Fig. 1.

Fig. 2.

Fig. 3.

Fig. 4.

Fig. 5.

Fig. 6.

Fig. 7.

Fig. 8.

Fig. 9.

Fig. 10.

Fig. 11.

Fig. 12.

Fig. 13.

Fig. 14.

Fig. 15.

Fig. 16.

Calculations of measurement results of element displacement by the robot
| Distance 1 | Distance 2 | Distance 3 | |
|---|---|---|---|
| 84.0 mm | 121.2 mm | 204.2 mm | |
| Mean | 83.883 | 121.393 | 204.587 |
| Max | 84.518 | 121.446 | 204.763 |
| Min | 83.490 | 121.352 | 204.400 |
| R | 1.027 | 0.094 | 0.363 |
| σ | 0.378 | 0.027 | 0.117 |
| A | 0.642 | 0.861 | -0.165 |
| K | -1.060 | -0.526 | -1.270 |
| U0.95 | 0.135 | 0.010 | 0.042 |
Results of geometric measurements made by the robot and their calculations
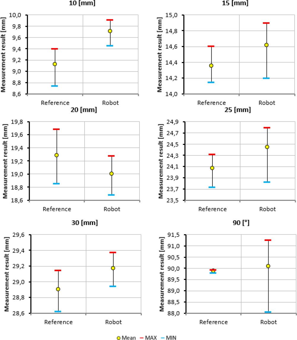
| 10 mm | 15 mm | 20 mm | 25 mm | 30 mm | 90° | |
|---|---|---|---|---|---|---|
| Mean | 9.711 | 14.614 | 19.004 | 24.448 | 29.174 | 90.100 |
| Max | 9.911 | 14.895 | 19.280 | 24.794 | 29.371 | 91.253 |
| Min | 9.450 | 14.200 | 18.680 | 23.825 | 23.940 | 88.048 |
| R | 0.461 | 0.695 | 0.600 | 0.969 | 0.431 | 3.205 |
| σ | 0.130 | 0.191 | 0.177 | 0.274 | 0.135 | 0.819 |
| A | -0.166 | -0.171 | -0.122 | -0.470 | -0.381 | -0.530 |
| K | -0.884 | -0.888 | -1.127 | -0.790 | -1.240 | -0.336 |
| U0.95 | 0.047 | 0.068 | 0.063 | 0.098 | 0.048 | 0.293 |
Results of the reference measurements and their calculations
| 10 mm | 15 mm | 20 mm | 25 mm | 30 mm | 90° | |
|---|---|---|---|---|---|---|
| Mean | 9.125 | 14.356 | 19.284 | 24.068 | 23.904 | 39.876 |
| Max | 9.398 | 14.604 | 19.683 | 24.315 | 29.143 | 39.938 |
| Min | 8.746 | 14.143 | 13.851 | 23.733 | 23.624 | 39.803 |
| R | 0.652 | 0.456 | 0.832 | 0.582 | 0.524 | 0.135 |
| σ | 0.178 | 0.140 | 0.189 | 0.177 | 0.132 | 0.034 |
| A | -0.589 | 0.342 | -0.093 | -0.114 | 0.104 | 0.012 |
| K | -0.197 | -0.743 | -0.042 | -1.230 | -0.120 | -0.412 |
| U0.95 | 0.064 | 0.050 | 0.068 | 0.063 | 0.047 | 0.012 |