | 2.43 g | 3.07 b | 178 f | 58.50 a | 4.17 a |
| M4 | 4.14 c | 0.601 c | 3.11 c | 3.04 b | 206 b | 44.25 f | 3.51 e |
| M5 | 3.86 e | 0.592 c | 2.85 d | 3.13 a | 188 e | 52.33 b | 3.52 e |
| M6 | 3.57 g | 0.593 c | 2.65 f | 2.62 e | 196 d | 47.44 e | 3.74 d |
| M7 | 3.67 f | 0.473 d | 2.17 h | 2.87 c | 210 a | 50.60 cb | 3.86 c |
| M8 | 3.84 e | 0.867 a | 4.16 a | 2.75 d | 204 cb | 47.95 ed | 3.93 b |
| M9 | 4.45 a | 0.493 d | 2.74 e | 2.61 e | 202 c | 49.72 cd | 3.77 d |
| LSD (5%) | 4.45 | 0.0222 | 0.0922 | 0.048 | 3.0 | 1.989 | 0.066 |
Mean values with different letters in the same column are significantly different at p ≤ 0.05.
LSD, least significant difference.
Mean values for spathe morphological traits and nutritional status of leaves from nine male date palms during the 2021 season.
| Males | Spathe length | Spathe width | Spathe stand length | Spathe weight | N | P | K | Ca | Mg |
|---|---|---|---|---|---|---|---|---|---|
| (cm) | (cm) | (cm) | (kg) | (%) | (%) | (%) | (%) | (%) | |
| M1 | 153.75 a | 18.13 c | 76.50 a | 4.10 a | 0.98 c | 0.0403 c | 1.01 e | 0.54 a | 0.15 cb |
| M2 | 123.56 b | 15.63 e | 51.25 c | 2.95 d | 0.94 de | 0.0400 c | 0.81 f | 0.55 a | 0.14 d |
| M3 | 73.00 f | 14.75 f | 26.00 f | 2.04 f | 0.86 f | 0.0403 c | 1.25 b | 0.54 ab | 0.15 cd |
| M4 | 94.00 e | 20.41 a | 52.50 b | 3.09 c | 0.96 dc | 0.0390 c | 1.27 b | 0.46 d | 0.16 cb |
| M5 | 70.50 g | 17.64 d | 21.50 h | 2.23 e | 1.03 b | 0.0400 c | 1.21 c | 0.47 cd | 0.12 e |
| M6 | 117.89 c | 18.69 b | 47.45 d | 3.70 b | 1.12 a | 0.0610 a | 1.09 d | 0.43 e | 0.16 cb |
| M7 | 60.50 h | 17.68 d | 23.50 g | 1.65 g | 0.91 e | 0.0515 b | 1.20 c | 0.49 c | 0.18 a |
| M8 | 72.00 gf | 18.00 c | 16.66 i | 0.78 h | 0.94 de | 0.0500 b | 1.34 a | 0.35 f | 0.11 e |
| M9 | 97.28 d | 13.02 g | 38.28 e | 1.58 g | 0.85 f | 0.0510 b | 1.00 e | 0.52 b | 0.16 b |
| LSD (5%) | 1.97 | 0.33 | 1.21 | 0.12 | 0.04 | 0.0022 | 0.03 | 0.0187 | 0.01 |
Values within a column with the same letter(s) are not significantly different by LSD (p < 0.05).
LSD, least significant difference.
The leaf length values varied from 3.55 m to 4.48 m, with a mean value of 3.95 ± 0.30 m. This suggested that no large disparity was seen in leaf length as the CV value was 7.64%, as shown in Table 2. Also, the greatest leaf length was in M9, with an average of 4.45 m, followed by M1 (4.37 m), and each of them was significantly higher than the others; however, the lowest leaf length was in M6 (3.57 m), as depicted in Table 3. The leaf width values varied from 0.34 m to 0.89 m, with a mean value of 0.58 ± 0.14 m. This suggested that a large disparity was seen in leaf width as the CV value was 25.17%, as shown in Table 2. The highest leaf width was in M8, with an average of 0.87 m, followed by M2 (0.72 m), and each of them was significantly higher than the others; however, the lowest leaf width was in M1 (0.35 m), as depicted in Table 3. The leaf area values varied from 1.87 m2 to 4.26 m2, with a mean value of 2.81 ± 0.64 m2. This suggested that a large disparity was seen in the leaf area as the CV value was 22.69%, as shown in Table 2. The highest leaf area was in M8 with an average of 4.16 m2, followed by M2 (3.13 m2), and each of them was significantly higher than the others; however, the lowest leaf area was in M1 (1.92 m2), as depicted in Table (3).
The maximum male pinnae length measured was 3.13 m, whereas the lowest male pinnae length measured was 2.61 m. These differences were statistically significant for all tested males, as shown in Table 3. The mean value was 2.88 ± 0.2 m and a low disparity was seen in the pinnae length of the pinnae part, as the CV value was 6.86%, as shown in Table 2. The total number of pinnae per leaf ranged from 174 to 213 (Table 2), with a mean value of 196 ± 12 pinnae/leaf. This suggested that a low disparity was seen in the total number of pinnae per leaf as the CV value was 6.12%, as shown in Table 2. As can be seen in Table 3, all of the examined males had statistically significant variations between the maximum number of males (M8) and the lowest number of males (M2). The differences were statistically significant among all examined males, as shown in Table 3, with the largest male pinnae length for M3 being 58.5 cm and the lowest male pinnae length for M2 being 43.98 cm. The mean value was 49.2 ± 4.40 cm and low disparity was seen in pinnae length as the CV value was 8.94%, as shown in Table 2. The pinnae width values varied from 3.36 cm to 4.19 cm, with a mean value of 3.71 ± 0.25 cm. This suggested that no large disparity was seen in pinnae width as the CV value was 6.61%, as shown in Table 2.
The spathe length ranged from 59 cm to 155 cm in the different males. The mean value was 95.83 ± 29.48 cm and high disparity was seen in spathe length as the CV value was 30.77%, as shown in Table 2. The highest spathe length was in M1, with an average of 153.75 cm, followed by M2 at 123.56 cm, and each of them was significantly higher than the others; however, the lowest spathe length in M7 was 60.5 cm, as depicted in Table 4. The spathe length ranged from 12.95 cm to 20.60 cm in the different males. The mean value was 17.10 ± 2.16 cm and moderate disparity was seen in spathe width as the CV value was 12.61%, as shown in Table 2.
The highest spathe width was in M4, with an average of 20.41 cm, followed by M1 (18.13 cm), and each of them was significantly higher than the others; however, the lowest spathe width was in M9 at 13.02 cm, as depicted in Table 4. The spathe stand length ranged from 16.55 cm to 78.00 cm in the different males. The mean value was 39.29 ± 18.60 cm and a high disparity was seen in spathe stand length as the CV value was 47.35%, as shown in Table 2. The highest spathe stand length was in M1 with an average of 76.50 cm, followed by M4 (52.50 cm), and each of them was significantly higher than the others; however, the lowest spathe stand length in M8 was at 16.66 cm, as depicted in Table 4. The spathe weight ranged from 0.75 kg to 4.20 kg in the different males. The mean value was 2.46 ± 1.04 kg and high disparity was seen in spathe stand length as the CV value was 42.20%, as shown in Table 2. The highest spathe weight was in M1 with an average of 4.10 kg, followed by M6 (3.70 kg), and each of them was significantly higher than the others; however, the lowest spathe weight in M8 was at 0.78 kg, as depicted in Table 4.
All nutritional parameters of N, P, K, Ca and Mg were significantly affected by the male type (p < 0.05). The N concentration was in the range of 0.84%−1.16% with a mean value of 0.95 ± 0.08%. This suggested that low variation was seen in N concentration as the CV value was 8.65%, as shown in Table 2. The highest N concentration was in M6, with an average of 1.12%, followed by M5 (1.03%), and each of them was significantly higher than the others; however, the lowest N concentration in M9 was at 0.85%, as depicted in Table 4. The P concentration was in the range of 0.038%–0.062%, with a mean value of 0.0459 ± 0.0076%. This suggested that moderate variation was seen in P concentration as the CV value was 16.52%, as shown in Table 2. The highest P concentration was in M6, with an average of 0.061%, followed by M7 (0.0515%), and each of them was significantly higher than the others; however, the lowest P concentration was in M4 (0.039%), as depicted in Table 4. The K concentration was in the range of 0.78%–1.35% with a mean value of 1.13 ± 0.16%. This suggested that moderate variation was seen in K concentration as the CV value was 14.43%, as presented in Table 2. The highest K concentration was in M8 with an average of 1.34%, followed by M4 (1.27%), and each of them was significantly higher than the others; however, the lowest K concentration in M2 was 0.81%, as depicted in Table 4. The Ca concentration was in the range of 0.33%–0.56% with a mean value of 0.48 ± 0.06%. This suggested that moderate variation was seen in Ca concentration as the CV value was 13.19%, as shown in Table 2. The highest Ca concentration was in M2 with an average of 0.55%, followed by M1 (0.54%) and M3 (0.54%), and each of them was significantly higher than the others; however, the lowest Ca concentration in M8 was at 0.35%, as depicted in Table 4. The Mg concentration was in the range of 0.10%–0.19% with a mean value of 0.15 ± 0.02%. This suggested that a moderate variation was seen in magnesium concentration as the CV value was 16.04%, as presented in Table 2. The highest Mg concentration was in M7 with an average of 0.18%; however, the lowest Mg concentration in M8 (0.11%) is as depicted in Table 4.
Low, moderate and high variability as denoted by coefficients of variation (6.08%–26.82%) (Table 5) among the attributes of productivity and viability of nine male date palm attributes (number strand/spathe, strand length, number flower/strand, number flower/spathe, pollen grains weight/spathe, viability of pollen grains, pollen grains length and pollen grains width) were recorded. The minimum, maximum and mean values were also stated (Table 5) as well as the skewness and Kurtosis values. The data presented in Table 5 show that all investigated attributes varied from one male to another.
Statistical criteria of experimental results of pollen grain productivity characteristics of nine different male date palms.
| Attributes | Statistical criteria | |||||
|---|---|---|---|---|---|---|
| Minimum | Maximum | Mean ± standard deviation | CV (%) | Skewness | Kurtosis | |
| Number strand/spathe (-) | 147 | 295 | 240 ± 44 | 18.29 | –0.62 | –0.28 |
| Strand length (cm) | 15.90 | 36.50 | 27.78 ± 5.68 | 20.46 | –0.85 | 0.05 |
| Number flower/strand (-) | 48 | 93 | 61 ± 11 | 18.83 | 1.74 | 2.64 |
| Number flower/spathe (-) | 8,526 | 22,320 | 14,659 ± 3,931 | 26.82 | 0.45 | –0.66 |
| Pollen grains weight/spathe (g) | 14.70 | 29.20 | 19.42 ± 4.97 | 25.56 | 1.09 | –0.31 |
| Germination percentage (%) | 78 | 96 | 87 ± 5.0 | 6.16 | 0.08 | –1.27 |
| Pollen grains length (μm) | 17.12 | 22.00 | 19.30 ± 1.17 | 6.08 | 0.17 | 0.36 |
| Pollen grains width (μm) | 6.85 | 10.30 | 8.34 ± 1.08 | 12.93 | 0.44 | –1.08 |
CV, coefficient of variation.
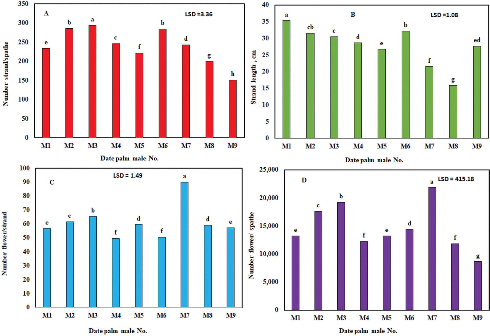
The number of strands per spathe ranged from 147 to 295 in the different males. The mean value was 240 ± 44 and a high disparity was seen in the number of strand/spathe as the coefficient of variation (CV) value was 18.29%, as presented in Table 5. The highest number of strand/spathe was in M3, with an average of 294, followed by M2 (286), and each of them was significantly higher than the others; however, the lowest number of strand/spathe was in M9 (151), as depicted in Figure 3A.

Distribution of number strand/spathe (curve A), strand length (curve B), number flower/strand (curve C) and number flower/spathe (curve D) of nine male date palms.
The strand length ranged from 15.90 cm to 36.50 cm in the different males. The mean value was 27.78 ± 5.68 cm and high disparity was seen in strand length as the CV value was 20.46%, as shown in Table 5. The highest strand length was in M1, with an average of 35.3 cm, followed by M6 (32.2 cm), and each of them was significantly higher than the others; however, the lowest number of strand/spathe in M8 was at 15.9 cm, as depicted in Figure 3B.
The number of flowers per strand ranged from 48 to 93 in the different males. The mean value was 61 ± 11 and a high disparity was seen in the number of flowers/strand as the CV value was 18.83%, as shown in Table 5. The highest number of flowers/strand was in M7 with an average of 90 followed by M3 at 65, and each of them was significantly higher than the others; however, the lowest number of flower/strand in M4 (50) was as depicted in Figure 3C.
The number of flowers per spathe ranged from 8,526 to 22,320 in the different males. The mean value was 14,659 ± 3,931 and a high disparity was seen in the number of flower/spathe as the CV value was 26.82%, as presented in Table 5. The highest number of flowers/spathe was in M7 with an average of 21,823, followed by M3 (19,152), and each of them was significantly higher than the others; however, the lowest number of flowers/spathe in M9 (8,643) was as depicted in Figure 3D.
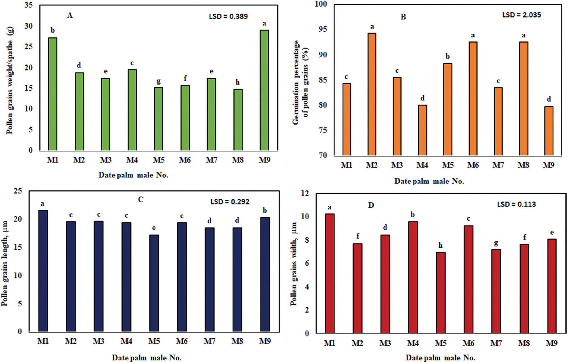
The pollen grain weight/spathe varied amongst the different male date palms, from 14.70 g to 29.20 g. As indicated in Table 5, the mean value was 19.42 ± 4.97 g, and there was a significant difference in pollen grain weight/spathe, with a CV value of 25.56%. The longest pollen grain weight/spathe was in M8 (14.75 g), as shown in Figure 4A. The highest pollen grain weight/spathe was in M9 with an average of 29.01 g, followed by M1 (27.19 g), and each of them was significantly greater than the others.

Distribution of weight/spathe (curve A), germination (curve B), length (curve C) and width (curve D) of pollen grains of nine male date palms.
Table 5 presents the range of germination percentages of pollen grains from nine date pollinators. It was determined that the range of the germination percentage was from 78% to 96%, with an average value of 87 ± 5.0%. Given that the CV value was 6.16%, as reported in Table 5, this indicated that little variation in the pollen grains germination percentage had been observed. The pollen grains in M2 had the highest average germination percentage (94.25%), followed by those in M6 and M8, each of which was significantly greater than the others; however, M9 had the lowest average germination percentage (79.75%), as shown in Figure 4B.
The length of the pollen grains in the various male date palms ranged from 17.12 cm to 22.00 cm for all data, as shown in Table 5. The median value was 19.30 ± 1.17 μm, and Table 5 CV value of 6.08% indicates that there was little variation in the pollen grain length. M1 had the longest pollen grains on average (21.50 μm), followed by M9 (20.27 μm), both of which were significantly longer than the others. M5 had the lowest pollen grains on average (17.20 μm), as seen in Figure 4C. According to Table 5, the pollen grains’ width in the various males for all data ranged from 6.85 μm to 10.30 μm. Pollen grain width showed a modest disparity, with a mean value of 8.34 ± 1.08 μm and a CV value of 12.93%, as shown in Table 5. M1 had the widest pollen grains on average (10.23 μm), followed by M4 (9.58 cm), both of which were noticeably higher than the others. M5 had the narrowest pollen grains on average (6.94 μm), as seen in Figure 4D.
A new tool called an evaluation rule was proposed by calculating an evaluation index for managing the productivity characteristics performance of male date palms. However, Tables 6 and 7 reveal the determined values of the primary attributes and Figure 5 illustrates the derived evaluation index by multiplying the data of the primary attributes by their weights. Based on the values obtained for the evaluation index, M8 had a high value for the calculated values of multiplying data of the primary attributes of productivity (number of strands/spathe, length of strands, number of flowers/strand, number of flowers/spathe, pollen grains weight/spathe, germination percentage of pollen grains, length and width of pollen grains and the weight sum of such traits (31.51) as shown in Table 7. So M8 had the high value of evaluation index and thus it was the best productivity characteristics performance compared with others. However, the values of the evaluation index were 2.10, 2.07, 2.05, 2.03, 2.0, 1.99, 1.98, 1.98, 1.95 and 1.94 from higher to lower for M8, M3, M1, M5, M7, M6, M9, M4 and M2, respectively as shown in Figure 5.

The calculated evaluation index to make an evaluation rule to manage productivity properties performance of male date palms.
The calculated values of the main attributes for evaluation index calculation to select the best male date palms.
| Males | Leaf morphological traits | Pinnae morphological traits | Spathe morphological traits | Nutritional status of leaves | Pollen grains productivity and germination percentage traits |
|---|---|---|---|---|---|
| M1 | 2.05 | 1.63 | 2.17 | 2.21 | 2.17 |
| M2 | 2.00 | 2.08 | 1.95 | 1.93 | 1.84 |
| M3 | 2.05 | 1.88 | 2.21 | 2.12 | 2.05 |
| M4 | 1.87 | 1.97 | 2.04 | 1.80 | 1.91 |
| M5 | 1.93 | 2.17 | 2.10 | 1.81 | 1.98 |
| M6 | 1.70 | 2.07 | 2.03 | 1.94 | 2.04 |
| M7 | 2.08 | 2.11 | 2.00 | 2.02 | 1.90 |
| M8 | 1.87 | 1.91 | 2.29 | 1.92 | 2.19 |
| M9 | 2.12 | 2.00 | 1.77 | 2.14 | 2.05 |
The calculated values of multiplying data of main attributes by their weights for calculating evaluation index to select the best male date palms.
| Males | Leaf morphological traits | Pinnae morphological traits | Spathe morphological traits | Nutritional status of leaves traits | Pollen grains productivity traits | Sum |
|---|---|---|---|---|---|---|
| Weights | ||||||
| 2 | 3 | 4 | 1 | 5 | 15 | |
| M1 | 4.10 | 4.88 | 8.67 | 2.21 | 10.84 | 30.69 |
| M2 | 4.01 | 6.24 | 7.80 | 1.93 | 9.19 | 29.17 |
| M3 | 4.10 | 5.65 | 8.85 | 2.12 | 10.26 | 30.98 |
| M4 | 3.75 | 5.92 | 8.15 | 1.80 | 9.57 | 29.20 |
| M5 | 3.86 | 6.52 | 8.40 | 1.81 | 9.90 | 30.49 |
| M6 | 3.40 | 6.22 | 8.11 | 1.94 | 10.19 | 29.87 |
| M7 | 4.16 | 6.34 | 8.00 | 2.02 | 9.48 | 29.99 |
| M8 | 3.74 | 5.73 | 9.18 | 1.92 | 10.94 | 31.51 |
| M9 | 4.24 | 6.00 | 7.09 | 2.14 | 10.23 | 29.71 |
Using the Pearson’s correlation coefficient (r-values) test, the relationship or association between the qualities was examined (Tables 8–10). All qualities were correlated with one another, either positively or negatively, with varied r-values. For instance, an r-value of 0.964 indicated a strong positive correlation between the attributes A3 (leaf area) and A2 (leaf width). This implies that the leaf width grows as the leaf area increases. A8 (spathe length) and A10 (spathe stand length) showed strong positive relationships, as indicated by an r-value of 0.936. A7 (pinnae width) and A6 (pinnae length) showed moderate positive relationships, as indicated by an r-value of 0.665 (Table 8). A8 (spathe length) and A11 (spathe weight) showed strong positive relationships, as indicated by an r-value of 0.815 (Table 9). A10 (spathe stand length) and A11 (spathe weight) showed strong positive relationships, as indicated by an r-value of 0.869 (Table 9). A23 (pollen grains length) and A21 (pollen grains weight/spathe) showed strong positive relationships, as indicated by an r-value of 0.787 (Table 10). A23 (pollen grains length) and A24 (pollen grains width) showed strong positive relationships, as indicated by an r-value of 0.763 (Table 10).
Pearson’s correlation coefficients (r) describe the correlations among attributes of leaf morphological traits that describe nine date palms (P. dactylifera L.).
| A1 | A2 | A3 | A4 | A5 | A6 | |
|---|---|---|---|---|---|---|
| A1 | 1 | |||||
| A2 | –0.487 | 1 | ||||
| A3 | –0.244 | 0.964 | 1 | |||
| A4 | 0.208 | –0.352 | –0.321 | 1 | ||
| A5 | 0.286 | –0.173 | –0.096 | –0.142 | 1 | |
| A6 | 0.045 | –0.35 | –0.359 | 0.33 | –0.273 | 1 |
| A7 | –0.172 | 0.08 | 0.058 | –0.183 | –0.055 | 0.665 |
Pearson’s correlation coefficients (r) describe the correlations among attributes of leaf, pinnae and spathe morphological traits that describe nine date palms (P. dactylifera L.).
| A1 | A2 | A3 | A4 | A5 | A6 | A7 | A8 | A9 | A10 | |
|---|---|---|---|---|---|---|---|---|---|---|
| A8 | 0.303 | –0.284 | –0.268 | –0.095 | –0.062 | –0.491 | –0.61 | 1 | ||
| A9 | –0.263 | 0.153 | 0.095 | 0.303 | 0.435 | –0.432 | –0.355 | 0.072 | 1 | |
| A10 | 0.403 | –0.433 | –0.391 | 0.085 | 0.08 | –0.498 | –0.655 | 0.936 | 0.21 | 1 |
| A11 | 0.076 | –0.43 | –0.479 | 0.214 | –0.104 | –0.362 | –0.619 | 0.815 | 0.384 | 0.869 |
Pearson’s correlation coefficients (r) describe the correlations among attributes of nutritional status of leaves and pollen grains productivity that describe nine date palms (P. dactylifera L.).
| A11 | A12 | A13 | A14 | A15 | A16 | A17 | A18 | A19 | A20 | A21 | A22 | A23 | |
|---|---|---|---|---|---|---|---|---|---|---|---|---|---|
| A11 | 1 | ||||||||||||
| A12 | 0.553 | 1 | |||||||||||
| A13 | –0.148 | 0.308 | 1 | ||||||||||
| A14 | –0.467 | –0.017 | 0.033 | 1 | |||||||||
| A15 | 0.375 | –0.350 | –0.468 | –0.629 | 1 | ||||||||
| A16 | 0.249 | –0.129 | 0.293 | –0.178 | 0.362 | 1 | |||||||
| A17 | 0.489 | 0.306 | –0.139 | –0.106 | 0.215 | 0.091 | 1 | ||||||
| A18 | 0.865 | 0.251 | –0.254 | –0.597 | 0.675 | 0.271 | 0.437 | 1 | |||||
| A19 | –0.435 | –0.414 | 0.078 | 0.091 | 0.178 | 0.329 | 0.055 | –0.408 | 1 | ||||
| A20 | –0.004 | –0.128 | –0.062 | –0.007 | 0.291 | 0.290 | 0.693 | –0.002 | 0.757 | 1 | |||
| A21 | 0.236 | –0.380 | –0.129 | –0.501 | 0.551 | 0.369 | –0.496 | 0.424 | –0.167 | –0.431 | 1 | ||
| A22 | 0.040 | 0.454 | 0.207 | –0.193 | –0.326 | –0.532 | 0.417 | –0.078 | –0.094 | 0.194 | –0.593 | 1 | |
| A23 | 0.504 | –0.203 | –0.077 | –0.488 | 0.485 | 0.378 | –0.003 | 0.614 | –0.290 | –0.199 | 0.787 | –0.302 | 1 |
| A24 | 0.746 | 0.246 | –0.064 | –0.115 | 0.143 | 0.296 | 0.210 | 0.637 | –0.558 | –0.267 | 0.436 | –0.261 | 0.763 |
The date palm is one of the most significant horticultural fruits in Saudi Arabia and is essential to the ecological balance of the desert (Soliman et al., 2013), a dominant activity, and adds value to the local social and economic environment. As a result, it is crucial to increase the number or quality of female date palm fruits because of their widespread appeal and high nutritional content by choosing new male palm genotypes with high viability and compatibility with female genotypes. The findings of this study suggest how to create an evaluation rule by calculating an evaluation index for managing the productivity characteristics performance of male date palms. It was discovered that the studied males varied in their characteristics. This is a good estimate because earlier research showed that various male date palms vary for a variety of reasons. There were no two male date palms that were alike due to the fact that the males’ morphological traits varied (El-Alwani and El-Ammari, 2001; Al-Hamoudi et al., 2006; Abo-Rekab et al., 2014); additionally, matured leaves of date palms varied according to genotypes (Elhoumaizi et al., 2002; Soliman et al., 2013). Furthermore, the characterisation of male date palm trees, such as genetic, morphological and biochemical, is respected for differentiation, conservation and breeding programmes (Elmeer et al., 2016) and is very significant in expressions of useful information on its definite/efficient usage (Ahmed et al., 2011; Akhtar et al., 2014; Mehmood et al., 2014). However, these variations in male date trees make accurate characterisation strategies for the creation of commercial orchards (Naqvi et al., 2015). Previous results presented that the length of the date palm leaf was different (El-Alwani and El-Ammari, 2001; Rizk et al., 2006; Soliman et al., 2013; Abo-Rekab et al., 2014; Aly, 2018; Abd et al., 2019; Raza et al., 2020). All the studies reported that the leaf length varied according to the growing season and genotypes, and the range was from 3.23 cm to 5.15 m. The leaves could be divided into three groups according to Soliman et al., 2013 as follows: short leaf length <3.25 m; medium leaf length—from 3.25 m to 4.25 m and longleaf length >4.25 m. The pinnae number per leaf in previous studies was in the range of 168–224 depending on the date palm age, cultivar and growing season (Soliman et al., 2013; Abo-Rekab et al., 2014). The pinnae length for male date palms in previous studies was in the range of 42.1–60.67 cm depending on the date palm age, cultivar, country and growing season (Soliman et al., 2013; Abo-Rekab et al., 2014; Aly, 2018). According to Elhoumaizi et al. (2002), the pinnae width could be divided into three groups: (a) narrow: <3.8 cm; (b) medium: from cm 3.8 to 4.4 cm and (c) broad: >4.4 cm. Previous results show that pinnae width was in the range of 2.46–3.77 cm (Elhoumaizi et al., 2002 and Soliman et al., 2013), spathe length was in the range of 60.33–153.33 cm (Soliman et al., 2013; Abo-Rekab et al., 2014), spathe width of male date palms was in the range of 10–19 cm (Abo-Rekab et al., 2014), spathe stand length was between 16.67 cm and 76.00 cm (Soliman et al., 2013), the spathe weight for male date palms was in the range of 0.77–3.65 kg and the number of strand/spathe was in the range of 72–293 (Soliman et al., 2013; Abo-Rekab et al., 2014), depending on date palm age, cultivar, country, growing season and weather conditions. Soliman et al. (2013), Abo-Rekab et al. (2014), Nesiem et al. (2016) and Abd et al. (2019) showed variation in the germination percentage of male date palms according to age, cultivar, weather and country and it was in the range of 54.10%–95.96%. The differences in leaf and other morphological properties of males dates between our results and previous results in many research papers may be due to the weather and soil conditions, which are reflected on the phenotypic parameters in different male date palm growing regions. However, these impacts are very restricted in one region, which contributes to the phenotypic characteristic significance in differentiating between male and female date palm cultivars (Abd et al., 2019). Al-Hamoudi et al. (2006) report that generally, the morphological characteristics of the male date palm varied according to male type in terms of the number of spathes per male palm, spathe weight, spathe length, spathe width, spathe strand length, spathe pollens grains weight and pollen germination percentage.
The results of this study also show that there were significant differences among the nine male date palms in terms of morphological characteristics, nutritional status and pollen grain germination percentages. Analysis of variance showed that these differences were statistically significant. Therefore, one of the common methods used to identify the diversity and variation in date palms is the use of morphological features (Elmeer et al., 2016). Additionally, it was noted that Saudi Arabia’s date palm farming industry depends on having capable males, so a male performance gap will reduce the output. The lack of qualified males is a barrier to the expansion of date palm plantations, not just in Saudi Arabia but in all nations that depend on the production of dates for economic growth. This calls for more ongoing studies to improve the health of data palms in farms, which will have additional financial effects on the owners. The observed variances in features may, in general, be due to the total amount of fertilisers that have been administered to each tree. These outcomes could be explained by the fact that local farmers did not embrace a widespread practice of soil fertilisation, which demonstrates their ignorance of the value of soil fertility and soil fertilisation techniques in date palm farming. However, the farmers mostly rely on their inherited expertise to apply organic fertilisers in the form of dairy farm manures (Al-Khateeb and Dinar, 2002; AEA, 2017). This is because the results of the analysis revealed distinct changes in the nutritional components of the male leaves. On the other hand, the indicator nutrient technique for horticultural orchards is leaf analysis for nutritional components. According to Lyu et al., 2019, the most important nutrient for horticulture trees is nitrogen. Many processes, including flowering, depend on it (Lin and Tsay, 2017). Other horticultural species, such as pomegranate trees (Al-Dosary et al., 2022) and date palm trees (Kassem, 2012; Ibrahim et al., 2013), have variable N concentrations in their leaves. Furthermore, P has little impact on date palm tree growth and yield, which may be due to the root system’s delayed response to the applied P (Abbas and Fares, 2009). Potassium is essential for the synthesis of proteins, cell development and division, the production of sugars and starches, fruit size, flavour and colour, as well as other important physiological activities (Abbas and Fares, 2009). According to research by Holzmueller et al. (2007), potassium has been shown to promote the decline in plant diseases while potassium stress can increase crop loss due to bacterial and fungal diseases. For other horticultural trees, such as pomegranate trees (Al-Dosary et al., 2022) and date palm trees (Kassem, 2012; Ibrahim et al., 2013), K content in the leaves has been shown to vary depending on fertilisation doses and type. The most significant mineral is calcium, which controls how well plant roots can absorb water. However, the dosage or chemical form of calcium treatment may potentially have an impact (Badawy et al., 2019). Other horticultural trees like pomegranate trees (Al-Dosary et al., 2022) and date palm trees (Abbas and Fares, 2009) have shown variable calcium concentrations in the leaves (Kassem, 2012). Additionally, Al-Dosary et al. (2022) observed that Mg concentration in leaves varied for different horticultural species, including pomegranate trees. The amount of nutrients that date palm trees absorb generally depends heavily on the soil (Kassem, 2012). In order to improve production and fruit quality for horticultural trees, it is essential to modify a proper fertilisation schedule, comprising appropriate rates, appropriate sources and well-organised application ways and timing (Fageria and Baligar, 2005). In order to maximise the fruit quality, it is also crucial to choose and identify superior male genotypes in terms of fertilisation performance (El-Hamady et al., 2010; Rezazadeh et al., 2013; Hafez et al., 2014). Characterising and evaluating the available extremely potent male palms is essential, because the source of pollen is one of the most important factors in improving the production and fruit quality of date palm cultivars as well as the flavour or perfume of the fruit (Elshibli et al., 2007; Rizk et al., 2007; Aly, 2018). Other researchers (Kassem, 2012; Elamin et al., 2017) also came to the same conclusion that soil fertilisation procedures enhance date palm productivity.
Crop breeding, which involves a variety of abilities and experiences, is remarkably effective at boosting agricultural output (Cobb et al., 2019). However, certain environmental circumstances pose serious problems for productivity. As plant breeding in the modern date is based on generating variation, selection, evaluation and multiplication of the desired genotypes (Ahloowalia and Maluszynski, 2001), systems for managing breeding data must be well-designed to support selection decisions, and emerging methods for speeding up breeding cycles must be routinely tested and implemented (Cobb et al., 2019). In natural plant populations, there are many instances of natural selection acting on the phenotypic traits (Kingsolver et al., 2001). The improvements in data management and interpretation have created new opportunities to accelerate the selection of the best crop, which can improve plant breeding programmes and play a significant role in meeting future food security demands. Increasing date palm fruit quality and production is the aim of male identification (Khalil et al., 2018). To identify the best pollinators, a study is essential. The production of genetically varied local male date palms through seed propagation is a common occurrence (Soliman et al., 2013).
Studying the characteristics of pollen grains is necessary to comprehend distinguishing traits, ontogeny, comparative morphology, aspects of breeding systems and hybridisation (Soliman and Al-Obeed, 2013). In this sense, a predetermined proportion of pollinators with superior genotypes ought to be picked. According to Bchini (2006) and Mesnoua et al. (2018), the selection of these high-quality pollinators is mostly dependent on morpho-physiological factors such as spathe size, mode of development, pollen viability rate, pollination power demonstrated by strong germination and plentiful pollen output. Additionally, according to Karim et al. (2021), the selection is based on molecular factors, including the degree of kinship and similarity between the various pollinators. To improve information and analytical support for the management of the date palm sector as well as procedural and methodological components of the study, the proposed evaluation index to assess the performance of male date palms is therefore recommended. It applies to many regions of other countries and can pinpoint the most promising directions for the best management of male date palms. A general appraisal of the potential of various males in the area is possible thanks to the establishment of the proposed evaluation index-based weights. Based on the evaluation index calculation, the values for male Nos 8, 3, 1, 5, 7, 6, 9, 4 and 2 were 2.10, 2.07, 2.05, 2.03, 2.0, 1.99, 1.98, 1.98, 1.95 and 1.94, respectively.
According to the analysis of the proposed evaluation index, the male denoted by M8 had the highest performance in terms of productivity properties when compared with the other males. Thus, this male 8 was called ‘Marzouk’ in order to distinguish it from other genotypes and for its further propagation. The proposed evaluation index criterion will contribute to improving information and analytical assistance for management of the date palm sector as well as for procedural and methodological components of the analysis. The suggested assessment rule is therefore beneficial; it applies to many regions of other countries and can pinpoint the most promising directions for the best management of male date palms. In addition, these results can support date palm growers by choosing pollens from tested male genotypes, significantly increasing yields leading to high-productivity palm yield and fruit quality, as gaining significant yields is associated with the success of pollenisers and their clever selection.