The stellate sturgeon (Acipenser stellatus) shows significant promise in the field of aquaculture. The culture of sturgeons has recently advanced into a flourishing industry due to the high value associated with caviar and meat. The practice of intensive culture subjects the fish to various stressors, such as high stock densities and manipulations. It is crucial to develop techniques that can enhance the fish’s immune system and prevent infectious diseases (Pourgholam et al., 2016). The World Health Organization (WHO) recommends fish farmers and the aquatic animal industry members to stop using antibiotics and chemical disinfectants, as a type of traditional way routinely used to control disease outbreaks and pathogen infections, due to their negative impacts including the blowout of drug resistant microbes, conquest of aquatic animal’s immune system, and environmental pollution (Abid et al., 2013). In sturgeon farming, new alternatives such as immunostimulants is becoming important to improve the immune system and performance. Medical plant extracts are suggested as great sources of bioactive compounds as natural immunostimulants in aquaculture and they reveal board effects, excellent biodegradation ability, and few harmful side effects (Yousefi et al., 2019; Hoseini and Yousefi, 2019; Elumalai et al., 2020; Joibari et al., 2025). Chlorogenic acid (CGA) is defined as a phenolic acid and widely reported in natural plants such as chrysanthemum, and sunflower (Yang et al., 2021; Bakhtiari et al., 2024). Several studies have defined CGA as a phenolic acid having biological activities, including antioxidant, antibacterial, anti-inflammation, antiglycation, and immune stimulation (Bin Li et al., 2023; Shang et al., 2024), which provide potential to improve animal health (Zhang et al., 2018). CGA has been used as a feed supplement to enhance the growth performance and the immune response in large animals and poultry farming (Cejas et al., 2021; Ma et al., 2023; Xu et al., 2012). In aquaculture, the dietary effects of CGA are investigated on growth performance, and lipid metabolism (Li et al., 2014; Liu et al., 2022; Naveed et al., 2018), but little information is available on the use of CGA to stimulate immune system to control disease resistance, pathogen infections, and health status of fish (Xu et al., 2022; Zhang et al., 2023). To date there are no reports about the effect of CGA on stellate sturgeon performance and health. So, the present study addressed the dietary effect of CGA on growth performance, hematology factors, digestive capacity, antioxidant activity, and immune factors of stellate sturgeon.
A control diet was used as a basal diet (Table 1), and it was formulated according to Ahmadifar et al. (2022 a). CGA (purity ≥95%, Sigma-Aldrich, Germany) was added to the basal diet with varying levels of 0 mg CGA/kg feed (T0), 400 mg CGA/kg feed (T1), and 600 mg CGA/kg feed (T2). The CGA doses were selected based on a previous study (Xu et al., 2022). The CGA levels were well-mixed with dry ingredients to achieve a state of homogeneity for 30 min during which the liquid ingredients were put slowly to the mixture. The prepared diets were extruded and the experimental feeds were broken down to 8 mm in diameter. The feeds were thereafter spread out on individual trays and dried at room temperature for 24 hours. The experimental diets were subsequently packaged and stored at −20°C until further use, while the daily diets used were maintained at −4°C.
Dietary formulation and proximate composition (% on dry matter basis) of the experimental diets containing different levels of chlorogenic acid (CGA)
| Ingredients (%) | T0 (0.0) | T1 (0.4) | T2 (0.6) |
|---|---|---|---|
| Kilka fish meal (60.6% protein) | 48 | 48 | 48 |
| Soybean meal (44.2% protein) | 23 | 23 | 23 |
| Wheat flour | 7 | 7 | 7 |
| Corn flour | 10 | 10 | 10 |
| Fish oil | 4 | 4 | 4 |
| Soy lecithin | 1 | 1 | 1 |
| Cellulosea | 3 | 2.6 | 2.4 |
| CGA | 0 | 0.4 | 0.6 |
| Vitamin premixb | 2 | 2 | 2 |
| Mineral premixc | 2 | 2 | 2 |
| Total | 100 | 100 | 100 |
| Chemical composition | |||
| dry matter (%) | 89.71 | 90.11 | 89.54 |
| crude protein (%) | 40.61 | 40.31 | 40.56 |
| crude lipid (%) | 16.77 | 16.56 | 16.73 |
| ash (%) | 7.78 | 7.82 | 7.73 |
| nitrogen-free extract (%)d | 34.84 | 35.31 | 34.98 |
| gross energy (Kcal/100 g)e | 531.959 | 530.202 | 531.872 |
Produced in Merck Company, Germany.
Vitamins mixtures (IU or mg kg−1 diet): DL-alpha tocopherol acetate, 60 IU; DL-cholecalciferol, 3000 IU; thiamin, 15 mg; riboflavin, 30 mg; pyridoxine, 15 mg; B12, 0.05 mg; nicotinic acid, 175 mg; folic acid, 5 mg; ascorbic acid, 500 mg; inositol, 1000 mg; biotin, 2.5 mg; calcium pantothenate, 50 mg; choline chloride, 2000 mg.
Minerals mixture (g or mg kg−1 diet): calcium carbonate (40% Ca), 2.15 g; magnesium oxide (60% Mg), 1.24 g; ferric citrate, 0.2 g; potassium iodide (75% I), 0.4 mg; zinc sulfate (36% Zn), 0.4 g; copper sulfate (25% Cu), 0.3 g; manganese sulfate (33% Mn), 0.3 g; dibasic calcium phosphate (20% Ca, 18% p), 5 g; cobalt sulfate, 2 mg; sodium selenite (30% Se), 3 mg; KCl, 0.9 g; NaCl, 0.4 g.
Nitrogen-free extract (%) = 100 % − (% total lipids + % crude protein + % ash).
Gross energy = 5.7 × g protein + 9.4 × g lipids + 4.1 × (g NFE).
The study was organized at a private sturgeon farm (Amol, Iran). A total of 90 stellate sturgeon with an initial weight of 600.98±14.68 g was selected, stocked into nine 1,500-L tanks, and adapted to the experimental condition for two weeks during which fish were fed on the basal diet thrice a day up to apparent satiety. After adaptation, the fish (10 fish/tank) were allocated to three experimental treatments with three replicates per dietary treatment and fed on the experimental diets to apparent satiation three times a day (8:00; 13:00; 16:00 h) for 45 days. The water system was a fixed aerated system and 50% of the water was exchanged daily. During the feeding trial, the water quality parameters were consistently monitored (temperature 17±0.6°C, dissolved oxygen 10.5±0.8 mg/L, pH 8±0.5, and photoperiod 12D:12L). After 45 days, feeding was stopped for 24 h and thereafter the fish were anesthetized with 400-ppm clove powder extract (Ahmadifar et al., 2022 a), and individual fish weights of each tank were recorded.
After 45 days, two fish (per tank), six fish per treatment, were randomly selected, and they were anesthetized by 400 ppm clove powder extract (Ahmadifar et al., 2022 a). Blood samples were obtained through venipuncture of the caudal vein using a sterile 5-ml syringe and transferred into both heparinized and non-heparinized tubes. The non-heparinized blood was then centrifuged (1,600 × g for 10 minutes) to separate the serum, which was collected as the supernatant and stored at −70°C for future analysis. After blood sampling, the intestines were separated then moved to the tubes and frozen in liquid nitrogen until it was kept at −80°C.
The intestinal contents of the two fish per tank (six fish per treatment) were meticulously subjected to an extensive rinsing procedure employing phosphate-buffered saline (PBS) and were subsequently homogenized within a Tris-HCl buffer solution. The resultant suspension was subjected to centrifugation (5000 g at 4°C for ten minutes). After centrifugation procedure, the supernatants obtained were utilized for the quantification of digestive enzymes activity. The quantification of trypsin and chymotrypsin was accomplished through the application of ELISA kits. The assessment of alpha-amylase activity was conducted in accordance with the methodology established by Bernfeld (Bernfeld, 1955). The evaluation of lipase activity was performed utilizing the protocol delineated by Bülow and Mosbach (Bülow and Mosbach, 1987). The reaction mixture consisted of Tris-HCl buffer, p-nitrophenyl butyrate, and the homogenate derived from fish tissues. The hydrolysis rate of p-nitrophenyl butyrate was monitored at a wavelength of 405 nm over a period of five minutes, with data collection occurring at thirty-second intervals. The quantification of proteases activity was executed following the method previously detailed by Worthington (1991).
Red blood cells (RBC) and white blood cells (WBC) were enumerated utilizing a hemocytometer designed for cellular counts. The cyanmethemoglobin methodology was conducted to ascertain hemoglobin (Hb). The evaluation of hematocrit (Hct) percentage was executed using micro hematocrit capillary tubes (Blaxhall and Daisley, 1973). A differential leukocyte count was conducted by utilizing a blood smear that had undergone staining with the Wright-Giemsa technique. Mean corpuscular volume (MCV), mean corpuscular hemoglobin concentration (MCHC), and mean corpuscular hemoglobin (MCH) were calculated based on the total RBC count, Hb concentration, and Hct (Blaxhall and Daisley, 1973).
Aspartate aminotransferase (AST), alanine aminotransferase (ALT) activities, alkaline phosphatase (ALP), acid phosphatase (ACP), creatine phosphokinase (CPK), lactate dehydrogenase (LDH), total protein, and albumin were quantified utilizing assay kits in accordance with the producer’s protocols (Pars Azmon, Alborz, Iran).
Total immunoglobulin (total Ig) levels were determined using the polyethylene glycol precipitation method for immunoglobulins, along with the calculation of initial and final total protein, following the guidelines set by Siwicki and Anderson (1993). The activity of lysozyme (LYZ) was measured using the approach described by Ellis (1990). The serum alternative complement (ACH50) activity was assessed according to the procedure outlined by Yano et al. (1988), which utilized rabbit red blood cells (RaRBC) as the target. Additionally, immunoglobulin M (IgM), glutathione peroxidase (GPx), superoxide dismutase (SOD), catalase (CAT), and malondialdehyde (MDA) levels were analyzed using diagnostic reagent kits (ZellBio, Germany), as referenced by Armobin et al. (2023).
This study utilized a randomized design with three replications (n = 3) for all analyses. Data were analyzed using one-way ANOVA, followed by Tukey’s post-hoc tests to compare means across treatments. Before conducting the analysis, the normality and homogeneity of variance of the data were evaluated with the Shapiro-Wilk test and Levene’s test, respectively. Statistical analyses were carried out using SPSS software version 23, and a significance level of P<0.05 was considered statistically significant.
Compared to the control group (T0), dietary levels of CGA showed significant (P<0.05) increases in the growth performance indices of stellate sturgeon (Table 2). The highest FW, WG, and SGR values were observed by feeding the fish on the T1 and T2 diet with no significant (P>0.05) difference between them (Table 2).
Growth performance of stellate sturgeon (Acipenser stellatus) fed with different levels of chlorogenic acid (CGA) for 45 days
| Initial weight (g) | Final weight (g) | Weight gain (g) | SGR (%/day) | FI (g feed/fish) | FCR | Survival rate (%) | |
|---|---|---|---|---|---|---|---|
| T0 | 603.47±14.52 | 769.52±15.46 b | 166.05±14.25 b | 0.44±0.04 b | 86.6±5.7 | 5.29±0.49 a | 100 |
| T1 | 601.61±15.27 | 825.01±16.03 ab | 223.40±18.46 ab | 0.56±0.05 ab | 91.17±1.22 | 4.09±0.36 ab | 100 |
| T2 | 597.86±14.25 | 863.93±12.82 a | 266.08±13.66 a | 0.66±0.04 a | 91.10±1.26 | 3.40±0.17 b | 100 |
&remove;T0, T1, and T2 = 0.0 (the control), 400, and 600 mg CGA/kg feed, respectively.
&remove;Different letters in the same column designate significant differences as determined by Tukey’s post-hoc tests (mean ± SE).
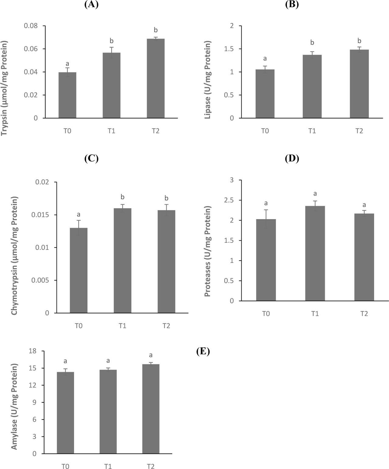
A significant (P<0.05) difference was noted among the various treatments regarding trypsin (Figure 1 A), lipase (Figure 1 B), and chymotrypsin (Figure 1 C) activities. The highest values of those enzymes were observed by feeding the fish on the T1 and T2 diets, but no significant (P>0.05) difference was revealed between them. No notable impact was noted in proteases (Figure 1 D) and alpha-amylase activities (Figure 1 E) between the treatments.

Trypsin (A), lipase (B), chymotrypsin (C), proteases activity (D), and alpha-amylase activity (E) of stellate sturgeon (Acipenser stellatus) fed with 0 (T0), 400 (T1), and 600 (T2) mg CGA/kg feed for 45 days. Different letters designate significant differences as determined by Tukey’s post-hoc tests (mean ± SE)
No significant (P<0.05) differences between the dietary treatments were observed in hematological factors, except for WBC count and lymphocytes, which showed high values at T1 and T2 with no significant (P>0.05) differences between them (Table 3).
Hematological parameters of stellate sturgeon (Acipenser stellatus) fed with different levels of chlorogenic acid (CGA) for 45 days
| T0 | T1 | T2 | |
|---|---|---|---|
| Hematocrit (%) | 25.67±1.76 a | 27.00±1.53 a | 26.33±1.33 a |
| Hemoglobin (g/dL) | 3.17±0.27 a | 3.33±0.26 a | 3.33±0.19 a |
| RBCs (×106 cells/μL) | 0.95±0.03 a | 0.97±0.03 a | 0.97±0.06 a |
| WBCs (×103 cells/μL) | 4700.00±208.17 a | 5600.00±173.21 b | 5866.67±218.58 b |
| Lymphocytes (%) | 77.67±1.45 a | 86.67±2.19 b | 84.67±1.67 ab |
| Neutrophils (%) | 14.33±0.67 a | 9.00±2.08 a | 10.33±1.76 a |
| Monocytes (%) | 2.00±0.58 a | 1.33±0.33 a | 1.67±0.88 a |
| Eosinophils (%) | 6.00±1.00 a | 3.00±0.58 a | 3.33±1.33 a |
| MCV (fL) | 268.63±11.11 a | 278.93±24.69 a | 274.97±25.17 a |
| MCH (pg) | 33.07±2.03 a | 34.37±2.27 a | 34.40±0.25 a |
| MCHC (g/dL) | 12.30±0.26 a | 12.53±1.43 a | 12.70±1.15 a |
&remove;T0, T1, and T2 = 0.0 (the control), 400, and 600 mg CGA/kg feed, respectively.
&remove;Different letters in the same column designate significant differences as determined by Tukey’s post-hoc tests (mean ± SE).
&remove;RBC: red blood cells, WBC: white blood cells, MCV: mean corpuscular volume, MCH: mean corpuscular hemoglobin, MCHC: mean corpuscular hemoglobin concentration.
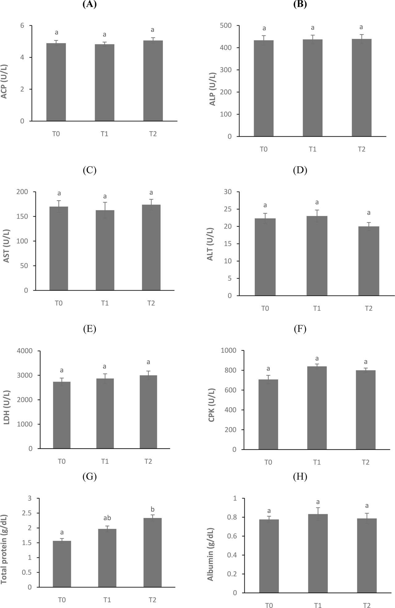
The levels of ACP (Figure 2 A), ALP (Figure 2 B), AST (Figure 2 C), ALT (Figure 2 D), LDH (Figure 2 E), and CPK (Figure 2 F) did not reveal significant (P>0.05) differences among the CGA-fed fish groups. Compared to the control fish (T0), total protein levels (Figure 2 G) levels were noticeably higher (P<0.05) in fish fed with T1 and T2 (400 and 600 mg CGA/kg feed, respectively) with no significant (P>0.05) difference between them, while albumin (Figure 2 H) values had no significant (P>0.05) changes among different CGA treatments.

Acid phosphatase (ACP, A), alkaline phosphatase (ALP, B), aspartate aminotransferase (AST, C), alanine aminotransferase (ALT, D), lactate dehydrogenase (LDH, E), creatine phosphokinase (CPK; F), total protein (G), and albumin (H) of stellate sturgeon (Acipenser stellatus) fed with 0 (T0), 400 (T1), and 600 (T2) mg CGA/kg feed for 45 days. Different letters designate significant differences as determined by Tukey’s post-hoc tests (mean ± SE)
Total Ig (Figure 3 A), IgM (Figure 3 B), ACH50 (Figure 3 C), and lysozyme activity (Figure 3 D) exhibited significant (P<0.05) increases in fish fed with 400 and 600 mg CGA/kg feed with no significant (P>0.05) differences between them. Their highest values were observed at T2, after which there was no significant difference compared to T1.

Total immunoglobulin (total Ig; A), IgM (B), ACH50 (C), and lysozyme activity (D) of stellate sturgeon (Acipenser stellatus) fed with 0 (T0), 400 (T1), and 600 (T2) mg CGA/kg feed for 45 days. Different letters designate significant differences as determined by Tukey’s post-hoc tests (Mean ± SE)
The levels of serum CAT and GPx were significantly (P<0.05) elevated in fish fed with 400 and 600 mg CGA/kg feed compared to the control group (Figure 4 A–B), while fish fed on 600 CGA/kg feed exhibited the highest SOD value (Figure 4 C). However, MDA levels were highest (P<0.05) in the control group (T0) compared to CGA-fed fish group; there was no significant (P>0.05) difference between T1 and T2 (Figure 4 D).

Catalase (CAT, A), glutathione peroxidase (GPx, B), superoxide dismutase (SOD, C), and malondialdehyde (MDA, D) of stellate sturgeon (Acipenser stellatus) fed with 0 (T0), 400 (T1), and 600 (T2) mg CGA/kg feed for 45 days. Different letters designate significant differences as determined by Tukey’s post-hoc tests (mean ± SE)
During the last decades several alternatives to antibiotics, such as probiotics, prebiotics, polyphenols, and phytogenics to enhance the fish growth performance, immune response and antioxidant capacity have been suggested (Abdel-Tawwab and Abbass, 2017; Habibnia et al., 2024; Joibari et al., 2025). The present study revealed that dietary CGA displayed the highest FBW, SGR and the best FCR values compared to fish fed on the control diet, but the best effect was noticed by feeding the fish on 400 mg CGA/kg feed. The positive effects of CGA on growth and feed efficiency could be attributed to different mechanisms: the role of CGA to stimulate fish appetite and subsequently the feed consumption (Harikrishnan et al., 2011), and the dietary CGA increases of the density and height of the intestinal villi, which consequently enhance nutrients digestion and assimilation as reported by Jin et al. (2023). Furthermore, the inclusion of CGA in fish diets may increase the expression of genes related to nutrients metabolism and digestion as lipid in the liver (Harikrishnan et al., 2011), and modify and improve the beneficial bacterial community in the intestine via boosting the growth of beneficial bacteria and prohibiting the adherence and colonization of pathogen bacteria (Jin et al., 2023), and boost the intestinal alpha-amylase and lipase activities, which will contribute to the nutrients digestion (Harikrishnan et al., 2011).
The present results are consistent with Bakhtiari et al. (2024) who reported that the inclusion of CGA alone or in combination with Lactobacillus helveticus can improve the growth of common carp (Cyprinus carpio). In contrast, the findings of this study differ from those reported by Sun et al. (2017), who found that feeding grass carp (Ctenopharyngodon idella) with 200–800 mg CGA/kg feed did not significantly affect their growth. Additionally, the inclusion of CGA did not show any significant impact on the growth performance of white shrimp (Litopenaeus vannamei), as noted by Wang et al. (2015). The discrepancy between current results and previous researches could be related to the dose, sources, and forms of CGA, lab condition, different feeding periods among others (Reverter et al., 2014).
Digestive enzymes play a major impact on feed digestion and nutrients utilization that lead to marked enhancements in the fish growth and development (Jin et al., 2023). The present study revealed that inclusion of CGA in diets improved the digestive enzymes activities. These results are consistent with Jin et al. (2023) who reported that crucian carp (Carassius auratus) fed on diets supplemented with 200 mg CGA/kg feed for 60 days improved intestinal lipase and alpha-amylase activities vs. the control diet. Similarly, Ghafarifarsani et al. (2023) reported that dietary CGA can improve the digestive enzymes activity in rainbow trout (Oncorhynchus mykiss). Overall, the impact of dietary CGA supplementation on digestive enzymes has not been extensively researched. It is known that CGA lowers the buildup of toxic bile acids in hepatocytes by downregulating the transporters responsible for uptake and bile acid synthesis, while simultaneously upregulating the transporters that facilitate efflux and the enzymes that conjugate bilirubin (Ghafarifarsani et al., 2023).
Strengthening the immune system is of importance in aquaculture to control disease outbreaks and pathogens infection (Ahmadifar et al., 2022 a). The present study revealed that total Ig, IgM, ACH50, and lysozyme activity notably increased in fish fed on diets supplemented with CGA vs. the control group. The greatest values were shown in fish fed on diets supplemented with 400 mg CGA/kg feed. These results are consistent with Yin et al. (2021) who reported that inclusion of CGA in diets for largemouth bass (Micropterus salmoides) improved their immunity and health status (Yin et al., 2021). The present results could be attributed to the following mechanisms; i) CGA enhances the activity of non-specific immune enzymes in the intestinal and liver tissues and boosts the antioxidant capacity of the intestinal, muscle, and liver tissues, ultimately improving the overall health status and growth performance of the fish (Harikrishnan et al., 2011), ii) CGA stimulates the fish appetite leading to better performance in overall health (Harikrishnan et al., 2011), iii) CGA adjusts the community of beneficial gut microflora that give the majority to Erysipelotrichaceae that boost the immunity by stimulating the TLR4 pathway that is involved in innate immune defense (Harris et al., 2014; Qi et al., 2017). Increasing the immune parameters in fish benefits both the fish and farmers by enhancing disease resistance, resulting in higher survival rates and reduced mortality. Healthier fish experience improved growth performance, allowing for faster production cycles. Additionally, stronger immunity decreases the reliance on antibiotics, reducing treatment costs and the risk of antibiotic resistance (Ahani et al., 2025; Yousefi et al., 2025; Hoseini et al., 2025 b).
Increasing the levels of free radical content lead to lipid peroxidation damage and produce some harmful substances, such as MDA (Ayala et al., 2014). The antioxidant enzymes, SOD, CAT, and GPx could help in eliminating the reactive oxygen free radicals in the body, thereby enhancing the antioxidant capacity (Liu et al., 2013). The present study showed that the level of oxidative enzymes (CAT, GPx, and SOD) activity was significantly elevated in fish fed on diets supplemented with CGA compared to the control group. Similarly, antioxidant capacity was significantly improved in CGA-fed rainbow trout (Ghafarifarsani et al., 2023), caffeic acid-fed Nile tilapia, Oreochromis niloticus (Yilmaz, 2019), Siberian sturgeon (Acipenser baeri) fed on diets containing green tea extract and oxidized fish oil (Hasanpour et al., 2019), extract of lemon verbena, Aloysia citrodora (Adel et al., 2021), barberry (Berberis vulgaris) fruit extract (Ramezani et al., 2021), and ferulic acid-fed rainbow trout (Habibnia et al., 2024). These results are in accordance with Jin et al. (2023) who reported that inclusion of CGA in diets of crucian carp increased the antioxidant enzyme activities of intestinal and liver tissues.
CGA is a phenolic compound with radical scavenging capacity. When administered to fish, it increases the overall radical scavenging capacity of the body, leading to lower lipid peroxidation. This effect has also been observed with other phenolic compounds used in fish diets (Mirghaed et al., 2019; Hoseini et al., 2025 a; Yousefi et al., 2024). Many phenolic compounds have been found to enhance antioxidant enzyme activities. Although the exact mechanisms are not fully understood, they may involve transcriptional regulation affecting Keap1 and Nrf2 signaling pathways, which modify the expression of antioxidant genes (Jia et al., 2019; Hoseini et al., 2020; Khalili et al., 2020; Fu et al., 2022).
In conclusion, this study emphasizes the significance of using CGA (400 mg/kg feed) as a natural compound in eco-friendly feed additives to enhance growth performance, hematological factors, digestive capacity, antioxidant activity, and immune response in stellate sturgeon. Our findings serve as a reference for investigating CGA as a potential substitute for certain chemical drugs and antibiotics in the prevention and management of fish diseases.