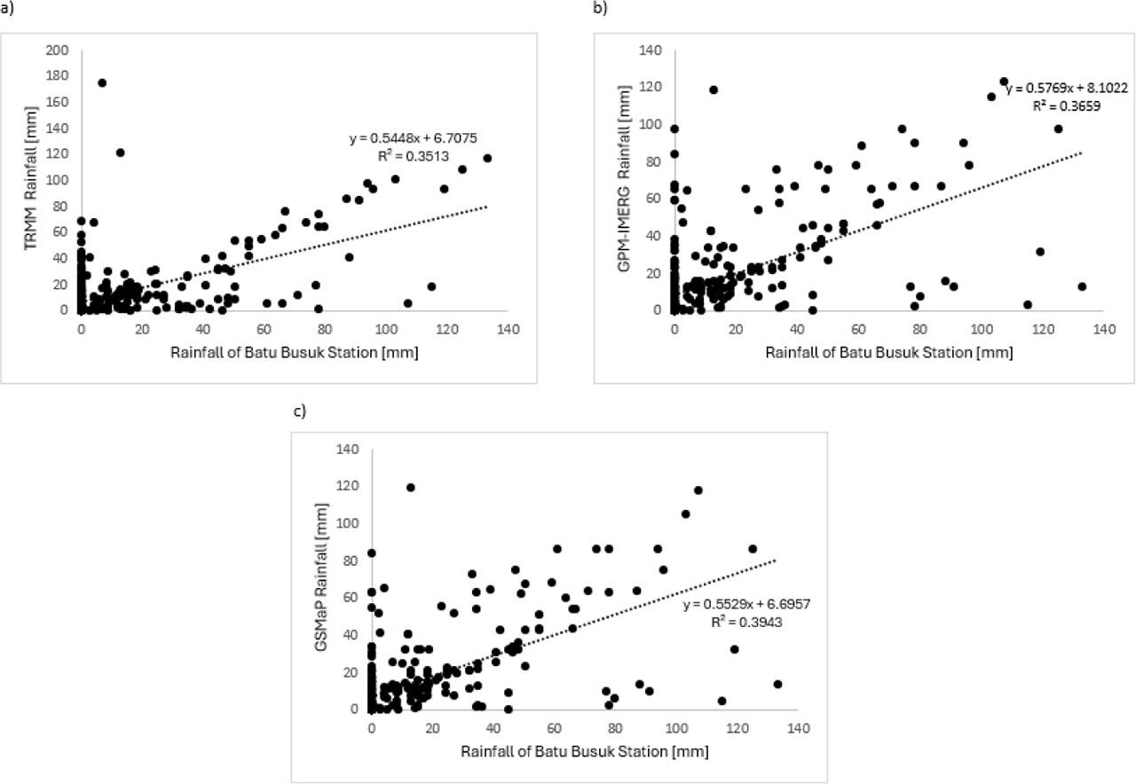
Figure 1:

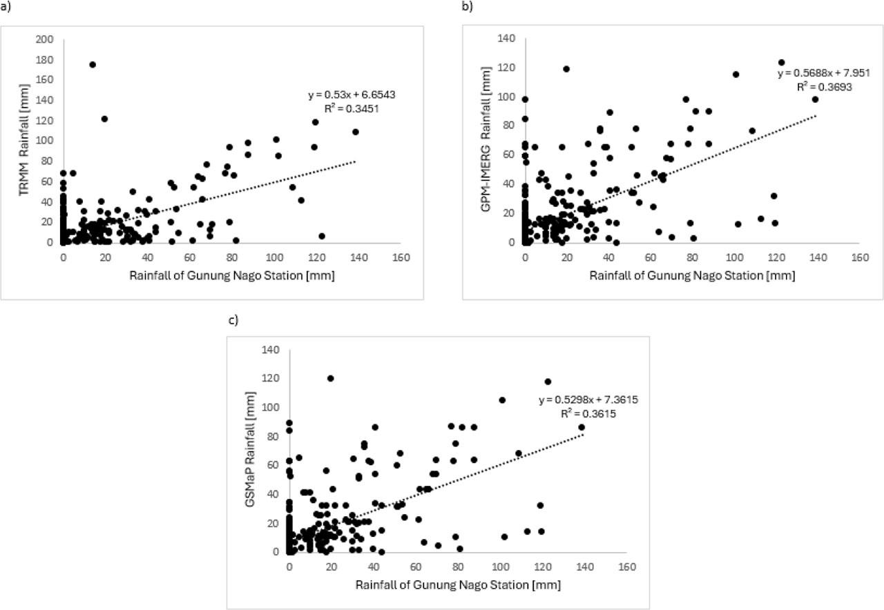
Figure 2:

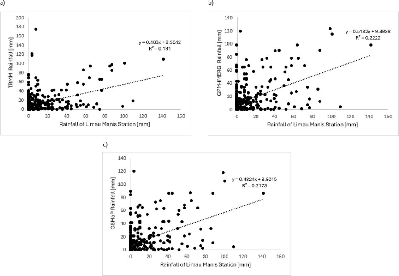
Figure 3:

Figure 4:

Performance Assessment Results of the Missing Rainfall Filling Method in 2015
| Station Analyzed | Parameter Statistics | Linear Regression Method | Regional Weighting Method | ||
|---|---|---|---|---|---|
| TRMM | GPM-IMERG | GSMaP | |||
| Batu Busuk | R [-] | 0.78 | 0.78 | 0.77 | 0.63 |
| RMSE [-] | 16.20 | 15.25 | 14.86 | 18.39 | |
| NSE [-] | 0.40 | 0.46 | 0.49 | 0.23 | |
| RB [%] | 53.89 | 42.87 | 36.61 | −0.03 | |
| Gunung Nago | R [-] | 0.63 | 0.65 | 0.64 | 0.74 |
| RMSE [-] | 19.93 | 19.04 | 18.72 | 22.23 | |
| NSE [-] | 0.20 | 0.27 | 0.29 | −0.01 | |
| RB [%] | 62.96 | 52.97 | 48.36 | −0.01 | |
| Limau Manis | R [-] | 0.77 | 0.80 | 0.75 | 0.67 |
| RMSE [-] | 13.21 | 11.98 | 11.92 | 19.04 | |
| NSE [-] | 0.35 | 0.47 | 0.47 | −0.34 | |
| RB [%] | 58.89 | 47.21 | 40.01 | 0.04 | |
Performance Assessment Results of the Missing Rainfall Filling Method in 2016
| Station Analyzed | Parameter Statistics | Linear Regression Method | Regional Weighting Method | ||
|---|---|---|---|---|---|
| TRMM | GPM-IMERG | GSMaP | |||
| Batu Busuk | R [-] | 0.84 | 0.85 | 0..83 | 0.66 |
| RMSE [-] | 19.60 | 13.27 | 15.94 | 22.83 | |
| NSE [-] | 0.38 | 0.71 | 0.59 | 0.16 | |
| RB [%] | 62.51 | 14.90 | 36.95 | 0.05 | |
| Gunung Nago | R [-] | 0.50 | 0.45 | 0.47 | 0.55 |
| RMSE [-] | 57.24 | 55.57 | 56.37 | 49.08 | |
| NSE [-] | 0.04 | 0.10 | 0.07 | 0.30 | |
| RB [%] | 75.40 | 56.40 | 65.39 | 0.04 | |
| Limau Manis | R [-] | 0.68 | 0.67 | 0.70 | 0.56 |
| RMSE [-] | 16.82 | 15.33 | 14.67 | 23.80 | |
| NSE [-] | 0.31 | 0.42 | 0.47 | −0.39 | |
| RB [%] | 50.95 | −2.25 | 19.50 | −0.05 | |
Performance Assessment Results of the Missing Rainfall Filling Method in 2014
| Station Analyzed | Parameter Statistics | Linear Regression Method | Regional Weighting Method | ||
|---|---|---|---|---|---|
| TRMM | GPM-IMERG | GSMaP | |||
| Batu Busuk | R [-] | 0.75 | 0.76 | 0.75 | 0.93 |
| RMSE [-] | 16.94 | 16.17 | 16.77 | 8.89 | |
| NSE [-] | 0.50 | 0.54 | 0.51 | 0.86 | |
| RB [%] | 40.16 | 24.47 | 32.52 | 0.01 | |
| Gunung Nago | R [-] | 0.74 | 0.76 | 0.76 | 0.92 |
| RMSE [-] | 17.57 | 16.61 | 17.27 | 9.90 | |
| NSE [-] | 0.48 | 0.54 | 0.50 | 0.84 | |
| RB [%] | 43.54 | 27.77 | 36.04 | −0.03 | |
| Limau Manis | R [-] | 0.62 | 0.65 | 0.66 | 0.78 |
| RMSE [-] | 16.53 | 15.76 | 15.80 | 13.72 | |
| NSE [-] | 0.37 | 0.43 | 0.42 | 0.57 | |
| RB [%] | 25.49 | 9.32 | 20.12 | 0.02 | |
Recapitulation of Linear Regression Equations in Estimating Missing Rainfall Data in 2015
| Observation Station | Satellite data | Linear Regression Equation | R2 [-] |
|---|---|---|---|
| Batu Busuk | TRMM | y = 0.4335x + 5.6047 | 0.3089 |
| GPM-IMERG | y = 0.4357x + 7.8819 | 0.2985 | |
| GSMaP | y = 0.4505x + 8.6002 | 0.2961 | |
| Gunung Nago | TRMM | y = 0.206x + 7.8342 | 0.0788 |
| GPM-IMERG | y = 0.2304x + 9.9243 | 0.0944 | |
| GSMaP | y = 0.2411x + 10.688 | 0.0959 | |
| Limau Manis | TRMM | y = 0.2778x + 7.6487 | 0.0784 |
| GPM-IMERG | y = 0.3133x + 9.6995 | 0.0954 | |
| GSMaP | y = 0.3262x + 10.464 | 0.0960 |
Recapitulation of Linear Regression Equations in Estimating Missing Rainfall Data in 2016
| Observation Station | Satellite data | Linear Regression Equation | R2 [-] |
|---|---|---|---|
| Batu Busuk | TRMM | y = 0.4595x + 4.6877 | 0.4659 |
| GPM-IMERG | y = 0.7002x + 7.8673 | 0.5021 | |
| GSMaP | y = 0.5752x + 6.8665 | 0.4637 | |
| Gunung Nago | TRMM | y = 0.141x + 8.1554 | 0.2421 |
| GPM-IMERG | y = 0.1679x + 13.905 | 0.1592 | |
| GSMaP | y = 0.1456x + 11.703 | 0.1639 | |
| Limau Manis | TRMM | y = 0.3968x + 5.9521 | 0.2292 |
| GPM-IMERG | y = 0.5874x + 9.9886 | 0.2331 | |
| GSMaP | y = 0.5334x + 8.0376 | 0.2630 |
