Figure 1

Figure 2

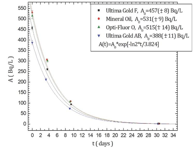
Figure 3

222Rn activity in one-phase samples with Ultima Gold AB
| Ultima Gold AB ROI: 430-790 ch | Spiked with A(226Ra)=79.34 Bq/L | Spiked with A(226Ra)=396.7 Bq/L | Spiked with A(226Ra)=793.4 Bq/L | ||
|---|---|---|---|---|---|
| Days after sampling | 4.60 | 4.69 | 4.77 | ||
| Theoretical A(222Rn) (Bq/L)* | 168(±5) | 166(±5) | 163(±5) | ||
| Measured A(222Rn) (Bq/L) | 216(±5) | 441(±11) | 723(±18) | ||
| Asampling (222Rn) (Bq/day** L) corrected on the | 498(±13) | 1031(±26) | 1718(±42) | ||
| 2nd | Days after sampling | 10.85 | 10.94 | 11.00 | |
| Theoretical A(222Rn) (Bq/L) | 54.2(±1.5) | 53.4(±1.5) | 52.6(±1.5) | ||
| Measured A(222Rn) (Bq/L) | 130(±3) | 442(±11) | 838(±21) | ||
| 3rd | Days after sampling | 31.1 | 31.2 | 31.2 | |
| Theoretical A(222Rn) (Bq/L) | 1.39(±0.04) | 1.37(±0.04) | 1.35(±0.04) | ||
| Measured A(222Rn) (Bq/L) | 88.16(±0.23) | 430(±11) | 863(±21) | ||
| 4th | Days after sampling | 63.9 | 63.9 | 64.0 | |
| Theoretical A(222Rn) (Bq/L) | 0.00365(±0.00010) | 0.00359(±0.00010) | 0.00354(±0.00010) | ||
| Measured A(222Rn) (Bq/L) | 87.6(±2.3) | 425(±11) | 842(±21) | ||
222Rn activity in two-phase samples with Opti-Fluor O
| Opti-Fluor O ROI: 650-910 ch | Spiked with A(226Ra)=79.34 Bq/L | Spiked with A(226Ra)=396.7 Bq/L | Spiked with A(226Ra)=793.4 Bq/L | ||
|---|---|---|---|---|---|
| Days after sampling | 5.15 | 5.19 | 5.23 | ||
| Theoretical (Bq/L)* A(222Rn) | 203(±6) | 201(±5) | 200(±5) | ||
| Measured A(222Rn) (Bq/L) | 260(±7) | 366(±9) | 394(±10) | ||
| Aon (222the Rn) sampling (Bq/L) corrected day** | 661(±17) | 937(±24) | 1016(±26) | ||
| 2nd | Days after sampling | 11.40 | 11.44 | 11.48 | |
| Theoretical A(222Rn) (Bq/L) | 65.3(±1.8) | 64.8(±1.8) | 64.3(±1.7) | ||
| Measured A(222Rn) (Bq/L) | 140(±4) | 171(±5) | 206(±5) | ||
| 3rd | Days after sampling | 31.6 | 31.7 | 31.7 | |
| Theoretical A(222Rn) (Bq/L) | 1.67(±0.05) | 1.66(±0.05) | 1.64(±0.04) | ||
| Measured A(222Rn) (Bq/L) | 85.6(±2.4) | 68.0(±2.0) | 127(±3) | ||
| 4th | Days after sampling | 64.4 | 64.4 | 64.5 | |
| Theoretical A(222Rn) (Bq/L) | 0.00439(±0.00012) | 0.00436(±0.00012) | 0.00432(±0.00012) | ||
| Measured A(222Rn) (Bq/L) | 66.3(±1.9) | 67.9(±2.0) | 130(±4) | ||
222Rn activity in two-phase samples with Mineral Oil Scintillator
| Mineral Oil Scintillator ROI: 625-875 ch | Spiked with A(226Ra)=79.34 Bq/L | Spiked with A(226Ra)=396.7 Bq/L | Spiked with A(226Ra)=793.4 Bq/L | ||
|---|---|---|---|---|---|
| Days after sampling | 4.83 | 4.92 | 5 | ||
| Theoretical A(222Rn) (Bq/L)* | 221(±4) | 218(±4) | 215(±4) | ||
| Measured A(222Rn) (Bq/L) | 286(±4) | 414(±6) | 441(±6) | ||
| A(222Rn) sampling (Bq/L) corrected day** on the | 688(±9) | 1010(±13) | 1092(±14) | ||
| 2nd | Days after sampling | 11.08 | 11.17 | 11.25 | |
| Theoretical A(222Rn) (Bq/L) | 71.2(±1.2) | 70.2(±1.2) | 69.1(±1.2) | ||
| Measured A(222Rn) (Bq/L) | 154.2(±2.3) | 204(±3) | 243(±3) | ||
| 3rd | Days after sampling | 31.3 | 31.4 | 31.5 | |
| Theoretical A(222Rn) (Bq/L) | 1.82(±0.03) | 1.79(±0.03) | 1.77(±0.03) | ||
| Measured A(222Rn) (Bq/L) | 93.0(±1.6) | 85.5(±1.5) | 161.7(±2.4) | ||
| 4rd | Days after sampling | 64.1 | 64.2 | 64.2 | |
| Theoretical A(222Rn) (Bq/L) | 0.00479(±0.00008) | 0.00472(±0.00008) | 0.00465(±0.00008) | ||
| Measured A(222Rn) (Bq/L) | 88.8(±1.5) | 74.9(±1.4) | 153.0(±2.3) |
222Rn activity in two-phase samples with Ultima Gold F
| Ultima Gold F ROI: 730-970 ch | Spiked with A(226Ra)=79.34 Bq/L | Spiked with A(226Ra)=396.7 Bq/L | Spiked with A(226Ra)=793.4 Bq/L | ||
|---|---|---|---|---|---|
| Days after sampling | 5.04 | 5.08 | 5.13 | ||
| Theoretical A(222Rn) (Bq/L)* | 183(±3) | 182(±3) | 180(±3) | ||
| Measured A(222Rn) (Bq/L) | 277(±5) | 387(±7) | 415(±7) | ||
| Asampling (222Rn) (Bq/day** L) corrected on the | 691(±12) | 973(±16) | 1051(±18) | ||
| 2nd | Days after sampling | 11.29 | 11.33 | 11.38 | |
| Theoretical A(222Rn) (Bq/L) | 59.0(±1.0) | 58.6(±1.0) | 58.1(±1.0) | ||
| Measured A(222Rn) (Bq/L) | 154.2(±2.8) | 203(±4) | 210(±4) | ||
| 3rd | Days after sampling | 31.5 | 31.5 | 31.6 | |
| Theoretical A(222Rn) (Bq/L) | 1.514(±0.027) | 1.503(±0.026) | 1.492(±0.026) | ||
| Measured A(222Rn) (Bq/L) | 89.9(±1.8) | 99.4(±1.9) | 113.6(±2.2) | ||
| 4th | Days after sampling | 64.3 | 64.3 | 64.4 | |
| Theoretical A(222Rn) (Bq/L) | 0.00397(±0.00007) | 0.00394(±0.00007) | 0.00391(±0.00007) | ||
| Measured A(222Rn) (Bq/L) | 87.1(±1.7) | 91.7(±1.8) | 100.4(±1.9) | ||