The wild service tree (Sorbus torminalis (L.) Crantz) is a rare and endangered deciduous tree species that is protected by law in many European countries. It thrives in a wide range of climates (from temperate to boreal climates and from mountainous to lowland regions), with its range extending from northern Africa to southern Sweden and from eastern Britain to northern Iran (Demesure-Musch and Oddou-Muratorio 2004). This light-demanding species, which can grow up to 25 m tall, is valued for its woody properties, ecological role and increased drought tolerance, which make it important for cultural landscapes and climate change adaptation measures (Prokopuk et al. 2022; Spława-Neyman and Owczarzak 2006; Stecki 1949; Welk et al. 2016). Sorbus torminalis is often used as a forest admixture that promotes biodiversity, reduces soil erosion and improves soil fertility. Its drought resistance and ability to tolerate shade in early growth stages (Pacyniak 1991; Tomanek 1970) allow it to replace more sensitive species in forestry and landscapes, especially under changing global climatic conditions (Paganová 2007).
The distribution area of Sorbus torminalis is significantly affected by human activities, as the tree has been used as an admixture in forest stands and is planted along roads. Studies on the phylogenetics and hybridisation of Sorbus torminalis (Demesure-Musch and Oddou-Muratorio 2004; Petit et al. 2003) have highlighted the genetic variability and diversity of the species. Studies of chloroplast DNA have revealed a weak phylogenetic structure between populations (Oddou-Muratorio et al. 2001), with regional studies showing virtually no differences between populations of wild service tree. This lack of differentiation may be due to the uncontrolled transfer of seeds by humans in the past (Demesure-Musch and Oddou-Muratorio 2004; Sułkowska and Wojda 2015).
Studies on wild service trees have shown high individual and population plasticity of the species (Espahbodi et al. 2008); therefore, only selected provenances can be recommended for widespread use in management tree stand plantations. In Poland, till now, we do not have selected seed sources of wild service tree, suitable for establishing such a type of tree plantations (Sułkowska et al. 2021).
Common garden experiments are crucial for the study of genetic and phenotypic variation in tree species in different environments (Beaton et al. 2022; Schwinning et al. 2022; Streit et al. 2024). They allow the quantification of both the plastic and genetic components of trait variation. Multisite common garden trials facilitate the ongoing assessment of genetic variation under different environmental conditions and improve our understanding of how species respond to abiotic and biotic factors. However, these studies are time consuming and costly, which contributes to the rarity of common garden trials with Sorbus species. Notable studies have been conducted with Sorbus aucuparia in Sweden and Great Britain (Ward 2014).
The two common garden trials with Sorbus torminalis were conducted in Poland to achieve several objectives: to study the growth characteristics and genetic parameters of the Polish populations and to create valuable seed sources for future management of the species.
In Poland, Bednorz et al. (2006) investigated the genetic structure of 20 wild service tree provenances in the early 2000s. Later, researchers from the Forest Research Institute (IBL) revisited these provenances to collect seeds for further studies (Sułkowska and Wojda 2015). However, it was not possible to collect seeds from all provenances. In total, seeds from 104 trees were collected and later used to raise seedlings. Finally, seedlings from these trees belonging to eight of these provenances were planted in two common garden trials (Fig. 1, Tab. 1). A description of the eight provenances used is given below.

Locations of wild service tree common gardens (squares) and tested provenances (circles). The ID of provenances according to Table 1. The dark grey polygons and dots on both maps show the distribution range of the species according to Caudullo et al. (2017)
Characteristics of the tested wild service tree (Sorbus torminalis (L.) Crantz) provenances
| IDa | Provenance | Latitude N | Longitude E | Altitude m a.s.l. | Forest site conditions | Soil typeb |
|---|---|---|---|---|---|---|
| 6 | Goraj | 52°53′ | 16°31′ | 50–80 | Fresh broadleaved forests | Brown soils |
| 9 | Bytyń | 52°28′ | 16°28′ | 100 | Fresh broadleaved forests | Leached brown soils |
| 12 | Kawęczyńskie Brzęki Reserve | 52°24′ | 18°37′ | 120–130 |
| Brown soils |
| 15 | Piaski | 51°49′ | 17°12′ | 130 | Fresh broadleaved forests | Stagnosols, brown soils |
| 17 | Jawor | 51°01′ | 16°08′ | 300–395 | Upland forests, mixed upland forests | Raw siliceous rocky soils (litho-sols), rankers, acid brown soils |
| 18 | Lubiechowa | 51°00′ | 15°50′ | 360 | upland forests | Brown soils |
| 19 | Kamień Śląski Reserve | 50°33′ | 18°05′ | 180–190 | Fresh broadleaved forests, fresh mixed broadleaved forests | Rusty soils, brown soils |
| 20 | Białowodzka Góra Reserve | 49°41′ | 20°38′ | 500–550 | Mountain forests | Brown soils, leached brown soils |
– ID of provenances is identical to Fig. 1 and the study of Bednorz (2006);
– classification on the basis of Kabała et al. (2019).
6. Goraj, Krucz Forest division, Goraj Forestry: The site covers moraine hills stretching along the southern edge of the Noteć valley. Forest habitat type is fresh broad-leaved forest. The area is covered with oak–hornbeam forests and oak forests, on brown soils, with a heavy clay base, less often with lightly clayey sands and deep clayey sands. Sorbus torminalis is abundant, and very effective natural regeneration from the seed is observed; the oldest trees are currently about 80–100 years old.
9. Bytyń, Pniewy Forest division, Bytyń Forestry: The population of wild service tree, named Bytyński (Bytyński Forest), occurs in the area of two nature reserves: the ‘Brzęki przy Starej Gajówce’ and the ‘Bytyńskie Brzęki’. The reserves were established to protect the wild service tree and the adjacent management forests. Forest habitat type is fresh broadleaved forest, with the Galio–Carpinetum oak–hornbeam forest community, on leached brown soils (substrate – light sandy clay). The age of the stands is unknown, but the structure, with a diameter at breast height of 8–46 cm and a height of 8–26 m, as well as the presence of young specimens originating from seeds indicate effective natural regeneration of the site.
12. Kawęczyńskie Brzęki Reserve, Koło Forest District, Gaj Forestry: The reserve was established in 1957 to protect the population of wild service tree at the eastern border of the range of the species. Forest habitat type: fresh broadleaved forest, fresh mixed deciduous forest and fresh mixed coniferous forest, with oak–hornbeam and thermophilous oak forest communities growing on typical acidic and podzolized brown soils and leached brown soils (substrate – sandy loam, clayey sands and loose sands). The age of the stands is unknown, and they include wild service tree specimens from 1 cm in diameter at breast height to thicker than 64-cm ones, including several impressive monumental trees and a few seedlings and root sucker individuals.
15. Piaski, Piaski Forest District, Siedlec Forestry (the thickest tree with a circumference of over 214 cm): In the Piaski Forest District, the wild service tree is quite a common species, in several dozen forest divisions, finding excellent conditions for growth and reproduction. The age is highly varied, with numerous natural renewals; the oldest trees are over 150 years old. In Poland, currently, it is probably the largest population of wild service tree. The forest habitat type is fresh broadleaved forest, with communities of acidophilic oak forests, oak–hornbeam forests and mixed coniferous forests formed on rainfall-glia soils (substrate – heavy clay). Brown soils occasionally occur here.
17. Jawor, Pogórze Kaczawskie (Kaczawskie Foothills): The wild service tree occurs in the forests of the Jawor Forest District at an altitude of 270–390 m above sea level, growing on basalt, greenstone rock and porphyry hills, most often on their southwestern slopes. The Kaczawskie Foothills is a clear centre of wild service trees in southwestern Poland. In Poland, it is currently the second largest locality of S. torminalis, in terms of the number of trees; there are a total of about 500 specimens of this species here. The wild service tree is common here, and the young generation is numerous. Forest habitat type – mixed upland forest and upland deciduous forest, formed on erosional soils, brown and proper brown rankers (substrate – medium clay), acidic brown soils (substrate – stony and dusty formations). The wild service tree occurs here in various forest communities: wild service tree–oak forests, foothill acidophilic oak forests, less-often oak–hornbeam forests and slope forests. There is no doubt that this is the natural habitat of this species.
18. Lubiechowa, Złotoryja Forest District, Lubiechowa Forestry: Forest habitat type is classified as upland deciduous forest, with a community of foothill acidophilic oak forest, growing on brown soils with a shale–clay base. About 30 young trees grow in a small area along the road. The wild service tree is not of natural origin and is planted here. Only a few trees fruit, and there are numerous root suckers.
19. Kamień Śląski Reserve, Forest District Strzelce Opolskie, Forestry Miedziana: The reserve was established in 1958 in an area of 13.7 ha, with a height of 180–190 m above sea level. Forest habitat type is classified as fresh broadleaved forest and fresh mixed deciduous forest. The dominant association is oak–hornbeam and fertile lowland beech forest, growing on rusty and brown soils (substrate – clayey sands, silt–sandy formations deep on clay or loam). The crop and old trees are mainly observed; many of them reach a height of 20–25 m and a circumference of up to 2 m (no detailed inventory). The natural regeneration from seedlings is not too abundant. In 1996, approximately 1,000 individuals of 2-year-old wild service trees were planted in the reserve (from seeds collected at the reserve area). Several dozen trees are growing outside the reserve; among them 4 large trees, including 1 (circumference 190 cm), are threatened because an area is close to the Górażdże cement factory; and 7 more trees (circumferences from 100 to 204 cm and height approx. of 25 m); about 20 trees, mostly young.
20. Białowodzka Góra Reserve, Forest District Stary Sącz, Forestry Łososina Dolna: The reserve was established in an area of 67.69 ha, at an altitude of 500–550 m above sea level. The subsoil contains Magura layers composed of shales and cherts. In Poland, the Białowodzka Góra reserve is the highest location of wild service tree and the only abundant site in the southeastern part of the country. The forest habitat type is mountain forest and is occupied by brown and leached soils on a medium loam–silty clay base, slightly to strongly stony. The wild service tree occurs in patches of five plant communities, but most often in the transitional community between the subcontinental oak–hornbeam Tilio–Carpinetum association and the thermophilous beech orchid Carici–Fagetum forest. When the reserve was established, the number of wild service tree individuals reached 300. Since then, many large trees have disappeared, but the young generation is still numerous. The current population size is estimated at over 260 specimens. The largest tree possesses a diameter at breast height of 34 cm and reaches a height of 23 m.
The harvested seeds were stratified and grown in container pots in Arboretum Syców in 2010–2011. Then, 2-year-old seedlings were planted in common garden experiments in two sites: Forest District Syców (SYC), Forestry Arboretum, comp. 132B, f and Forest District Jamy (JAM), Forestry Marusza, comp. 20. A single-tree plot design was used for both common gardens (Fig. 2). The seedlings were planted with a spacing of 4 × 4 m, resulting in a density of 625 seedlings per hectare. At the JAM site, 750 seedlings were planted in three sub-blocks, while at the SYC site, 1050 seedlings were planted in four sub-blocks (Fig. 2, Tab. 2).

The original layout of the JAM (A) and SYC (B) common garden trials. Different colours denote provenances, and the numbers (labels) on the layout represent OP families within those provenances. The labels of the OP families correspond to those in Table 2; for example, the red 10 stands for OP family 15/10. The experiments are divided into sub-blocks: at the JAM site, sub-blocks 1, 2, and 3 are left, middle, and right, respectively; at the SYC site, sub-blocks 1, 2, 3, and 4 are top left, bottom left, top right, and bottom right, respectively. The north direction is the same for both sites
Number of seedling planted at the JAM and SYC common gardens according to provenances and open pollinated (OP) familiesa
| Provenance | JAM | SYC | No. | OP family | JAM | SYC |
|---|---|---|---|---|---|---|
| 1 | 2 | 3 | 4 | 5 | 6 | 7 |
| 6 | 93 | 115 | 1 | 6/3 | 25 | 25 |
| 2 | 6/7 | 30 | 30 | |||
| 3 | 6/8 | 38 | 30 | |||
| 4 | 6/10 | - | 30 | |||
| 9 | 55 | 85 | 1 | 9/1 | - | 30 |
| 2 | 9/2 | 30 | 30 | |||
| 3 | 9/8 | 25 | 25 | |||
| 12 | 30 | 30 | 1 | 12/4 | 30 | 30 |
| 15 | 188 | 193 | 1 | 15/3 | 30 | 30 |
| 2 | 15/4 | 30 | 35 | |||
| 3 | 15/5 | 30 | 30 | |||
| 4 | 15/6 | 30 | 30 | |||
| 5 | 15/8 | 38 | 38 | |||
| 6 | 15/10 | 30 | 30 | |||
| 17 | 120 | 180 | 1 | 17/3 | 30 | 30 |
| 2 | 17/5 | 30 | 30 | |||
| 3 | 17/8 | 30 | 30 | |||
| 4 | 17/10 | 30 | 30 | |||
| 5 | 17/12 | - | 30 | |||
| 6 | 17/13 | - | 30 | |||
| 18 | 200 | 206 | 1 | 18/1 | 25 | 25 |
| 2 | 18/2 | 30 | 36 | |||
| 3 | 18/3 | 30 | 30 | |||
| 4 | 18/4 | 30 | 30 | |||
| 5 | 18/5 | 25 | 25 | |||
| 6 | 18/9 | 30 | 30 | |||
| 7 | 18/10 | 30 | 30 | |||
| 19 | - | 30 | 1 | 19/4 | - | 30 |
| 20 | 64 | 211 | 1 | 20/2 | - | 30 |
| 2 | 20/3 | 39 | 36 | |||
| 3 | 20/4 | - | 30 | |||
| 4 | 20/5 | 25 | 25 | |||
| 5 | 20/8 | - | 30 | |||
| 6 | 20/11 | - | 30 | |||
| 7 | 20/12 | - | 30 | |||
| Total | 750 | 1050 | 750 | 1050 | ||
– when different number of seedlings from the same OP family were used on the sites, the maximum number of seedlings are highlighted.
There are some differences in the number of seedlings planted per provenance and open pollinated (OP) family between the JAM and SYC common gardens (Tab. 2). At the SYC site, 35 OP families from eight provenances were used, while at the JAM site only 25 OP families from seven provenances were used because not enough planting material from other families was available. Provenance 19 was not used at the JAM site, while provenance 20 was better represented at the SYC site. At the SYC site, provenance 19 was represented by only one family (19/4). Provenance 20 was well represented at the SYC site with 211 seedlings from 7 families, whereas this provenance was only represented by two families (20/3 and 20/5) at the JAM site. Provenance 12 was represented by only one family at both sites, while provenances 15, 17 and 18 were well represented at both sites. These provenances generally had 6 or 7 families planted at each site. Two of the six families (17/12 and 17/13) of provenance 17 were not planted at the JAM site. Provenances 6 and 9 were represented by 4 and 3 families, respectively, but families 6/10 and 9/1 were not planted at the JAM site. In general, 30 seedlings from each family were planted at each site (Tab. 2), but in some cases only 25 or even 38 seedlings were planted.
The area of the wild service tree in JAM was fenced, at the beginning, after the trial was established. The area in SYC was fenced a year after the seedlings were planted. Initially, the seedlings in SYC site were protected from the animal pressure with metal, open-work covers (Fig. 3), which turned out to be insufficient protection.

A view of the JAM (left) and SYC (right) wild service tree common gardens (Photo: Tomasz Wojda, 28–30 August 2012)
We assessed survival rate in both trials at the end of the growing season (usually in September). In each year of the following years, 2012, 2013, 2015, 2019, 2020 and 2021, the survival was scored on a binomial scale (0 for dead trees and 1 for living trees). The observed values were used to calculate the proportion of living trees in the total number of seedlings initially planted. Survival rate was analysed between sites, provenances and OP families for each year of observation.
In forest management, the choice of an appropriate planting density is crucial to ensure adequate canopy closure, resulting in trees with economically beneficial characteristics. According to Wiczanowski (2014), a spacing of 3 × 3 m is recommended when planting wild service trees in open areas (e.g. clear-cuts, former agricultural land). For the purposes of this study, a spacing of 4 × 4 m was chosen to prevent rapid canopy closure and to ensure sufficient light penetration for effective seed production.
After the first growing season, about 20% of seedlings did not survive at the SYC common garden (Fig. 4 and 5). Damages were observed on seedlings of the wild service tree, which were caused by larvae of common cockchafer (Melolontha melolontha), gnawing the plant roots. The process of damage to seedlings was intensified by animals (wild boars), which were foraging larvae of cockchafer. For this reason, the area of experimental trial was fenced. The Piaski provenance seedlings of the wild service tree were planted at SYC site, which replaced the initial seedlings of known OP families. These additional planted trees were excluded from further analysis of survival data. No other corrections of planting material were performed. However, some small trees that looked completely dead in the fall had started the vegetation process next season. Therefore, in some cases, small trees may appear in places where dead trees were observed the previous year. The greatest decrease in survival rate was observed after the first two growing seasons in both common gardens (Fig. 4 and 5). The mortality process of seedlings occurs at this time. At the end of 2021, the mortality rate in the JAM and SYC common gardens was around 20% and 25% respectively. At both sites, a relatively small number of trees died after the end of the second growing season, meaning that almost all of these trees died during the first two growing seasons. This problem is well known in forestry practice and research (Khana et al. 2016; Repáč et al. 2011; Williams and Stroupe 2002) and can be explained by planting shock effect (Pernot et al. 2019).

Survival of trees at the JAM and SYC sites in the first ten years after planting. The grey line represents the surviving trees, while the black line represents the non-surviving trees. Vertical dashed lines indicate the time points at which survival assessments were conducted

Spatial visualisation of tree survival in common garden experiments for wild service tree at the JAM and SYC sites during the first ten years after planting. Grey indicates surviving trees, while black represents non-surviving trees
The spatial distribution of dead trees is fairly even at both sites (Fig. 5), although some areas at each site have a higher concentration of dead trees. The spatial distribution of non-surviving trees and the experimental design suggest that tree mortality was generally influenced by both micro-environmental conditions (Fig. 5) and genetic factors (Fig. 6 and 7).
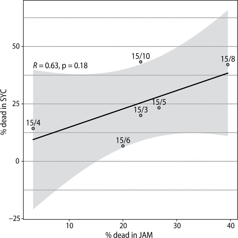
There are large differences in tree survival rates among wild service tree provenances, which is more evident at the JAM site (Fig. 6A). Provenance 18 is characterised by a rather high survival rate in both common gardens, while the survival rate in provenances 15 and 17 is much lower compared to provenance 18. The results of the survival rate for provenances for which only one OP family was tested are subject to a large error due to the high differentiation between the OP families within the provenances (Fig. 6B and 7). Both the differences between provenances and the differences between OP families did not change significantly after the second growth period (Fig. 6, Tab. 3). We also observed a strong positive Pearson correlation coefficient (r = 0.63; Fig. 7) for the survival rate of OP families from population 15 between the JAM and SYC sites. Although this correlation was not statistically significant due to the small number of OP families tested within the provenance, the trend that some OP families have a higher mortality rate at both sites is clearly evident (Fig. 7).

Survival of provenances (A) and OP families (B) at JAM and SYC sites during the first ten years after planting. Grey indicates surviving trees, while black represents non-surviving trees.

Percentage of non-surviving trees in OP families within provenance 15. The labelled dots represent the values for OP families at the JAM and SYC sites ten years after planting.
Pearson correlation coefficients for the survival of OP families between the JAM and SYC sites in different years (highlighted diagonal values) and between different years at the same site (JAM – above the diagonal and SYC – below the diagonal)
| 2012-09 | 2013-09 | 2015-09 | 2019-09 | 2020-09 | 2021-09 | |
|---|---|---|---|---|---|---|
| 2012-09 | 0.19 | 0.21 | 0.18 | 0.18 | 0.17 | 0.17 |
| 2013-09 | 0.92 | 0.50 | 0.99 | 0.99 | 0.99 | 0.99 |
| 2015-09 | 0.87 | 0.89 | 0.46 | 0.98 | 0.98 | 0.98 |
| 2019-09 | 0.85 | 0.87 | 0.98 | 0.50 | 1.00 | 1.00 |
| 2020-09 | 0.86 | 0.87 | 0.98 | 1.00 | 0.50 | 1.00 |
| 2021-09 | 0.86 | 0.87 | 0.98 | 1.00 | 1.00 | 0.50 |
The results of our investigations clearly show how difficult it is to ensure a high survival rate of seedlings in the first few years after planting. Therefore, particular attention should be paid to the significant decrease in survival rate in the first years after planting. At the end of the first growing season, a significant proportion of young trees at the SYC site did not survive (Fig. 4, 5 and 6), although the differences in survival rates between sites were minimised after the second growing season. In addition, Bednorz and Nowińska (2018) observed similar survival rates in natural Sorbus torminalis stands, suggesting that achieving significantly higher survival rates in the first years after planting may be a challenge.
Studies on the survival of Sorbus torminalis (L.) Crantz in the first ten years after planting in two common gardens showed a significant decrease in survival in the first two years after the trials were established. About 20% of the seedlings did not survive this period. Thereafter, the survival rate remained largely unchanged, and only individual trees died in each of the following years.