Figure 1:

Figure 2:

Figure 3:

Figure 4:

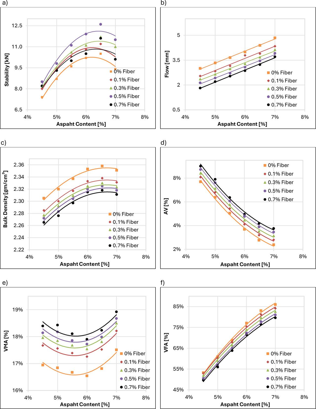
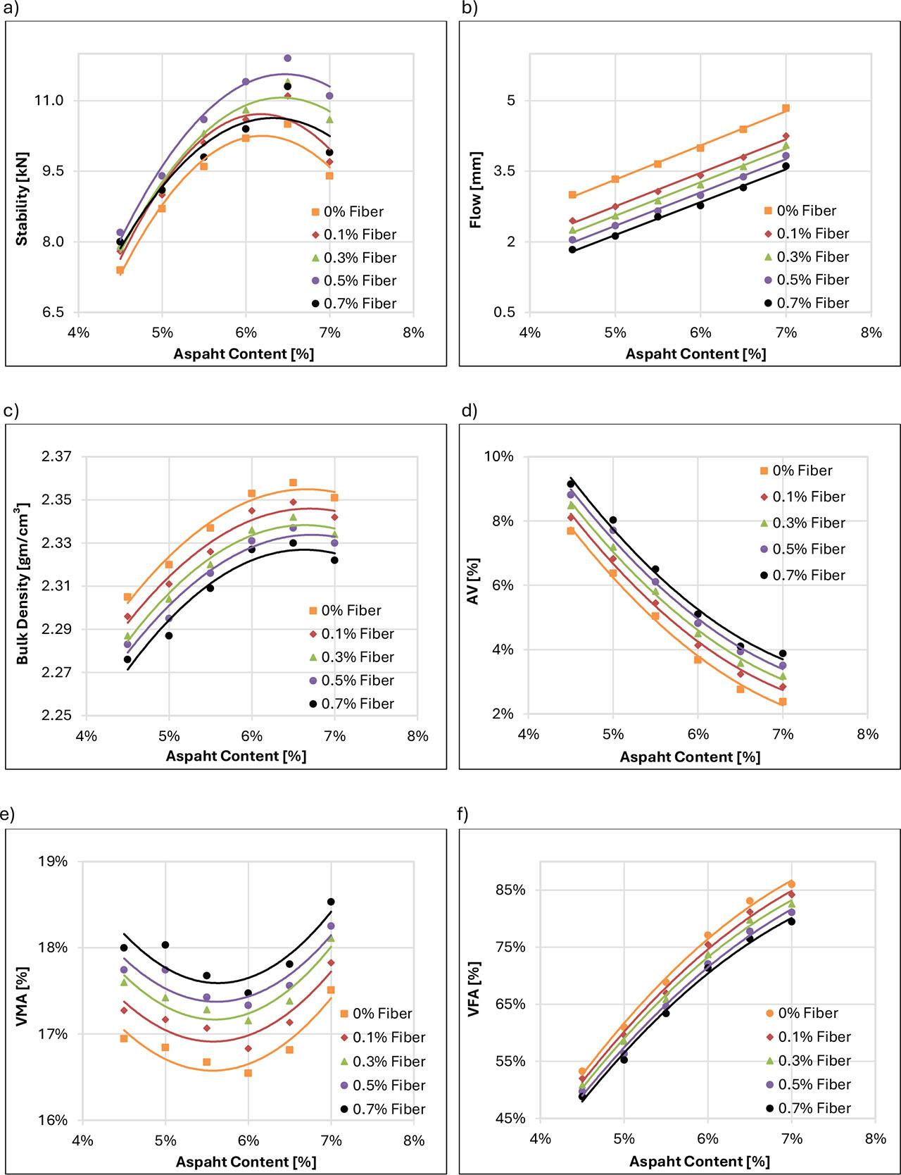
Figure 5:

Figure 6:

Figure 7:

Figure 8:

Figure 9:

Figure 10:

Figure 11:

Figure 12:

Figure 13:

Figure 14:

Figure 15:

Figure 16:

Figure 17:

Figure 18:

Figure 19:

Figure 20:

Physical Characteristics of Coarse Aggregate
| Test | ASTM Designation No. | Results | SCRB Specification |
|---|---|---|---|
| Los Angeles Abrasion, [%] | (C131, 2014) | 16.3 | 30 Max. |
| Flat and Elongated, [%] | (D4791, 2023) | 1.8 | …… |
| Absorption, [%] | (C127, 2015) | 0.562 | …… |
| Soundness, [%] | (C88, 2013) | 3.87 | …… |
| Bulk Specific Gravity | (C127, 2015) | 2.611 | …… |
Physical Characteristics of Fine Aggregate
| Test | ASTM Designation No. | Results |
|---|---|---|
| Liquid Limit, [%] | (D4318, 2017) | 6.4 |
| Soundness, [%] | (C88, 2013) | 1.94 |
| Absorption, [%] | (C128, 2015) | 0.724 |
| Bulk specific gravity | (C128, 2015) | 2.651 |
Characteristics of WJF
| Property | Unit | Jute fiber |
|---|---|---|
| Density | [g/cm3] | 1.41 |
| Diameter | [mm] | 1 |
| Yield Force | [N] | 41.5 |
| Elong at Yield | [%] | 4.95 |
| Tensile Strength | [MPa] | 52.8 |
| Max. Force | [N] | 41.5 |
| Elong at Max. | [%] | 4.95 |
| Elongation | [%] | 19.67 |
The mechanical and volumetric properties of the three trial aggregate gradations for SMA_
| Property | Trial 1 (fine gradation) | Trial 2 (mid-gradation) | Trial 3 (coarse gradation) | Requirement AASHTO M 325) |
|---|---|---|---|---|
| Optimum asphalt content% | 6.18 | 6.24 | 6.33 | 6% min |
| Stability [kN] | 10.4 | 11.42 | 9.48 | - |
| Flow [mm] | 3.34 | 3.51 | 3.63 | - |
| Bulk density [g/cm3] | 2.346 | 2.327 | 2.296 | - |
| Max. specific gravity | 2.444 | 2.424 | 2.391 | - |
| Air voids [%] | 4% | 4% | 4% | 4% |
| VMA [%] | 16.44 | 17.18 | 18.36 | 17% min |
| VFA[%] | 75.60 | 76.64 | 78.14 | |
| VCAMIX [%] | 35.1 | 36.44 | 38.36 | <VCADRC |
| VCADRC [%] | 40.53 | 41.84 | 42.37 | - |
Regression Coefficients of build-up model (30% of dataset)
| Model N=14 | Standardized Coefficients | t [-] | P- value [-] | R Square [-] | Skewness [-] | Kurtosis [-] |
|---|---|---|---|---|---|---|
| Beta [-] | ||||||
| (Constant) | 75.322 | 0.000 | 0.918 | −0.209 | −1.262 | |
| length | −0.372 | −4.256 | 0.001 | |||
| WT.FI | 0.829 | 9.501 | 0.000 |
Table 10: ANOVA test for validity model (100% of dataset)
| ANOVA | |||||
|---|---|---|---|---|---|
| Model | Sum of Squares [-] | df [-] | Mean Square [-] | F [-] | P- value [-] |
| Regression | 0.172 | 2 | 0.086 | 176.599 | 0.000 |
| Residual | 0.020 | 42 | 0.000 | ||
| Total | 0.192 | 44 | |||
Optimum asphalt content for each mixture
| Length | 5 [mm] | 10 [mm] | 15 [mm] |
|---|---|---|---|
| Dosage | |||
| 0 [%] | 5.90% | ||
| 0.10 [%] | 6.09% | 6.12% | 6.13% |
| 0.30 [%] | 6.25% | 6.30% | 6.33% |
| 0.50 [%] | 6.45% | 6.51% | 6.54% |
| 0.70 [%] | 6.64% | 6.70% | 6.75% |
ANOVA test for building the model (70% of the dataset)
| ANOVA | |||||
|---|---|---|---|---|---|
| Model | Sum of Squares [-] | df [-] | Mean Square [-] | F [-] | P- value [-] |
| Regression | 0.115 | 2 | 0.058 | 116.777 | 0.000 |
| Residual | 0.014 | 28 | 0.000 | ||
| Total | 0.129 | 30 | |||
Regression Coefficients of build-up model (100% of dataset)
| Model N=45 | Standardized Coefficients | t [-] | P-value [-] | R Square [-] | Skewness [-] | Kurtosis [-] |
|---|---|---|---|---|---|---|
| Beta [-] | ||||||
| (Constant) | 140.822 | 0.000 | 0.894 | −0.237 | −1.117 | |
| length | −0.453 | −8.996 | 0.000 | |||
| WT.FI | 0.830 | 16.501 | 0.000 |
Regression Coefficients of build-up model (70% of the dataset)
| Model N=14 | Standardized Coefficients | T [-] | P- value [-] | R Square [-] | Skewness [-] | Kurtosis [-] |
|---|---|---|---|---|---|---|
| Beta [-] | ||||||
| (Constant) | 114.937 | 0.000 | 0.893 | −0.203 | −1.074 | |
| length | −0.454 | −7.342 | 0.000 | |||
| WT.FI | 0.827 | 13.381 | 0.000 |
ANOVA test for validity model (30% of dataset)
| ANOVA | |||||
|---|---|---|---|---|---|
| Model | Sum of Squares [-] | df [-] | Mean Square [-] | F [-] | P- value [-] |
| Regression | 0.059 | 2 | 0.029 | 61.621 | 0.000 |
| Residual | 0.005 | 11 | 0.000 | ||
| Total | 0.064 | 13 | |||
Physical Characteristics of Asphalt Cement
| Test | Unit | ASTM | Result | SCRB |
|---|---|---|---|---|
| Penetration (25°C, 100 g, 5 sec) | 0.1 mm | D5 | 44 | 40–50 |
| Softening Point (Ring & Ball) | °C | D36 | 54 | …… |
| Specific Gravity @ 25°C | …… | D70 | 1.04 | …… |
| Ductility (25°C, 5 cm/min) | cm | D113 | 119 | >100 |
| Flash Point (Clevel and Open Cup) | °C | D92 | 314 | >232 |
| Kinematics viscosity, at 135°C | cSt | D2170 | 453 | ≥400 |
| Residue from Thin-Film-Oven-Test, D1754 | ||||
| Retained Penetration (% of original) | % | D5 | 80 | ˃ 55 |
| Ductility (25°C, 5 cm/min) | cm | D113 | 69 | ˃ 25 |
