Coagulation activation is an element of the body's defense against infectious agents; however, excessive activation may contribute to vascular occlusion, organ ischemia, organ damage, and the development of multi-organ dysfunction syndrome, often seen in systemic viral and bacterial infections (Nakamura et al. 2007; Chong and Sriskandan 2011; Fei et al. 2020).
A method useful for diagnosing coagulation disorders in whole blood is thromboelastometry. The method yields information regarding all phases of the coagulation process and provides additional data over standard plasma coagulation tests. Human clinical studies and experimental studies in animal models have been used to evaluate changes in the coagulation system in shock using thromboelastometry, in addition to the standard plasma coagulation tests. Some of these studies have looked at the effectiveness of various therapies in shock (Adamzik et al. 2010; Schöchl et al. 2011; Nates et al. 2015; Adamik et al. 2021). In patients, the assessment of changes in the coagulation system is complicated by the variability of the response to infection, which is a result of differences in comorbidities and previous treatment, the source and severity of infection, the type of causative pathogen, or the onset of infection. In our previous study of hemostatic disorders in severe bacterial sepsis, we identified three different patterns of change in the coagulation system using thromboelastometry: hypercoagulation, hypocoagulation, or normal coagulation (Adamik et al. 2017). The presence of endotoxins in blood was detected in most cases and contributed significantly to the development of coagulation disorders. In addition, the occurrence of coagulation disorders in patients with sepsis was associated with significantly higher mortality of up to 42%. In an animal model of sepsis, acute endotoxemia induced significant changes in coagulation as early as 1 h after administering the endotoxin bolus (Velik-Salchner et al. 2009). Coagulation assessment by thromboelastometry showed an increase in clot formation time, (CFT) with poor clot quality and impaired fibrinogen polymerization, indicating a risk of bleeding, while the results of standard coagulation tests showed no significant changes. In another experimental study of a 6-h porcine endotoxemia model, severe coagulopathies were observed only in animals that eventually died, while animals who survived had only minor alterations in coagulation parameters (Nates et al. 2015).
Nitric oxide (NO) is an endogenous vasodilator and modulates platelet function via the guanylate cyclase signaling pathway (Bloch et al. 2007). Exogenous NO used in medical practice or research is available in two forms: as inhaled nitric oxide (iNO) or as an infusion of nitrovasodilatators. Since NO can increase cyclic guanosine monophosphate levels in platelets, and reduce their activity and adhesion, it has been hypothesized that thrombus formation may be decreased by inhaled NO (Hogman et al. 1994; Schwarz et al. 2001). The effects of NO on hemostasis have been studied in a wide variety of experimental and clinical applications, but data on iNO's function of the coagulation system are contradictory. Some early studies in animal models and in healthy human volunteers showed an increase in clotting time (CT) after inhaling NO (Albert et al. 1999; Gries et al. 2000), while others showed no effect from iNO on coagulation (Goldstein et al. 2012; Miller et al. 2012). In our previous study of the effect of iNO on the activity of various platelet receptors and on platelet aggregation, we demonstrated decreased activity of selected platelet receptors during endotoxemic shock (Adamik et al. 2021). However, the inhibition of platelet aggregation was not intensified by iNO, indicating there was no harmful effect of iNO on platelet aggregation (Adamik et al. 2021). Due to the conflicting results regarding the possible consequences on the coagulation system from administering iNO, we examined whether long-term exposure to iNO + hydrocortisone caused changes in coagulation and fibrinolysis.
The study's aims were (1) to use rotational thromboelastometry to assess the effects of endotoxin on the short- and long-term hemostasis status, and the possibility of restoring normal coagulation after stopping endotoxin infusion in an animal shock model; (2) to assess the effects of iNO on coagulation; (3) to evaluate the changes in coagulation and fibrinolysis after long-term exposure to iNO + hydrocortisone.
This study presents the results of a joint research project carried out by scientists from Karolinska Institutet at Danderyd Hospital in Stockholm, Sweden, and the Wroclaw Medical University, together with the Wroclaw University of Environmental and Life Sciences. The experiments were carried out at the Department of Internal Medicine and Clinic of Diseases of Horses, Dogs, and Cats at the Wroclaw University of Environmental and Life Sciences. Animals were managed in accordance with the Guide for the Care and Use of Laboratory Animals, published by the National Institutes of Health and with Animal Research: Reporting of In Vivo Experiments (ARRIVE) guidelines, and all procedures were supervised by veterinarians (National Research Council 2011). The study was approved by the Bioethical Committee at the Wroclaw University of Environmental and Life Sciences, Poland.
The protocol was designed to investigate changes in coagulation induced by endotoxemic shock. Based on the survival status, a group of animals that survived the entire observation period were compared with animals that died before the study terminated. In addition, to determine whether iNO + hydrocortisone had an effect on coagulation in this shock model, the effects of iNO + low-dose hydrocortisone administration on coagulation and fibrinolysis were examined. This study was performed on 34, healthy, domestic piglets (Sus scrofa, Polish White breed) of mean weight 27 kg. Animals were fasted overnight with access to water. Before instrumentation, animals were assigned to either the nitric oxide treatment group (iNO(+) + hydrocortisone) or the control group iNO(−); for iNO dosing, see below “inhaled NO.” Each pig underwent anesthesia, instrumentation and catheterization; shock was induced in all animals by endotoxin infusion for a total of 10 h: for dosing, see below “study procedure.” At that point, the endotoxin was stopped, and the animals were observed for another 10 h of the experiment. The time course of the study is presented in Figure 1.
Fig 1.
Study design. All animals had endotoxin infusion for a total of 10 h. Administration of iNO was started 3 h after endotoxin infusion and continued until the end of the 20-h observation period. Hydrocortisone was given 3 h after the endotoxin infusion, and the dose was repeated at 8 h and 16 h. iNO and hydrocortisone were administered in the iNO(+) group, and not in the group iNO(−). iNO, inhaled nitric oxide.

Since this study is a continuation of our previous studies on the effect of NO on hemostasis and organ function, we did not repeat experiments with a sham group, which was in line with the 3R principle (replace–reduce–refine). This issue is presented in detail in the “Discussion” section.
General anesthesia was performed according to the method developed in our earlier studies (Nilsson et al. 2018). For induction of anesthesia, zolazepam/tiletamine 4 mg · kg−1 was used, together with medetomidine 0.08 mg · kg−1. After tracheal intubation, the animals were mechanically ventilated with the pressure control ventilation mode, using a Servo 900C ventilator (Siemens-Elema AB, Solna, Sweden) with oxygen concentrations in a breathing mixture of FiO2 0.3 and positive end-expiratory pressure of 5 cm H2O. Analgosedation was performed with a continuous infusion of propofol (3–6 mg · kg−1 · h−1 iv; Frese-nius Kabi Polska, Warsaw) and fentanyl (0.8–1.3 μg · kg−1 · h−1 iv; Polfa, Warsaw), and increasing the levels during instrumentation. The degree of anesthesia was adjusted as needed for the remainder of the study period. Vascular instrumentation included cannulation of the carotid artery for the invasive blood pressure measurement, the jugular vein with the insertion of a central catheter, and a catheter in the pulmonary artery (PAC). The degree of analgosedation was adjusted based on the hemodynamic response, and additional intravenous doses of fentanyl (25–50 μg) were administered as needed.
Research procedures were previously described in detail elsewhere (Adamik et al. 2021). Endotoxic shock was induced by intravenous infusion of endotoxin lipopolysaccharide (LPS) from Escherichia coli O111:B4 (Sigma, Gothenburg, Sweden, Chemical batch 110K41 10) in aqueous solution. After baseline measurements of vital signs and hemodynamics, an initial dose of LPS (2.5 μg · kg–1 · h–1) was administered intravenously over a period of 90 min, followed by a reduced dose (0.5 μg · kg–1 · h–1) for the remaining 8.5 h (10 h total). Clinical observations were then continued for another 10 h without endotoxin administration (see Figure 1). Shock treatment was carried out according to a protocol that included fluid therapy with crystalloids or i.v. vasopressors if necessary. A constant basal infusion of 0.9% saline/5% glucose (1:1) was maintained at 15 mL · kg–1 · h–1. Additional intravenous boluses of 0.9% saline were administered at blood pressure declines <60 mmHg and/or pulmonary capillary wedge pressure <6 mmHg to achieve a target pulmonary capillary wedge pressure (PCWP) of 8 mmHg. When PCWP increased >8 mmHg and MAP <60 mmHg, intravenous norepinephrine infusion was initiated at a dose of 0.025 μg · kg−1 · min−1 and increased slowly until the targeted mean arterial pressure (MAP) was >60 mmHg. The maximum dose of norepinephrine was 0.6 μg · kg−1 · min−1. With increases in MAP >60 mmHg, the norepinephrine infusion was slowly reduced where possible. All animals received intravenous antibiotic cefuroxime (GlaxoSmithKline, Solna, Sweden) 750 mg, which was administered prior to instrumentation, and the same dose was repeated every 8 h. Body temperature was monitored from a PAC thermistor to keep the animals at a temperature of 37–38°C) with external heating, using heating blankets or external cooling as needed. At the end of the 20-h experiment, the animals were euthanized with intravenous sodium pentobarbital (Morbital, Biowet, Puławy, Poland) at a dose of 133.3 mg · mL−1, 0.6 mL · kg−1.
The procedures have been previously described in detail elsewhere (Adamik et al. 2021). Briefly, iNO and hydrocortisone were administered to every second animal. Before transferring anesthetized piglets to the observation stand for instrumentation, the animals were randomly assigned to the nitric oxide + hydrocortisone (iNO(+)) group or without the nitric oxide and hydrocortisone (iNO(−)) group. Supervision of the animals at that time was carried out by a veterinarian who was not involved in the assignment to the randomization groups. In the iNO(+) animal group, NO (Pulmonox-Messer Griesheim 800 ppm NO in 9000 nitrogen) was delivered from the Pulmomix Mini device (Messer Griesheim, Gumpoldskirchen, Austria) to the inspiratory arm of the ventilatory system, according to the method described earlier (Gozdzik et al. 2018). NO (30 ppm) inhalations in the treatment groups were started 3 h after beginning the endotoxin infusion and continued until the end of the 20-h observation period. Steroid therapy – hydrocortisone 25 mg, in parallel with iNO, was given intravenously 3 h after the start of the endotoxin infusion. The same dose of hydrocortisone was repeated after 8 h and 16 h (a total dose of 75 mg).
Hemodynamic variables were obtained with a Swan–Ganz catheter (Edwards Lifesciences, Irvine, USA). The following variables were monitored: heart rate, arterial mean blood pressure, cardiac output, systolic pulmonary artery pressure, and diastolic pulmonary artery pressure.
Each blood sample (1.8 mL) for thromboelastometry analysis was drawn from an arterial line to a tube with citrate as an anticoagulant agent (Becton Dickinson, Franklin Lakes, NJ, USA). Thromboelastometry was performed with a ROTEM delta (Pentapharm, Munich, Germany) within 30 min of collecting blood samples at 4 time points: after completing the instrumentation procedures (time 0, baseline), and at the 4th, 10th, and 20th h of the experiment. The measurements were performed as single tests. The same device was used for all samples tested; the device was operated by two qualified members of the research team (BA, BD). The following assays were performed: the intrinsically activated INTEM assay (containing 20 μL CaCl2 0.2 mol · L–1, 20 μL thromboplastin–phospholipid, 300 μL whole blood) and the extrinsically activated EXTEM assay (containing 20 μL CaCl2 0.2 mol · L–1, 20 μL tissue factor, 300 μL whole blood). In addition, FIBTEM and APTEM assays were done. The FIBTEM assay (containing 20 μL cytochalasin D, 20 μL tissue factor, 300 μL whole blood) was performed to analyze extrinsic coagulation activation after blocking platelet contribution to the clot firmness with platelet inhibitor cytochalasin D. The assay detects fibrinogen deficiency, fibrin polymerization abnormalities, and indirectly evaluates the thrombocyte component of the coagulation process. The APTEM assay (containing 20 μL tissue factor and 20 μL aprotinin, 300 μL whole blood) was performed to analyze extrinsic coagulation activation after blocking hyperfibrinolysis with aprotinin. The APTEM assay confirmed or ruled out hyperfibrinolysis, and the results were compared with the EXTEM. All reagents used for the thromboelastometry tests are commercially available, European Conformity (CE), in vitro diagnostic (IVD) – marked tests. The four thromboelastometric parameters analyzed were: CT, CFT, maximum clot firmness (MCF), and 60-min clot lysis index (LI) (Figure 2). CT is the time from the initiation of clot formation until the time when 2 mm amplitude is achieved; CFT is the time from 2 mm to 20 mm amplitude of the clotting signal; MCF measures the maximum amplitude of the developed clot that was reached before the clot was dissolved by fibrinolysis; LI describes the clot firmness 60 min after onset of coagulation in relation to the MCF (in%). In clinical conditions, changes in each of the thromboelastometry parameters are important for the assessment of coagulation, because they may indicate abnormalities at various stages of the coagulation process, as detailed in the “Discussion” section. The manufacturer does not provide reference values for thromboelastometry parameters for piglets/pigs. Therefore, for the purpose of this study, we defined a tendency to hypocoagulation as a statistically significant change from the baseline in at least one of the following parameters: prolongation in CT, prolongation in CFT, or decrease in MCF in EXTEM or INTEM tests. A tendency to hypercoagulation was identified if there was a statistically significant change from the baseline in at least one of the following parameters: decrease in CT, decrease in CFT or increase in MCF in EXTEM or INTEM tests. A tendency to hypofibrinolysis was identified if there was a statistically significant increase in the LI value compared to the baseline value in EXTEM or INTEM tests. A tendency to hyperfibrinolysis was identified if there was a statistically significant decrease in the LI value compared to the baseline value in EXTEM test, confirmed by the APTEM test.
Fig 2.
Thromboelastometry (ROTEM®) diagram. CT – represents time from the start of the test until the initiation of clotting; CFT – represents time from the initiation of clotting until a clot firmness of 20 mm was detected; MCF – represents the overall strength of the clot by the polymerized fibrin, thrombocytes, and factor XIII. LI – represents clot stability and a reduction in clot firmness after MCF. CFT, clot formation time; CT, clotting time; LI, lysis index; MCF, maximum clot firmness.

All data were expressed as a mean ± standard error (SE). The distribution of the variables was not normal based on a Shapiro–Wilk test. A Mann–Whitney U test was used to assess differences between the groups for hypodynamic indices and for thromboelastometry parameters. In order to compare the values of variables before and after the intervention for each pig, the Wilcoxon signed rank test for paired samples was used to analyze the change of a given parameter measured after 4 h, 10 h, and 20 h of the experiment compared to the value of that parameter measured at baseline (prior to administering the endotoxin, 0 h). Categorical variables were analyzed using the chi-squared test. Significance was assumed if the probability of the null hypothesis was ≤5% (p ≤ 0.05). All analyses were performed on the 13.0 version of Statistica (StatSoft. Krakow, Poland).
Thirty-four pigs were studied (mean weight 27.4 kg, 60% male). Endotoxin infusion caused severe hypodynamic shock and pulmonary hypertension. After 4 h of endotoxemia, there was a maximum decrease in cardiac output from the baseline value of 3.7 ± 0.18 L · min–1 to 2.4 ± 0.14 L · min–1 (p < 0.001), accompanied by a significant increase in heart rate from the baseline value of 77.5 ± 3.62 beat · min–1 to 114.8 ± 7.1 beat · min–1 (p < 0.001). The arterial mean blood pressure was maintained throughout the observation period within normal range. There was a rapid increase in pressure in the pulmonary artery: the systolic pulmonary artery pressure increased from baseline 24.3 ± 0.77 mmHg to 39.5 ± 1.61 mmHg at 4 h, and the diastolic pulmonary artery pressure increased from 14.03 ± 0.64 mmHg to 27.5 ± 1.76 mmHg. This was accompanied by an increase in arterial lactate concentration from baseline 2.2 ± 0.19 mmol · L–1 to 4.2 ± 0.33 mmol · L–1 at 4 h (p < 0.001). All animals were alive after completing the instrumentation procedures, and hemodynamic parameters were within physiological ranges. During the 20h observation period, 25 animals survived and 9 died before the study terminated (mortality rate 26%). There were five early deaths (during LPS infusion) and four late deaths (after stopping LPS infusion). The experiment did not require the use of aggressive instruments or procedures that could cause bleeding, no bleeding episodes were recorded, and the hemoglobin level after 20 h did not change significantly compared to the baseline value (9.8 ± 0.0.2 g · dL–1 vs. 9.6 ± 0.4 g · dL–1, at baseline and at 20 h, respectively, p = 0.614). All animals that died prematurely developed severe and unresponsive hypotension, lactic acidosis, and circulatory arrest. The effects of endotoxemic shock and treatment with iNO plus hydrocortisone were analyzed in two groups based on the survival status: survived (Group 1, n = 25) or died before study termination (Group 2, n = 9). At the point of obtaining blood samples, none of the animals had yet entered a stage of imminently collapsing circulation or ventilation.
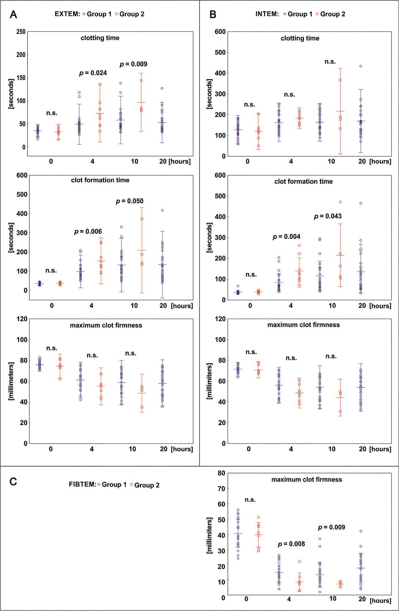
All baseline variables were similar in Groups 1 and 2 (Table 1). Changes in thromboelastometric variables are presented in Figure 3 (A: EXTEM, B: INTEM, and C: FIBTEM tests).
The basic variables of the pigs before endotoxin infusion
| Parameter | All (N = 34) | Survivors (N = 25) | Non-survivors (N = 9) | p |
|---|---|---|---|---|
| EXTEM | ||||
| CT (s) | 34.2 ± 1.2 | 34.8 ± 1.3 | 32.5 ± 2.6 | 0.318 |
| CFT (s) | 35.4 ± 0.8 | 35.1 ± 1.1 | 36.3 ± 1.5 | 0.480 |
| MCF (mm) | 75.4 ± 0.6 | 75.8 ± 0.6 | 74.5 ± 1.9 | 0.623 |
| LI (%) | 91.7 ± 0.4 | 91.4 ± 0.3 | 92.5 ± 1.1 | 0.315 |
| INTEM | ||||
| CT (s) | 125.9 ± 6.1 | 128.1 ± 6.8 | 119.6 ± 13.5 | 0.570 |
| CFT (s) | 37.8 ± 1.1 | 37.6 ± 1.4 | 38.5 ± 1.7 | 0.353 |
| MCF (mm) | 71.4 ± 0.5 | 71.5 ± 0.6 | 71.0 ± 1.2 | 0.433 |
| LI (%) | 84.8 ± 0.4 | 84.8 ± 0.5 | 85.1 ± 0.9 | 0.734 |
| FIBTEM | ||||
| MCF (mm) | 40.2 ± 1.4 | 40.4 ± 1.7 | 39.5 ± 2.7 | 0.930 |
| Platelets (103 • μL–1) | 415.7 ± 16.8 | 431.4 ± 18.6 | 372.1 ± 34.4 | 0.097 |
| Fibrinogen (mg • dL–1) | 3.1 ± 0.1 | 3.1 ± 0.1 | 3.3 ± 0.4 | 0.482 |
CFT, clot formation time; CT, clotting time; LI, lysis index; MCF, maximum clot firmness.
Fig 3.
Coagulation parameters measured by thromboelastometry. The parameters of the EXTEM (a), INTEM (b), and FIBTEM (c) tests in Group 1 (survivors) were measured at baseline, and the 4th, 10th, and 20th h and in Group 2 (non-survivors), were measured at baseline, and the 4th and 10th h of the experiment. p-values represent differences between groups at each time point (p > 0.05, Mann–Whitney U test). n.s., not significant.

After endotoxin infusion, significant abnormalities were recorded over time in most EXTEM, INTEM, and FIBTEM parameters compared to baseline values. In the EXTEM, at 4 h, CT increased significantly in 30 (88%, p < 0.001) and did not change in 4 animals (p = 0.067), and at 10 h, CT increased in all animals (p < 0.001); CFT was significantly higher in all animals at 4 h (p < 0.001) and 10 (p < 0.001) h, and at the same time, MCF results were significantly lower in all animals (p < 0.001). In the INTEM, at 4 h, CT increased significantly in 28 (82%, p < 0.001) and decreased in 6 animals (p = 0.027), and at 10 h, CTincreased in 29 (85%, p < 0.001) and decreased in 5 animals (p = 0.043); CFT was significantly higher in all animals at 4 h (p < 0.001) and 10 (p < 0.001) h, and at the same time, MCF results were lower in all animals (p < 0.001). In the FIBTEM, MCF decreased significantly in all animals at 4 h (p < 0.001) and 10 h (p < 0.001). These abnormalities were more severe in the group of animals that eventually died. CT and CFT were markedly elongated in Group 2 compared to Group 1 in both the EXTEM and INTEM tests, indicating a tendency to hypocoagulability. In addition, the formed clot was weaker in Group 2, as indicated by the lower MCF measured in EXTEM and INTEM tests at 4 h and 10 h of the experiment (not significant). The results of the FIBTEM test also indicated significant abnormalities in Group 2: MCF was significantly lower in comparison to the values recorded in Group 1 at 4 h (p = 0.008) and 10 h (p = 0.009). Additionally, after endotoxin infusion, significant decrease in fibrinogen concentration was recorded in all animals at 4 h (p < 0.001) and 10 (p < 0.001) h, compared to the baseline values. Similarly, a significant decrease in platelet count was noted in all but one animal at 4 h (p < 0.001) and 10 (p < 0.001) h compared to baseline. However, it should be emphasized that both the platelet count and fibrinogen concentration remained within normal limits throughout the study period. Taken together, these observations indicate that after administering endotoxin, all the animals developed coagulation disorders that were likely consistent with a tendency to hypocoagulation. Changes in ROTEM parameters and other coagulation tests before (T0), during endotoxin infusion (T4 and T10), and after stopping of endotoxin administration (T20) are presented in the Supplementary Materials (Table S1 Supplementary Materials).
Clot LI represents the percentage of remaining clot stability in relation to the MCF value at 60 min after CT. Baseline LI was 91% in Group 1 and 92% in Group 2 (p = 0.315) in the EXTEM test and 85% in the INTEM test in both groups (p = 0.734). After endotoxin infusion, significant increase in LI was recorded in all animals in the EXTEM and INTEM at 4 h (p < 0.001) and 10 (p < 0.001) h, compared to the baseline values.
Significant differences between survivors and non-survivors of endotoxemic shock were observed for LI at 4 h. Clot lysis was significantly impaired in animals that died, as evidenced by a higher LI in Group 2 than in Group 1—both in the EXTEM (99% vs. 96%, p = 0.004) and INTEM tests (97% vs. with 92%, p = 0.010) after 4 h of the experiment (Figure 4). The typical pattern of hyperfibrinolysis (spindle shaped, total lysis of the clot firmness) was not observed in any of the animals; therefore, the results of the APTEM test were not analyzed further.
Fig 4.
Fibrinolysis results measured by thromboelastometry. LI in Group 1 (survivors) and Group 2 (non-survivors) was measured at baseline, and the 4th, 10th, and 20th h of the experiment. p-values represent differences between groups at each time point (p > 0.05, Mann–Whitney U test). LI, lysis index; n.s., not significant.

To assess whether the function of the coagulation system could be restored after endotoxemic shock, the thromboelastometry parameters recorded in the Group 1 (survived till the study termination) at the last observation point (at 20 h) were compared with the baseline values using the Wilcoxon signed-rank test to determine whether there was a difference between paired observations. The results showed no restoration of coagulation in the majority of animals, and significant differences between baseline and the last observation point were still found for parameters of the EXTEM, INTEM, and FIBTEM tests. In the EXTEM, CT remained significantly high at 20 h in 20 animals (80%, p < 0.001) and returned to values close to those measured at baseline in 4 animals (p = 0.067); CFT and MCF remained significantly high at 20 h in all animals (p < 0.001). In the INTEM, CT remained significantly high at 20 h in 18 animals (72%, p < 0.001) and returned to values close to those measured at baseline in 7 animals; CFT and MCF remained significantly high at 20 h in all animals (p < 0.001). Similarly, in the FIBTEM, MCF results remained significantly lower in all animals (p < 0.001).
Out of 34 pigs, 16 were treated with iNO + hydrocortisone, and 18 were not. In the iNO(+) group, 3 pigs (19%) died before the end of the experiment, and 13 (81%) survived the entire experiment in the iNO(−) group, 6 pigs (33%) died before the end of the experiment, and 12 (67%) survived. Survival in the iNO(+) group was 81% and in the iNO(−) group 67% (p = 0.285, Fisher's exact test). Treatment with iNO + hydrocortisone did not have a significant effect on the coagulation process or fibrinolysis; no differences were observed in thromboelastometry variables measured in the EXTEM (Figure 5A), INTEM (Figure 5B), or FIBTEM (Figure 5C) tests during the whole time of the experiment (Figure 5).
Fig 5.
Coagulation parameters measured by thromboelastometry – the effect of iNO + hydrocortisone. The parameters of the EXTEM (a), INTEM (b), and FIBTEM (c). Tests in survivors were measured at baseline, and the 4th, 10th, and 20th h of the experiment, and in non-survivors, at baseline, and the 4th, and 10th h. iNO(+), animals were treated with iNO + hydrocortisone; iNO(−) animals were not treated with iNO + hydrocortisone; p-values refer to the comparison of iNO(+) vs. iNO(−) in each group at each time point (p > 0.05, Mann–Whitney U test). iNO, inhaled nitric oxide; n.s., not significant.

No significant differences in hemodynamic and oxygen transport parameters were observed between the animals treated and not treated with iNO + hydrocortisone during the whole time of the experiment, except for the pressure in the pulmonary artery. In animals treated with iNO + hydrocortisone, the systolic pulmonary artery pressure values were 24 ± 1 mmHg, 34 ± 1 mmHg, 33 ± 1 mmHg, 32 ± 1, 29 ± 1 mmHg, and in animals not treated with iNO + hydrocortisone, the values were 24 ± 1 mmHg, 44.0 ± 2 mmHg, 38 ± 2 mmHg, 35 ± 2 mmHg, 33 ± 2 mmHg, respectively, at 0 h, 4 h, 8 h, 12 h, and 20 h. In animals treated with iNO + hydrocortisone, the the diastolic pulmonary artery pressure values were 13 ± 1 mmHg, 22 ± 21 mmHg, 21 ± 1 mmHg, 20 ± 1 mmHg, 15 ± 1 mmHg, and in animals not treated with iNO + hydrocortisone, the values were 14 ± 1 mmHg, 32 ± 2 mmHg, 27 ± 2 mmHg, 23 ± 2 mmHg, 21 ± 2 mmHg, respectively, at 0 h, 4 h, 8 h, 12 h, and 20 h. Treatment with iNO + hydrocortisone significantly reduced the systolic (p < 0.001) and diastolic (p = 0.002) pressure in the pulmonary artery value after 4 h of the experiment; no differences were observed in other points of the study.
This is a long-term experimental study on a large animal model to investigate changes in the coagulation system induced by endotoxic shock and to determine whether double intervention with iNO + low-dose steroid had an effect on coagulation in this model of shock. After administering endotoxin, all animals developed severe hypodynamic shock, as indicated by changes in heart rate, cardiac output, and lactate level. It was found that after administering endotoxin, all the animals developed coagulation disorders consistent with a tendency to hypocoagulation, as evidenced by abnormal parameters of thromboelastometry, but the severity of the disorders was worse in the animals that eventually died. Moreover, after endotoxin infusion was discontinued, coagulation abnormalities continued to be detected until the end of the experiment: the time to form a solid clot remained longer, and the firmness of the formed clot was poor. Administering iNO + hydrocortisone had no significant effect on the coagulation process, and no further deterioration of the coagulation parameters was detected, either during or after the endotoxin challenge.
Since this study is a continuation of our previous studies on the effect of nitric oxide on hemostasis and organ function, we did not repeat experiments with a sham group, which was in line with the 3R principle (replace–reduce–refine). A cohort of sham–treated control animals (no endotoxin infusion, iNO, or intravenous hydrocortisone) was examined and described previously in two of our studies (Albert et al. 2007; Göranson et al. 2014). Anesthesia, instrumentation, and monitoring of the animals in the sham groups were similar to the present study. Briefly, in the study by Albert et al. (2007), bleeding time, international normalized ratio, d-dimers, and parameters of platelet function did not change in anesthetized, healthy piglets (sham group, N = 6) during 30 h of observation, indicating no changes in hemostasis. In the second study by Göranson et al. (2014), no significant changes in circulatory parameters (cardiac output, mean arterial pressure, mean pulmonary arterial pressure), respiratory variables (PaO2/FIO2, PaCO2), peak inspiratory pressure, and kidney function parameters (urea concentration, pH, and BE) were observed between the measurements recorded at baseline and at the end of the experiment in the group of anesthetized, healthy piglets (sham group, N = 6), indicating no effect on organ function. Also, inflammatory parameters (white blood cell count, interleukin-1, tumor necrosis factor-alpha) were similar at the beginning and end of the experiment. No animal died in the sham groups. We used the knowledge gained from previous studies to design the protocol for this study. Therefore, for ethical reasons, we did not repeat the experiment with the sham group to avoid the use of additional animals and unnecessary slaughtering.
To examine and define possible hemostatic effects during endotoxemic shock, we employed a double-treatment strategy (iNO + low-dose hydrocortisone), previously described and reported by Da et al. (2007), as a successful experimental intervention. They employed an anaesthetized and mechanically ventilated pig model, as we did in our experiment, and could report impressive, beneficial modifications in histology and physiology, over a 6-h observation period. The results showed that co-administration of hydrocortisone and iNO attenuated the inflammatory response and limited organ damage, and this effect was significantly stronger compared to the treatment with iNO or hydrocortisone alone. Therefore, in the subsequent experiment, we decided to use the combination of iNO + intravenous hydrocortisone.
Thromboelastometry describes the quality and kinetics of clot formation after administering specific clotting activators: in the EXTEM test, the extrinsic coagulation pathway is tested with tissue factor as an activator, and in the INTEM test, the intrinsic pathway is tested with phospholipid and ellagic acid as the activators. The method is widely used for monitoring hemostasis during cardiac surgery, liver transplant procedures, and in the intensive care unit. In the present study, pigs administered endotoxin showed a tendency to hypocoagulation in the EXTEM and INTEM assays, particularly with a longer CT and CFT, and low MCF. The prolonged CT indicated a longer time to start fibrin formation and could be due to low plasma concentrations of soluble coagulation factors. The prolonged CFT indicated defective clot kinetics and could be due to abnormalities in fibrin polymerization and/or decreased activation of platelet receptors or low platelet count. As a consequence, a weak clot formed, as indicated by the reduced value of the MCF in the EXTEM, INTEM, and FIBTEM tests. The statistically significant decrease in MCF in the FIBTEM pathway that was observed in our study suggests that fibrinogen deficiency, fibrin polymerization abnormalities, or both, may have been largely responsible for the tendency to hypocoagulation in non-survivors. However, the tendency toward hypocoagulation observed in our study could also be due to reduced levels or inhibition of coagulation factors. The probable underlying reason for the tendency to hypocoagulation was consumption coagulopathy, as evidenced by abnormal parameters of thromboelastometry, but other causes, such as decreased synthesis of coagulation factor, blood dilution, and blood loss, could also contribute to the coagulation abnormalities. All these changes were most likely the result of a strong endotoxin-induced activation of coagulation, leading to depletion of the clotting factors. The mechanisms underlying the early activation of coagulation in endotoxemia were investigated in a recent study by Yang et al. (2019). The authors showed that caspase-11—the cytosolic LPS receptor–—enhances tissue factor activation by inducing gasdermin D pore formation and subsequent phosphatidylserine exposure, followed by the activation of the coagulation cascade.
The doses of endotoxin used to induce shock and the duration of the endotoxin infusion and measurement intervals can vary widely between studies, making comparisons difficult, because systemic symptoms in response to an endotoxin challenge, including activation of coagulation, are dosedependent (Sundy et al. 2006; Da et al. 2007; Göranson et al. 2014; Kemper et al. 2023). Our finding that a tendency to hypocoagulation develops as a disorder of the coagulation system in shock is in agreement with some earlier experimental studies. However, comparing our results with previously published studies is difficult. The few available studies used different types of thrombelastography techniques, varying doses of endotoxin to induce shock, and the timing of measurements varied considerably. In a study by Velik-Salchner et al. (2009), similar abnormalities were seen in a 60-min porcine model of endotoxinemia-induced changes in hemostasis. Coagulation time was shorter in the INTEM, CFT increased, and MCF decreased significantly in the EXTEM and INTEM, and fibrin polymerization showed significantly lower values during endotoxemia. Prolongation of the CT in the EXTEM was not confirmed, in contrast to the significant prolongation observed in our experiment. However, that study showed results obtained at one time point–early after administering endotoxin (60 min), and the late effects of endotoxemia were not investigated. As in our study, it was assumed, but not confirmed, that an earlier activation of coagulation was present, leading to the consumption of the clotting factors and then to a tendency towards hypocoagulation. Schöchl et al. (2011) identified endotoxin-induced coagulation disorders leading to disseminated intravascular coagulation in a porcine model of shock. CT decreased immediately after the infusion of endotoxin, suggesting the early activation of coagulation, followed by a significant increase at the end of the experiment, i.e., at 6 h. Subsequently, a tendency to hypocoagulation was confirmed by a longer CFT and a reduction in the MCF. Boyd et al. (2018) demonstrated in a 3-h experimental study in dogs that hemorrhagic shock alone was associated with coagulation changes, consistent with hypocoagulability, beyond the effects of hemodilution, including a significantly longer CT and CFT in the EXTEM, a CFT in the INTEM, and significantly lower MCF in the EXTEM, INTEM, and FIBTEM. That study failed to confirm the early activation of coagulation.
Our study additionally examined the long-term effects of shock on the coagulation system to evaluate the restoration of hemostasis following discontinuation of the endotoxin infusion; the endotoxin intravenous infusion was stopped after 10 h, and the animals were observed for a further 10 h. We found that coagulation parameter abnormalities continued to be detected until the end of the experiment. Previously published data indicate that abnormalities consistent with both hyper- and hypocoagulation can be identified in sepsis and septic shock (Adamzik et al. 2010; Adamik et al. 2017; Dragan et al. 2021). This heterogeneity of the pattern and the degree of coagulation abnormalities in septic patients, as is to be expected, is probably relevant to the severity of the disease. The activation of coagulation with the consumption of coagulation factors and platelets may shift a hypercoagulant pattern into a hypocoagulant pattern and bleeding.
Due to the uncertainty about the possible effect of inhaled NO + steroid on coagulation, we investigated whether prolonged inhalation exposure caused any changes in coagulation in the model of endotoxic shock. A significant rise in the pulmonary artery pressure, which has been often seen in endotoxin-induced shock, was recorded. Treatment with iNO significantly reduced the blood pressure in the pulmonary artery after 4 h of the experiment. Currently, iNO is approved for the treatment of persistent pulmonary hypertension in newborns, but not in adults. Early studies conducted in healthy humans and in an animal model showed an increase in bleeding time after NO inhalation (Högman et al. 1993, 1994). Therefore, the possibility of inhaled NO altering coagulation is of concern, as abnormal hemostatic activity may increase bleeding. The results of our study showed that treatment with inhaled NO (combined with hydrocortisone) had no significant effect on the coagulation process, and no changes in thromboelastometry variables were observed. A possible explanation is that the vasodilatory effect of inhaled NO is largely limited to the lungs, where NO is quickly scavenged by hemoglobin in the blood and thus deactivated. Therefore, in the endotoxic shock model and treatment with inhaled NO, the activation of the nitric oxide synthase pathway and the nitrate/nitrate reduction pathway would most likely lead to the production of much greater amounts of NO than exogenously delivered, inhaled NO.
We acknowledge the limitation of this study. Firstly, we used piglets for the experiment with a mean weight of 27 kg. Pigs grow fast, and there would be a substantially increased risk in a mature animal with a body weight >100 kg (older than 1 year), including additional risks when inducing anesthesia in a larger animal, greater need for anesthetic drugs, and the need for more staff. There are many factors to consider when selecting an animal model to study specific symptoms, including living long enough to develop disease, providing enough measurable sampling points over the disease development, or the ease of use of the model. The model used in our research meets the above conditions despite the young age of the animals. Potential differences in hemostasis during endotoxic shock in younger and older animals should be explored in future studies. Secondly, previous experimental and human studies have shown that hydrocortisone can reduce the systemic inflammatory response, endothelial activation, and coagulation disorders caused by infection (de Kruif et al. 2007; Abdel-Razeq and Norwitz 2018). The results of a clinical trial, evaluating the effect of stress doses of hydrocortisone on coagulation dysfunction in patients with septic shock (NCT02114710), are pending publication. We did not investigate the effect of hydrocortisone alone on coagulation in our study, and this issue needs to be to be addressed in further studies. It should also be noted that endotoxin measurements were not included in our study protocol, and we cannot discuss changes in blood endotoxin levels during or after endotoxin infusion. No sham group in this study should also be listed as a limitation. However, a cohort of untreated (sham) piglets (no LPS infusion, iNO, or intravenous hydrocortisone) was previously studied by our group, and the results were reported in two manuscripts (Albert et al. 2007; Göranson et al. 2014). No significant changes in coagulation, circulatory, respiratory, and inflammatory parameters were observed in both sham groups in the measurements recorded at the beginning and end of the experiment, indicating no change in hemostasis and no effect on organ function or systemic inflammatory response. No animal died in the sham groups. Therefore, for ethical reasons, we did not repeat the experiment with the sham group to avoid the use of additional animals and unnecessary slaughtering.
Our results indicate that the coagulation disorders during the endotoxic shock were common and consistent with a tendency to hypocoagulation; moreover, normal coagulation was not restored after stopping the endotoxin infusion in the majority of animals. Administering iNO + hydrocortisone had no significant effect on clot formation, and no further deterioration of the coagulation and fibrinolysis parameters was found. Our results may suggest that potential therapeutic interventions with iNO to lower pulmonary arterial pressure will not affect hemostasis.