Figure 1.

Figure 2.

Figure 3.

Figure 4.

Figure 5.

Figure 6.

Figure 7.

Figure 8.

The coefficients of model (Eq_ 14) used in the calculations
| Coefficient | Value |
|---|---|
| a0 | 1.22499986 |
| a1 | −1.17606554 × 10−4 |
| a2 | 4.32023892 × 10−9 |
| a3 | −7.34343434 × 10−14 |
| a4 | 5.18648018 × 10−19 |
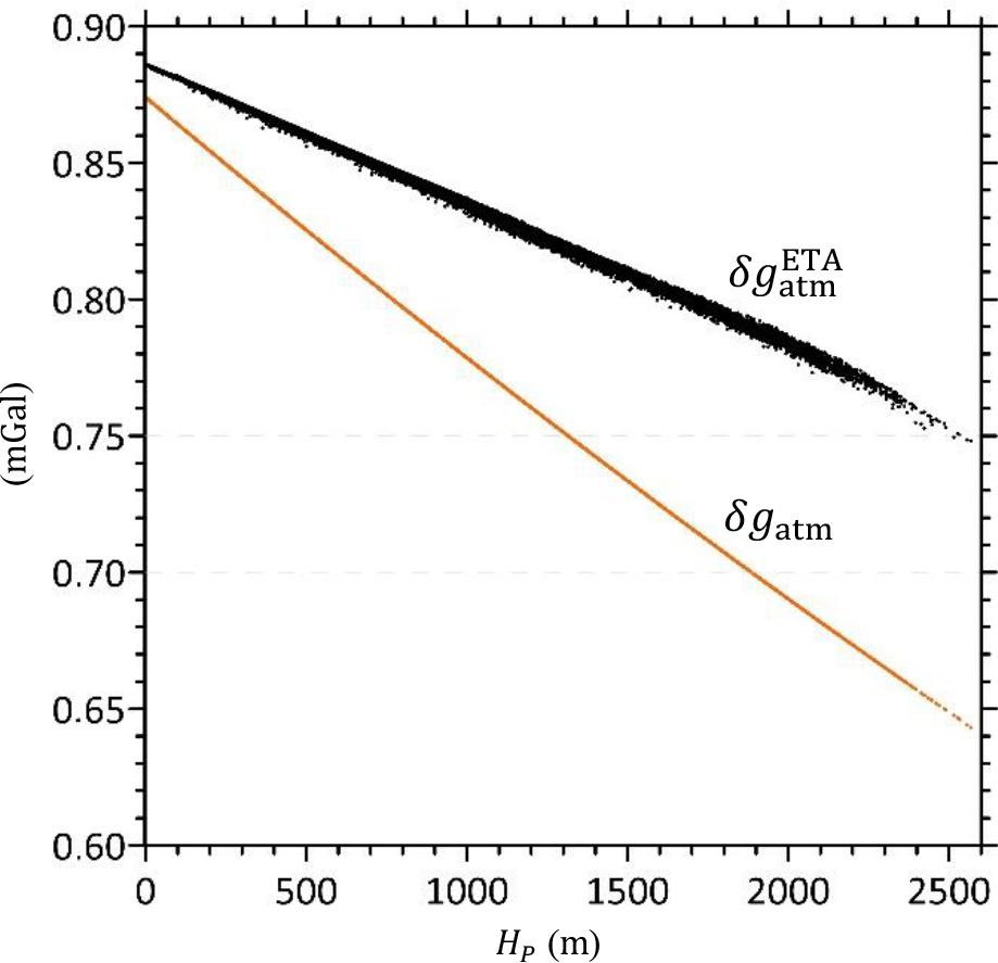
The statistics of the δgatm and δgatmETA \delta g_{{\rm{atm}}}^{{\rm{ETA}}} corrections as well as the differences, Δδgatm (mGal)
| min | max | max − min | mean | st dev | |
|---|---|---|---|---|---|
| δgatm | 0.643 | 0.875 | 0.232 | 0.833 | 0.039 |
|
| 0.748 | 0.886 | 0.138 | 0.865 | 0.021 |
| Δδgatm | −0.105 | −0.011 | 0.094 | −0.032 | 0.018 |
The statistics of the determined components of atmospheric gravity correction (mGal)
| min | max | mean | st dev | ||
|---|---|---|---|---|---|
| gTA | 0.012 | 0.108 | 0.033 | 0.019 | |
| gSA | 0.000 | 0.233 | 0.042 | 0.040 | |
| gETA | −0.012 | 0.125 | 0.009 | 0.021 | |