Fig. 1.

Fig. 2.

Fig. 3.

Fig. 4.

Fig. 5.

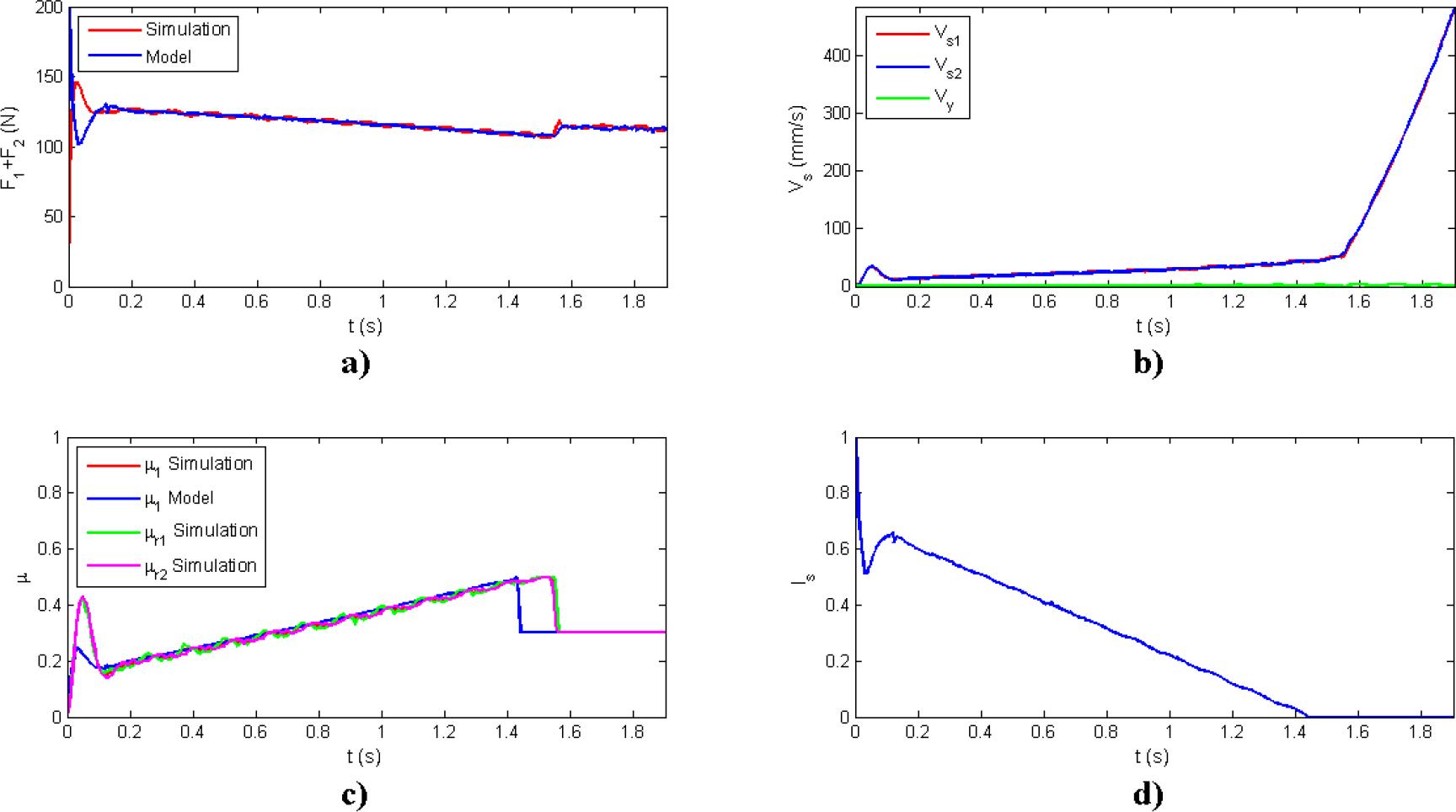
Fig. 6.

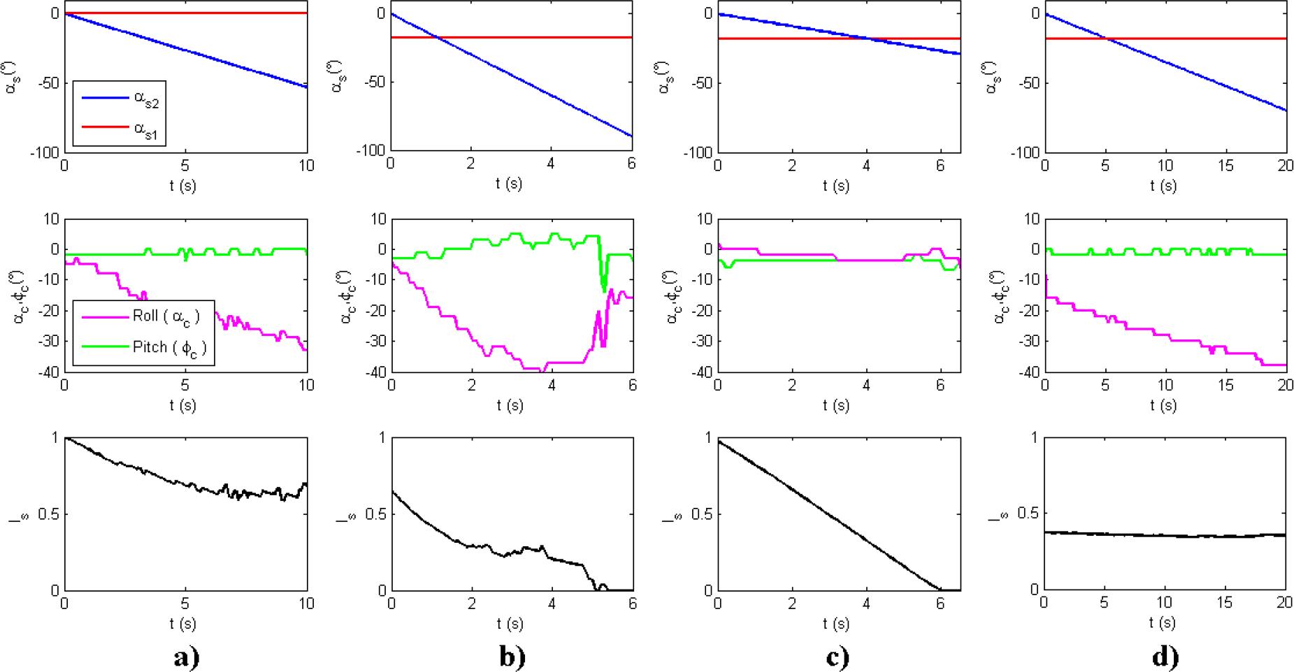
Fig. 7.

Fig. 8.

Fig. 9.

Fig. 10.

Fig. 11.

Fig. 12.

Fig. 13.

Fig. 14.

Fig. 15.

Fig. 16.

Fig. 17.

Fig. 18.

Geometry of obstacles and static friction coefficients used
| Simulation | Description | ϕs1 (°) | αs1 (°) | ϕs2 (°) | αs2 (°) | γb1 (°) | μs1 | μs2 |
|---|---|---|---|---|---|---|---|---|
| A | Frontal ascent | -5.00 | 0.00 | -9.67 | -2.58 | 74.94 | 1.0 | 0.2 |
| B | Lateral descent | 7.71 | 0.00 | 7.50 | -4.33 | 150.22 | 0.4 | 0.4 |
| C | Lateral trench | 0.00 | 10.00 | 0.00 | 10.00 | 25.34 | 0.4 | 0.4 |
Statistical analysis of simulation results to validate Is Test
| Test | F5 (N) | Fs1 | Fs2 | μ1 | μ2 | ||||||||
|---|---|---|---|---|---|---|---|---|---|---|---|---|---|
| σ (N) | MAPE (%) | σ (N) | MAPE (%) | σ | MAPE (%) | σ | MAPE (%) | ||||||
| a | 0 | -2.01 | 4.61 | 1.99 | 1.68 | 6.22 | 1.19 | 0.00 | 0.01 | 0.80 | -0.01 | 0.01 | 3.42 |
| 15 | -1.98 | 4.47 | 2.13 | 1.90 | 4.71 | 1.43 | 0.00 | 0.01 | 1.57 | 0.00 | 0.01 | 2.32 | |
| 30 | -2.04 | 4.57 | 2.41 | 2.00 | 4.45 | 1.60 | 0.02 | 0.01 | 5.83 | 0.00 | 0.01 | 0.72 | |
| 45 | -1.38 | 4.54 | 1.79 | 1.18 | 5.00 | 1.03 | 0.05 | 0.01 | 17.25 | 0.01 | 0.05 | 0.24 | |
| b | 0 | 1.45 | 4.52 | 1.00 | -1.95 | 4.63 | 2.02 | 0.00 | 0.00 | 0.41 | 0.00 | 0.01 | 1.08 |
| 15 | 0.27 | 5.33 | 0.15 | -0.66 | 5.79 | 0.75 | 0.00 | 0.03 | 2.25 | 0.00 | 0.04 | 4.53 | |
| 30 | -1.75 | 5.52 | 1.47 | 1.45 | 6.11 | 1.73 | 0.00 | 0.03 | 0.37 | -0.01 | 0.06 | 9.85 | |
| 45 | -2.08 | 4.20 | 1.85 | 1.74 | 4.13 | 2.39 | 0.02 | 0.02 | 8.24 | 0.01 | 0.04 | 5.80 | |
| c | 0 | -7.54 | 7.56 | 5.16 | 7.09 | 6.31 | 7.50 | 0.00 | 0.04 | 2.27 | -0.02 | 0.03 | 8.75 |
| 15 | -8.01 | 8.75 | 5.22 | 7.21 | 6.00 | 10.13 | -0.01 | 0.05 | 3.21 | -0.03 | 0.04 | 9.89 | |
| 30 | -7.30 | 8.07 | 4.57 | 6.63 | 6.09 | 13.01 | -0.01 | 0.05 | 6.60 | -0.03 | 0.05 | 9.99 | |
| d | 0 | 4.16 | 3.46 | 4.31 | -4.47 | 2.88 | 3.10 | 0.01 | 0.01 | 3.56 | -0.01 | 0.01 | 3.69 |
| 15 | 3.80 | 3.61 | 3.61 | -4.24 | 2.98 | 3.53 | 0.01 | 0.01 | 2.80 | -0.01 | 0.01 | 3.72 | |
| 30 | 3.47 | 3.80 | 2.99 | -4.03 | 3.90 | 4.25 | 0.01 | 0.01 | 2.15 | -0.01 | 0.01 | 3.53 | |
| 45 | 3.35 | 4.25 | 2.71 | -4.04 | 5.14 | 5.80 | 0.00 | 0.01 | 1.22 | -0.01 | 0.01 | 3.93 | |
| e | 0 | -9.04 | 1.77 | 6.01 | 8.61 | 1.94 | 10.52 | -0.01 | 0.02 | 4.50 | 0.05 | 0.01 | 5.44 |
| 15 | -9.13 | 1.78 | 6.44 | 9.03 | 1.50 | 11.73 | -0.01 | 0.01 | 3.82 | 0.05 | 0.01 | 8.88 | |
| 30 | -7.57 | 7.62 | 5.88 | 7.48 | 4.07 | 9.86 | -0.02 | 0.06 | 24.78 | 0.04 | 0.01 | 15.52 | |
| 45 | -8.15 | 2.08 | 6.77 | 8.14 | 2.58 | 11.61 | 0.00 | 0.01 | 0.45 | 0.04 | 0.06 | 17.69 | |
| f | 0 | 3.35 | 4.66 | 3.24 | -3.90 | 4.21 | 2.82 | 0.02 | 0.01 | 15.82 | -0.02 | 0.03 | 6.28 |
| 15 | 3.99 | 6.81 | 3.49 | -4.48 | 6.66 | 3.95 | 0.02 | 0.01 | 14.91 | -0.02 | 0.06 | 8.35 | |
| 30 | 1.32 | 5.69 | 0.99 | -2.29 | 6.58 | 2.75 | -0.02 | 0.04 | 12.12 | -0.02 | 0.02 | 8.81 | |
| 45 | 0.77 | 5.85 | 0.53 | -1.71 | 5.75 | 2.76 | -0.02 | 0.03 | 10.13 | -0.02 | 0.03 | 7.65 | |
Statistical analysis of the simulations when the robot touches the ground at 3 points
| Test | Fs1 | Fs2 | μ1 | μ2 | ||||||||
|---|---|---|---|---|---|---|---|---|---|---|---|---|
| σ (N) | MAPE (%) | σ (N) | MAPE (%) | σ | MAPE (%) | σ | MAPE (%) | |||||
| a | 0.15 | 4.10 | 0.06 | - | - | - | 0.01 | 0.04 | 0.98 | - | - | - |
| b | - | - | - | 0.21 | 1.53 | 0.17 | - | - | - | 0.01 | 0.05 | 1.53 |
| c | -0.21 | 1.20 | 0.16 | - | - | - | 0.01 | 0.04 | 0.13 | - | - | - |
| d | - | - | - | -0.20 | 1.23 | 0.15 | - | - | - | 0.00 | 0.04 | 0.84 |
| e | 0.03 | 2.10 | 0.02 | - | - | - | 0.00 | 0.04 | 0.46 | - | - | - |
| f | - | - | - | -0.58 | 1.84 | 0.44 | - | - | - | 0.01 | 0.05 | 1.67 |
Dimensional parameters of Lázaro robot
| Parameter | Magnitude |
|---|---|
| xf | 209.0 mm |
| xr | 191.0 mm |
| xt | 400.0 mm |
| yt | 398.0 mm |
| a1 | 420.0 mm |
| d2c | -282.5 mm |