More than 10,000 landraces of taro (Colocasia esculenta (L.) Schott) have been identified till date. Taro plants have been recognised as a morphologically very diverse crop group. However, the genetic base is fairly narrow since almost all cultivated taro plants are vegetatively propagated. Miyasaka et al. (2019) argued that the centre of origin of taro is located in the Indo-Malayan area. Ahmed et al. (2020) also supported the idea that taro originated in Southeast Asia and then dispersed to Australia and Papua New Guinea.
Taro has the ability to grow under diverse climatic regimes (Matthews and Ghanem, 2021), including its ability to survive and produce corms under salty conditions (Lloyd et al., 2021); to some extent, it is tolerant to drought (Gouveia et al., 2020) and is well adapted to wet or waterlogged soil (Yamanouchi et al., 2021). Therefore, taro can be cultivated in the wetlands, while most other vegetable crops cannot (Lakitan et al., 2019).
Cultivation of taro could deliver double benefits. The taro corm is characterised by high-quality and affordable source of starch, which is gluten-free, hypoallergenic and highly digestible (Singla et al., 2020). Taro corm contains 70%–80% starch. The starch content in taro corm is higher than that of sweet potato and cassava (Kaith et al., 2022). Young leaf blade and petiole are consumed as leafy vegetable and are rich in vitamins, minerals and fibre (Shekade et al., 2018). Globally, taro is the fifth most cultivated root crop (Miyasaka et al., 2019).
Multiple vegetative parts of the taro plant can be used as planting materials (PMs), including cormel, sucker and stolon (Setyawan et al., 2021). In general, taro plants are divided into wild taro (non-cultivated), swamp taro (growing well in wet and flooded lands, producing long stolon, which can also be used as the PM) and common taro (widely cultivated). Moreover, common taro plants (Colocasia esculenta (L.) Schott) can be divided into three groups based on the physical stature of the plant, skin colour of the petiole and colour of the inner part of the corm/cormel (Maretta et al., 2022).
This study was designed to evaluate the effects of different planting materials (PMs) and the effectiveness of morphological alteration (MA) treatments on increasing corm yield or number of suckers as a primary source of young leaves for vegetable. It is hypothesised that if all suckers of an individual taro plant are removed, then more photosynthates produced in leaves will be allocated to the corm as the sink organ. Reversely, if the above-ground organs of the mother plant are excised, then the photosynthates will be more available for supporting the development of new suckers.
The common taro used in this study had pale green petiole skin colour and broken-white inner corm colour. The planting materials (PMs) used consisted of cormel and two sucker sizes, i.e., with two leaves and four leaves. Cormels and suckers were selected for maximising uniformity within each category of PM. The PMs were sown onto pre-mixed growing substrate with a ratio of 2:1 (v:v) between topsoil and chicken manure. The substrate was rested into 30-cm height and 30-cm upper diameter pots and then watered to slowly settle the mix. Additional substrate was added to level the surface of substrate in all pots at a height of 25 cm. Substrate surface was at the same level, with four side holes positioned on each pot.
This experiment was arranged based on the randomised block design with two factors, i.e., planting materials (PMs) and morphological alteration (MA) treatments. Three kinds of PMs were used: cormel (PMC), suckers with two leaves (PMS2) and suckers with four leaves (PMS4). Two MA treatments were applied, consisting of removal of all suckers (MAS) and excision of the above-ground part of the mother plants (MAM). Non-treated plants (NMA) were used as control. Each of the 3 × 3 treatment combinations was replicated three times and each replication consisted of three taro plants. All plants were placed outdoors and directly exposed to full sunlight. The substrate was watered daily except on rainy days. Compound NPK (15:15:15, v:v:v) fertilizer was applied during the vegetative stage at 3 weeks after planting (WAP) (5.0 g), 7 WAP (7.5 g) and 13 WAP (10.0 g) per pot. The NPK fertilizer was not applied during corm enlargement or at maturity. The response of the taro plants to NPK application during the vegetative growth stage was continuously monitored for 28 days, starting after the day of application from 4 WAP to 8 WAP. Since only one plant species was used, i.e. common taro, and measurements were made under similar agroclimatic conditions, the use of soil plant analysis development (SPAD) value as a proxy for leaf nitrogen content was well founded. The concern of Xiong et al. (2015) on this matter was fully considered.
Measurement of the SPAD value – as a proxy for leaf nitrogen content – was conducted using a chlorophyll meter (SPAD-502Plus, Konica Minolta, Tokyo, Japan). The SPAD values were the average of the values at three points of measurement on each selected leaf. The directly measured traits were clustered into quantity-based, dimension-based and weight-based traits. Quantity-based traits included the number of suckers and leaves. The dimensional and weight-based traits included length, width, diameter, as well as the fresh and dry weights of leaf blade, midrib, petiole, sucker, corm, cormel and roots. The diameters of petiole, corm and cormel were measured using digital callipers (SH20, Taffware, Jakarta, Indonesia). Root length was obtained by measuring from the base of the plant to the tip of the longest root. The fresh weight of each part of the plant was taken directly by using digital scales. The dry weight of each part of the plant was measured after being dried in the oven at a temperature of 100 °C for 48 h. The leaf moisture content was calculated based on the difference between the fresh and dry weights of the leaf. The cormel/corm ratio was calculated based on the total dry weight of all cormels and the dry weight of the single main corm.
Routine data collections were conducted weekly for the quantity-based and dimension-based parameters of the above-ground organs. Destructive measurements were performed at 12 WAP, 20 WAP and 28 WAP for the weight-based parameters of the above- and below-ground organs. The analysis of variance (ANOVA) was carried out using the Statistical Analysis System (SAS), version 9.0, for Windows, based on the randomised block design with two factors. Differences among the mean values of significant treatments on any traits were tested using the least significant differences test at p ≤ 0.05.
Planting materials (PMs) did not significantly affect the growth and development of taro plants, except on corms at 12 WAP, which was the period associated with early corm development in plants grown using cormel. Meanwhile, morphological alteration (MA) treatments did affect some growth traits, including leaf blade, petiole, roots, as well as the weight and diameter of corms and cormels. There was no interaction between PM and MA treatments for all measured traits; therefore, the interaction data are not displayed in Table 1.
Results of the analysis of variance on growth and development of taro plant as affected by the planting materials used and morphological alteration treatments.
| Parameter | Planting material (PM) | Morphological alteration (MA) | ||||
|---|---|---|---|---|---|---|
| 12 WAP | 20 WAP | 28 WAP | 12 WAP | 20 WAP | 28 WAP | |
| Leaf blade | ||||||
| MP number of leaves | ns | ns | ns | ** | ** | ** |
| MP leaf blade: fresh weight | ns | ns | ns | ** | ** | ** |
| MP leaf blade: dry weight | ns | ns | ns | ** | ** | ** |
| LL midrib: length | ns | ns | ns | ** | ** | ** |
| LL midrib: width | ns | ns | ns | ** | ** | * |
| Petiole | ||||||
| MP petiole: fresh weight | * | ns | ns | ** | ** | ** |
| MP petiole: dry weight | ns | * | ns | ** | ** | ** |
| LL petiole: length | ns | ns | ns | ** | * | ns |
| LL petiole: diameter | ns | ns | ns | ** | ** | * |
| Sucker | ||||||
| Number of suckers | ns | ns | ns | ns | ns | ns |
| SK number of leaves | ns | ns | ns | ns | ns | ns |
| SK leaf: fresh weight | ns | ns | ns | ns | * | ns |
| SK leaf: dry weight | ns | ns | ns | ns | ns | ns |
| SK petiole: fresh weight | ns | ns | ns | ns | * | ns |
| SK petiole: dry weight | ns | ns | ns | ns | ns | ns |
| Roots | ||||||
| Root length | ns | ns | ns | * | ns | ns |
| MP roots: fresh weight | ns | ns | ns | ** | ** | ** |
| MP roots: dry weight | ns | ns | ns | ** | ** | ** |
| SK roots: fresh weight | ns | ns | ns | ns | ns | ns |
| SK roots: dry weight | ns | ns | ns | ns | ns | ns |
| Corm and cormels | ||||||
| Main corm: diameter | ** | ns | ns | ** | ns | ns |
| Main corm: length | ** | ns | ns | ** | ns | ** |
| Main corm: fresh weight | * | ns | ns | ** | ** | ** |
| Main corm: dry weight | * | ns | ns | ** | ** | ** |
| Cormel: fresh weight | - | ns | ns | - | ** | ** |
| Cormel: dry weight | - | ns | ns | - | ** | ** |
different at p ≤ 0.05;
different at p ≤ 0.01.
LL, largest leaf; MP, mother plant; ns, not significantly different; SK, sucker; WAP, weeks after planting.
Response to planting material (PM) and morphological alteration (MA) treatment in terms of the growth of the taro plant is presented in Figure 1. There was a clear trend that the SPAD values immediately increased within a week; yet the values gradually decreased starting from the second week in the MA plants, more so if the mother plant has been previously excised (MAM). Meanwhile, relatively similar patterns were exhibited by plants grown using small cormel (PMC), sucker with two leaves (PMS2) or sucker with four leaves (PMS4). However, the PMC plant consistently showed a higher SPAD value than the PMS2 and PMS4 plants. The PMS4 plant consistently showed the lowest SPAD value; therefore, no specific PM should be recommended for cultivation of the taro plant.
Figure 1
Responses of taro plants to NPK fertilizer application in morphologically altered plants (A and C) and with different planting materials (B and D). The standard errors are represented by the length of the error bars. MAM, morphological alteration involving excision of the mother plant; MAS, morphological alteration involving removal of all suckers; NMA, non-treated control; PMC, planting material cormel; PMS2, planting material suckers with two leaves; PMS4, planting material suckers with four leaves; SPAD, unit-less indicator for leaf chlorophyll content. Small letters a, b, and c on tops of the SPAD value bars were used to indicate differences amongst the morphological alteration treatments.

Direct comparisons among the morphologically altered (MA) plants at each week of measurement disclosed that the different responses in terms of SPAD value started after 2 weeks of NPK application and the differences continuously progressed afterwards. Meanwhile, differences were consistently observed among the PM plants. Taro seedlings with four leaves should not be positioned as priority PM.
Number of leaves in the taro plant slightly varied between four and six leaves per individual plant (Figure 2). However, during the same period, the taro plant produced additional suckers. Each sucker produced about four leaves. Constant number of leaves was attained since any additional new leaf was balanced by an older leaf starting to senesce. The life cycle of the taro leaf on average spanned 3–4 weeks.
Figure 2
The influence of planting material (A) and morphological alterations (B) on the number of leaves in the mother plant of taro. The standard errors are represented by the length of the error bars. MAM, morphological alteration involving excision of the mother plant; MAS, morphological alteration involving removal of all suckers; NMA, non-treated control; PMC, planting material cormel; PMS2, planting material suckers with two leaves; PMS4, planting material suckers with four leaves.

The number of leaves in the mother plant increased after 2–8 weeks after all suckers were removed (MAS); meanwhile, the number of leaves continuously decreased in the NMA and MAM-treated plants. Maintaining a higher number of leaves in the MAS-treated plant was probably associated with the lengthening duration of the life cycle of an individual leaf and enhancement of initiation of new leaves.
The dry weight of the total sucker biomass was consistently higher than that of the individual mother plant for all morphological components, i.e. leaf, petiole and roots (Figure 3), indicating that the taro variety used in this study is suitable for leaf production. Leaf blade and petiole are the edible parts for consumption. Differences in leaf blade and petiole biomass among plants cultivated using cormel and sucker were variable, but the average was not significantly different as the plants became older (20–28 WAP).
Figure 3
Dry weights of leaf blade, petiole and fibrous roots of the individual mother plant (A, C and E) and suckers (B, D and F) cultivated using cormel (PMC) or seedling with two (PMS2) or four (PMS4) leaves observed at 12 WAP, 20 WAP and 28 WAP in taro plants. The standard errors are represented by the length of the error bars. MP, mother plant; SK, sucker; WAP, weeks after planting.

The MAS-treated plants exhibited a significant positive effect in terms of the dry weight of leaf blade, petiole and roots of individual mother plants, compared to the non-treated control plant (NMA), especially at an early age (12 WAP). Meanwhile, the MAM-treated plants barely deviated from the dry weight of all parts of the non-treated plants (Figure 4).
Figure 4
Different responses of the plants to the morphological alteration treatments involving excision of mother plant (MAM) and removal of suckers (MAS) in comparison to non-treated plants (NMA) in terms of the dry weights of leaf (A, B), petiole (C, D) and fibrous roots (E, F), observed at 12 WAP, 20 WAP and 28 WAP in taro plants.

Number of suckers was higher during early growth in the taro plants, but then, it gradually decreased (Figure 5). The decrease was associated with competition among suckers at the early stages, which eventually caused some weaker suckers to fail to develop further. It was also observed that the number of suckers at 12 WAP was higher in plants grown using cormel (PMC) than using sucker with two leaves (PMS2) or four leaves (PMS4) as the PMs. The differences in the number of suckers and total leaf blades decreased as the plant grew older (at 20 WAP and 28 WAP). It should be noticed that the MAS-treated plants did not have suckers since the suckers were continuously removed.
Figure 5
Number of suckers and total number of leaves per plant were higher in plants grown using cormel as the planting material (A, C) and the number of suckers and leaves were not different between the mother plant excision treatment and the non-treated plant (B, D), when observed at 12 WAP, 20 WAP and 28 WAP in taro plants. The standard errors are represented by the length of the error bars. MAM, morphological alteration involving excision of the mother plant; MAS, morphological alteration involving removal of all suckers; MP, mother plant; NMA, non-treated control; PMC, planting material cormel; PMS2, planting material suckers with two leaves; PMS4, planting material suckers with four leaves; SK, sucker; WAP, weeks after planting.

Length of corm in mother plants exposed to the MAS treatment was significantly increased, but excising above-ground organ of the mother plant in the MAM treatment halted further growth of the corm, causing a shorter corm compared to that of the non-treated control plants (NMA) (Figure 6). The effects of planting materials (PMs) were not consistent. Positive effect of MAS treatment on corm diameter was also recognised, yet the effect was not significant compared to non-treated plants at 12 WAP.
Figure 6
The diameter and length of the corm were compared based on the type of planting material (A, C) and differences in morphological alteration treatment (B, D) in taro plants aged 12 WAP, 20 WAP and 28 WAP. The standard errors are represented by the length of the error bars. MAM, morphological alteration involving excision of the mother plant; MAS, morphological alteration involving removal of all suckers; NMA, non-treated control; PMC, planting material cormel; PMS2, planting material suckers with two leaves; PMS4, planting material suckers with four leaves; WAP, weeks after planting.

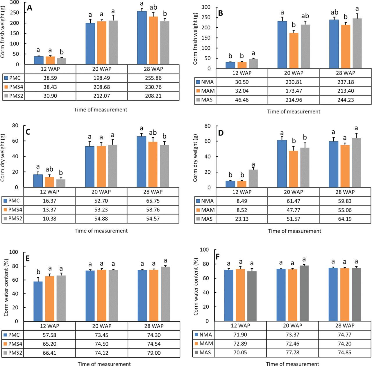
Initiation of corm development in the taro plant was observed at 12 WAP. A fast enlarging period was found during 12–20 WAP, and the growth started to slow down during the following 8 weeks (Figure 7). The water contents of the corms measured at 12 WAP, 20 WAP and 28 WAP were relatively unchanged and were not affected by the different PMs used or MA treatments.
Figure 7
The fresh weight, dry weight and water content of the corm were compared based on the type of planting material (A, C and E) and differences in morphological alteration treatment (B, D and F) in taro plants aged 12 WAP, 20 WAP and 28 WAP. The standard errors are represented by the length of the error bars. MAM, morphological alteration involving excision of the mother plant; MAS, morphological alteration involving removal of all suckers; NMA, non-treated control; PMC, planting material cormel; PMS2, planting material suckers with two leaves; PMS4, planting material suckers with four leaves; WAP, weeks after planting.

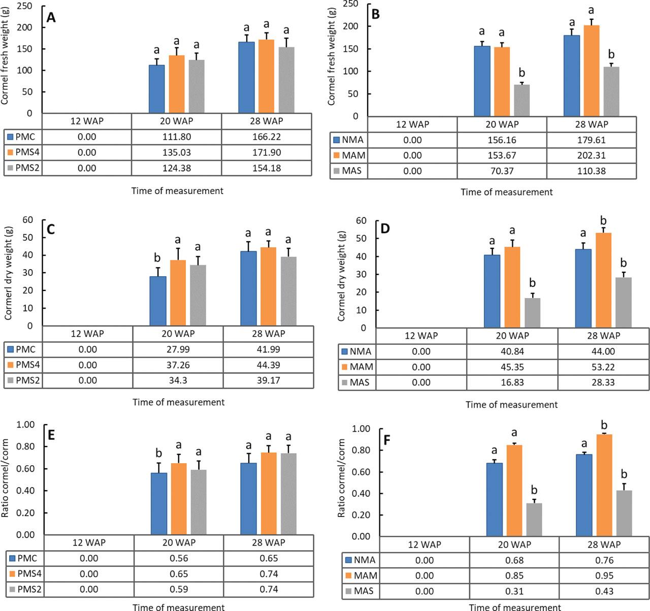
Cormels required >12 weeks to develop into taro plants. Cormels were seen at 20 WAP (Figure 8). Cormels can be directly developed on the corm of the mother plant or randomly developed from swollen roots. The PMs used did not consistently affect cormel development. Meanwhile, the MAS treatment significantly halted cormel development, but the MAM treatment was comparable to the non-treated plant (NMA) in terms of the cormel enlargement process.
Figure 8
The fresh and dry weights of the cormel and the ratio of cormel/corm were compared based on the type of planting material (A, C and E) and differences in morphological alteration treatment (B, D and F) in taro plants aged 12 WAP, 20 WAP and 28 WAP. The standard errors are represented by the length of the error bars. MAM, morphological alteration involving excision of the mother plant; MAS, morphological alteration involving removal of all suckers; NMA, non-treated control; PMC, planting material cormel; PMS2, planting material suckers with two leaves; PMS4, planting material suckers with four leaves; WAP, weeks after planting.

High diversity has been recognised in the taro plant. Maretta et al. (2022) divided taro into three groups based on the plant stature, colour of the petiole and corm cross-section. The taro used in this study exhibited pale-green petiole skin and broken-white inner corm. Taro plants can be grown using different biomaterials, i.e. small cormel, sucker with two leaves or sucker with four leaves. In our previous study, large cormels (up to 70 g) exhibited fastest growth and yielded the largest plant during the vegetative phase (Lakitan et al., 2021). However, earlier development of corm in the mother plant was observed at 12 WAP in plants grown using cormel as the PM. At 12 WAP, there was no indication of corm development in plants grown using suckers with two and four leaves.
Taro plant is responsive to compound NPK fertilizer application. The SPAD value has been practically used as a reliable estimate for leaf nitrogen content. Yue et al. (2020) found that there was a strong correlation (R2 = 0.94) between the SPAD value and leaf nitrogen content, irrespective of the growth stage. The leaf SPAD value significantly increased within 1 week after NPK application, and it took >3 weeks before the SPAD value dropped back to the pre-treated value. Raju and Byju (2019), based on their finding on NPK uptake by the taro plant, suggested an application of NPK at a ratio of about 4.7:1.0:6.4 for N, P and K, respectively. However, Lee et al. (2016) found that the ratio of tuber to total biomass decreased with increasing N fertilization rate. The decrease was related to an increase in the amount of assimilate allocated for shoot growth. Fertilizer use efficiency was decreased by increase of N and K fertilization. The highest taro corm yield was achieved at 150 kg · ha–1 NPK fertilization.
Regardless of the planting materials (PMs) used, the number of leaves in the taro plant, on average, only varied between 4–6 leaves per individual plant. Legesse and Bekele (2021) testified that the taro plant maintained a maximum of eight leaves per plant throughout its life cycle. The plants actually continuously produced new leaves, but it was equalised by the death of the oldest leaf.
Busari et al. (2019) informed that some irrigation water management treatments, i.e. alternate wetting and drying, continuous flooding irrigation and wetting without flooding, did not negatively affect the number of leaves and the leaf area index in the mother plant. Further, Hidayatullah et al. (2020) found that taro plants positively responded to saturated water conditions by increasing the number of leaves. Derebe et al. (2019) found that leaf number and leaf area index were higher at higher altitudes (2,200 m above sea level).
In addition to corm as the main yield, the young leaf blade and petiole can be consumed as leafy vegetable (Miyasaka et al., 2019). Suckers can be used as a source of leafy vegetable. Total sucker biomass was consistently higher than that of the individual mother plant, indicating that the taro variety used in this study is suitable for production of leafy vegetable. Ogbonna et al. (2015) reported that the planting space in taro cultivation affected the ratio of harvested corm yield and the number of suckers for use as vegetable. Narrower planting space produced higher tuber yield per hectare, while wider planting space increased the number of suckers. Salam et al. (2016) added that use of larger cormel as the PM produced more suckers. These findings are useful for cultivating the taro plant to produce both corm as the main yield and young leaves as the additional yield.
The number of suckers also declined as the plant became older. This decline was associated with the switching of the assimilate's role from supporting shoot growth to development of corm as a stronger sink. The weakest sucker eventually died as the competition continued. Bekele and Boru (2020) revealed that the number of suckers could be significantly different among varieties. Therefore, suitable varieties for the double yield cultivation system are those with balanced shoot and corm development. The variety producing more suckers should be suitable for leafy vegetable production, and varieties with fewer suckers should be chosen for maximising corm yield. Agronomically, to some extent, taro plants suitable for any specific purposes can be created via MA treatment.
Fa'amatuainu and Amosa (2016) divided the accumulation of dry matter in taro plant into five parts, i.e., leaf blade, petiole, sucker, roots and corm/cormel. They found that dry matter accumulation and its partitioning to different plant parts were varied over the growth stages in the taro plant. In this study, the impacts of morphological alteration (MA) treatments were more consistent and significant on the leaf blade, petiole, roots and corm of the mother plant. Meanwhile, the impacts on parts of sucker were rarely considered. Instead, the attention was more concentrated on the cumulative cormel weight. Kaushal et al. (2015) reported that the corm and cormel of the taro plant were good sources of starch since the corms contain 70%–80% starch, have anti-oxidative and anti-inflammatory properties and are highly digestible. Saxby et al. (2021) added that the corm can be utilised as a carbohydrate alternative for improving the nutritional value for human health.
Corm size (based on diameter and length) was not related to the planting materials (PMs) used but was significantly affected by morphological alteration (MA) treatments. MA significantly affected the dry weights of the leaf blade, petiole and roots of the individual mother plants. Dry weights of the MAS-treated plants were significantly higher than those of normal plants; however, the morphological characteristics of MAM-treated mother plants were not significantly different from those of control plants.
At present, it might need extra efforts to find scientific articles on the response of taro plant to morphological alteration (MA) treatments. However, physical treatments such as goose-necking or decapitation of the mother plant have been reported to enhance sucker production in the banana plant (Bhende and Kurien, 2016). Sucker is a main PM in banana cultivation. A similar principle was used in the MAM-treated mother plants in taro, which aims to increase the number of suckers for production of young leaves as leafy vegetable.
Dorel et al. (2016) found that sucker removal eliminated potential competition for photo-assimilates between suckers and yield organ. A similar result was found in this study: corm size, corm weight and some other traits in the mother plant were significantly better in the MAS-treated plant harvested at 28 WAP. Datta et al. (2020) also reported that wider spacing (2.5 m × 2.5 m) with a single sucker as the PM produced the highest yield and all other morphological traits in the optimal range.
Initiation of corm development in taro plant was observed at 12 WAP. A fast enlarging period occurred during 12–20 WAP, and slowing down was observed during the next 8 weeks. Corm water contents measured at 12WAP, 20 WAP and 28 WAP were relatively unchanged and also were not affected by the different PMs used or the MA treatments. The optimum age for corm harvesting was 7–9 months after planting (MAP) (Boampong et al., 2018). Kristl et al. (2021) added that at around 8 months of age, total oxalate content in the corm was lower, and the water-soluble oxalate content increased as the plant grew older. In this study, corm weight, diameter and length were no longer affected by the PMs used at the ages of 20 WAP and 28 WAP or about 7 MAP. Oxalate causes irritation and burning sensation (acridity) in the throat and mouth on ingestion (Kaushal et al., 2015).
Cormel was developed later than the main corm. It took >12 weeks before the cormel began to develop into taro plants. Cormels can grow directly from the main corm or randomly develop from swelling roots. PMs did not consistently trigger cormel initiation. MAS treatment significantly increased cormel weight, but the MAM-treated plants did not significantly differ from the non-treated (NMA) plants in terms of the cormel enlargement process. Ubalua et al. (2016) described that corm initiation commenced at about 3 MAP, while cormel initiation followed afterwards. There was no information on the time lapse between corm and cormel initiation. However, cormels had been found at 20 WAP; therefore, it is reasonable to expect that cormel initiation occurred at around 15 WAP. The period of 3–6 MAP was characterised by a rapid increase in shoot growth. By the end of 6 MAP, shoot growth rate gradually declined, while corm and cormel continued to grow. Muinat et al. (2017) added that the number of cormels was positively correlated with the corm weight.