Considering radiological concerns for humans, the most serious threats come from radon 222Rn presence in the air, while minor doses can be received from cosmic rays, naturally present radionuclides in the Earth’s crust, and artificial radionuclides emitted by power plants or medical instruments. Elevated content of naturally occurring radioactive isotopes from the 238U and 232Th series (dominantly their respective progenies 226Ra and 228Ra) can be detected even in drinking water, and ingestion of such water is considered potential irradiation risk to human health. It has been determined that 226Ra deposits in the bones and the urinary bladder and increased 226Ra concentrations in drinking water increase the rates of the bladder carcinoma in men and breast cancer and lung cancer in both sexes (1). If tap water contains 226Ra concentrations >110 mBq/L, mortality rate due to bone cancer significantly increases (2), while the incidence of leukaemia correlates with 226Ra concentrations >185 mBq/L in groundwater (3). In turn, 222Rn in drinking water increases human exposure through inhalation (due to dissolved Rn emanation from water) and directly through ingestion. Inhalation of Rn progenies is associated primarily with the increased risk of lung cancer (estimated to account for 89 % of water Rn-related cancer incidences), while ingestion exposure is associated primarily with the elevated risk of colon, liver, and other gastrointestinal tract cancers (estimated to account for 11 % of water Rn-related cancer incidences) (4, 5). All this suggests that 226Ra and 222Rn measurement in drinking water needs to be as accurate and precise as possible to fully access radiological risks and radiation doses received through ingestion and inhalation.
One method that fits the bill is liquid scintillation counting (LSC). It is the most sensitive, widely used, reliable, effective, and suitable method for 222Rn and 226Ra measurement and a variety of purposes, from drinking water monitoring and groundwater radiological assessment to environmental tracer research (6, 7, 8). LSC can measure Ra indirectly through 222Rn measurement, since 222Rn is generated by 226Ra decay inside a scintillation vial and spontaneously extracted to a water-immiscible scintillation cocktail from the aqueous phase (6). Currently the most popular technique for 226Ra determination is low background LSC coupled to α/β discrimination (9). A recent comparison of various analytical methods applied to determine 226Ra in water (alpha, gamma, and liquid scintillation spectrometry) singled out LSC measurements of 226Ra and 228Ra on Quantulus 1220 as the most accurate (10).
Although Rn is Ra progeny, Ra/Rn ratio in groundwater is influenced by Ra concentration in the aquifer rock and Rn emanation coefficient (which depends on temperature and the permeability, organic component, grain size, porosity, moisture content, and internal structure of the aquifer) (11). This ratio tends to strongly favour Ra in groundwater resting on crystalline rocks, which is attributed to geochemical conditions that preferentially mobilise U and/or Ra and to the inert nature of 222Rn (11, 12). Considering that Ra may interfere with the Rn spectra, measurements in waters with higher 226Ra and lower 222Rn content may be prone to error and should take into account variability in the Ra/Rn ratio (whether they are in equilibrium or not).
There are two variations of LSC for 222Rn/226Ra determination – one- and two-phase – which depends on whether the water in a sample is mixed with (emulsified) or separated from the scintillation cocktail. Both are highly sensitive, accurate, and precise, and involve very simple and inexpensive preparation and quick automatic counting of a large number of samples (sample counting time is a few hours maximum, typically about one hour) (9, 13).
The one-phase LSC uses an emulsifying cocktail which ensures sample stability over time but also involves a risk of quenching and interference of other radionuclides naturally present in such homogeneous mixtures (such as 226Ra) with the Rn spectra (14).
The two-phase LSC uses a water-immiscible cocktail, which means that Rn migrates to the organic phase for which it has greater affinity, while more hydrophilic radionuclides such as 226Ra remain in the liquid phase (water) and do not interfere with or have a quenching effect on the measurement (11). An obvious advantage over the one-phase method is that these other radionuclides will not cause erratic 222Rn readings, especially in samples with 222Rn levels below those of other radionuclides (15). The disadvantage is that the transfer of 222Rn into the cocktail (organic phase) may be incomplete, which slightly diminishes its detection efficiency (15). Regardless on the measurement method, it should be mentioned that 222Rn activity is often dominant over all other radionuclides in real water samples (5, 8, 12, 14).
The main intent of this research was to investigate to what extent would 226Ra interfere with 222Rn water measurements with LSC in one- and two-phase samples. The idea was to examine the stability of these samples over two months and compare the performance (in terms of accuracy and reliability) of both variants in indirect determination of 226Ra in water (through 222Rn progeny measurement). Although there are many studies evaluating these LSC variants and their practical application, none has yet attempted to evaluate both based on activity concentrations in samples over two months.
For this purpose we collected water from the public fountain known as Školska česma at the Niška Banja spa (Serbia), which is known for its high levels of Rn reaching several hundreds of Bq/L (16, 17, 18, 19). However, its natural 226Ra content is negligible (~1 Bq/L) (5). All water was collected in a single 1.5 L glass bottle. Water samples were then pipetted into 20 mL glass vials (48 samples in total), and mixed with four scintillation cocktails (samples with each cocktail were prepared in 12 probes): one emulsifying to obtain a homogeneous mixture (one-phase samples) and three different water-immiscible cocktails to ensure separation of the aqueous and organic phase (two-phase samples). All samples were counted on a 1220 QuantulusTM liquid scintillation counter (PerkinElmer, Shelton, CT, USA) to determine its baseline 222Rn content at the sampling moment. Thirty-six of 48 samples were then spiked with standard 226Ra solutions, as recommended for one- and two-phase samples (13), and recounted for several times over a two-month period.
Sample preparation and counter calibration followed the method described by the US Environmental Protection Agency (US EPA) (13), which is appropriate for Rn determination in drinking water from groundwater and surface water sources in both one- and two-phase samples (20). The calibration factor CF (cpm/Bq) (detection efficiency of 222Rn or 226Ra) was determined based on the calibration sample (Ra standard) count:
where S (cpm) is the calibration standard count, B (cpm) background sample count, C (Bq/L) is the concentration of 226Ra standard solution, and V (L) is the volume of the calibration standard per analysed sample (10 mL in our experiments).
The activity concentration of 222Rn [A (Bq/L)] was calculated using the following formula:
where G (cpm) is the sample count and D the decay correction factor for 222Rn. This factor should be calculated for the time between sampling and midpoint of the counting (t), as follows:
For Rn half-life [ T 1/ 2 (222Rn)] we assumed 3.824 days.
Calibration involved preparation of calibration standards (10 mL of distilled water spiked with the known 226Ra activity, mixed with 10 mL of scintillation cocktail, shaken, and set aside for 30 days to attain secular 226Ra/222Rn equilibrium) and background samples (10 mL of distilled water mixed with 10 mL of scintillation cocktail) and was carried out as described earlier (21).
Two-phase samples must be shaken vigorously for a few minutes at least to ensure efficient Rn transfer from water to the organic phase (15). For recounts we repeated shaking and then waited for 2 h for the 226Ra/222Rn equilibrium to restore, as a number of studies have shown that repeated shaking of two-phase 226Ra standard calibration samples before re-counting returns 222Rn and 222Rn progenies into the aqueous phase, which slightly reduces Rn detection efficiency (5–10 %) until the equilibrium is restored (22–23).
The reliability of Rn measurement in water depends greatly on the sampling technique, as inadequate procedure can lead to error. The drinking water we took from the fountain, for example, must not get in contact with air at any point during sampling or storage (24). We minimised Rn desorption by collecting water from a non-aerated spigot and filling a glass beaker (5 L) until it was overflowing, after which we submerged the 1.5 L glass bottle into the beaker upside-down and turned it up slowly to fill it with water and to eliminate any air bubbles (19). We then capped it, still submerged, with a teflon-lined cap.
The 1220 QuantulusTM LSC we used in our experiments is convenient for ultra-low-level measurements because of its own background reduction system that involves a passive shield and active guard detector based on anticoincidence counting (25). Samples with each cocktail were prepared in three probes and measured on LSC for 100 minutes in six cycles.
Rn measurements also depend on the correctly adjusted pulse shape analysis (PSA) parameter (26), whose values range between 1 and 256. Proper PSA settings make it possible to discriminate alpha from beta signals, that is, to measure both alpha and beta activities at the same time by directing alpha and beta signals in two separate spectra (25). The lowest limit of Rn detection on Quantulus can be achieved when optimal PSA value has been experimentally determined, PSA is activated (which greatly reduces alpha backgrounds), and Rn content is calculated from the alpha spectrum (14).
Spectral data were acquired and evaluated with the WinQ and EASYView software (PerkinElmer Life Sciences, Turku, Finland).
The experiments involved the use of a radioactive source, aqueous 226Ra standard (Czech Metrology Institute, Brno, Czech Republic, ref. date 1/10/2013) with certified activity A(226Ra) of 39.67 Bq/mL and combined standard uncertainty of 0.5 %. All experiments were completed in the early 2018. 226Ra progenies had been purified from the standard solution five years earlier to minimise interference from 210Po, 210Pb and 210Bi to max. 4 % (27).
All samples were prepared in high-performance 20 mL glass vials (Perkin Elmer). For the emulsifying scintillation cocktail we used the Ultima Gold AB and for the three water-immiscible cocktails we used High Efficiency Mineral Oil Scintillator, Opti-Fluor O, and Ultima Gold F, all by Perkin Elmer. The Ultima Gold AB cocktail was reported to generate the alpha background spectrum, which suggests that this cocktail contains 226Ra as an impurity (14). The Ultima Gold F cocktail uses di-isopropylnaphtalene (DIN) as solvent and needs more time for a clear phase separation than older (mineral oil or pseudocumene-based) kinds of cocktails but is more suitable for alpha-beta discrimination (6). The High Efficiency Mineral Oil Scintillator cocktail is a mixture of mineral oil (70–75 %) and pseudocumene (25–30 %) (15).
In the mixture of 10 mL of Opti-Fluor O and 10 mL of water, 222Rn partition coefficients for water:cocktail:air are 1:48:2 (28). These coefficients reflect 222Rn detection efficiency, which corresponds to the one third of the CF value (as the alpha spectrum contains 222Rn, 218Po, and 214Po) (29). In our previous research (21) we investigated the dependence of CF on PSA settings (in the range from 30–90) and established that Opti-Fluor O and Mineral Oil had very similar CF in the 30–70 PSA range. Ultima Gold F had a slightly lower CF, while the emulsifying Ultima Gold AB cocktail had about 25 % higher CF than its water-immiscible counterparts.
The experiments were divided in two parts. In the first part, vials with 10 mL of spa water and 10 mL of respective cocktail (48 samples in total) were kept in dark to avoid photoluminescence (this is a common LSC practice, but photoluminescence reactions occur in low-energy regions and would probably not have interfered with the Rn spectra). After 5 h, all 48 samples were measured for mean baseline 222Rn activity concentrations (A0). Moreover, the activities for days ~4 (about one 222Rn half-life), ~9 (two half-lives), and ~31 were also measured in 12 samples that were not spiked with Ra solution.
In the second part, the remaining 36 samples were spiked with 20 μL, 100 μL, or 200 μL of the 226Ra standard, which corresponds to 226Ra activity concentrations of 79.34, 396.7, or 793.4 Bq/L, respectively. Each sample type was prepared in triplicate. These were counted in six cycles of 100 min at different time points (~5, ~11, ~31, and ~64 days after sample preparation), and the obtained counts were used to calculate Rn activity concentrations according to the US EPA method (13).
Based on 222Rn decay, we also calculated its 222Rn progeny activity concentrations (what we refer to as theoretical value) for the mean moment of counting (~5, ~11, ~31, and ~64 days after sample preparation). Since Rn/Ra equilibrium occurs after ~30 days, the measurements on days 31 and 64 in fact enabled determination of 226Ra activity concentration.
The following subsection describes the optimisation of the alpha/beta discrimination circuit that can be applied for Perkin Elmer instruments. Conventional recommendation for optimum PSA setting involves counting of pure alpha and beta calibration samples (often 214Am and 90Sr) and adjusting PSA where the spillover of alpha pulses into the beta spectrum and vice versa is equal and minimal (19). A PSA discriminator set in this manner is to some extent inadequate for 222Rn determination by an LS counter, since PSA can be more precisely regulated with a 222Rn standard, provided that the lowest beta spillover and alpha-to-beta count ratio match the theoretical value (15). The third possibility is the simplest but not as precise as the previous two. It requires recording the dependence of CF on PSA and selection of a working PSA discriminator within the range in which CF factor does not vary significantly (7, 29). This technique provides an optimal range for PSA selection, even though its value may lower the counting precision for up to a few percent, but the advantage is that this range does not vary significantly between different scintillation cocktails. We therefore made one experiment to obtain the optimal PSA range setting and used it for all scintillation cocktails as described below.
Figure 1 represents CF dependence on the chosen PSA value, which shifted in the experiments across its range from 1 to 256. The calibration factor CF (detection efficiency for 222Rn, 218Po, and 214Po radionuclides) was consistent for all 226Ra concentration activities. Similar CF dependencies on PSA values have been reported by other authors (6, 7, 29). It is clear that CF plateaus when PSA values are set between 40 and 90. Consequently, all measurements presented in this paper were performed with PSA set at 70.

CF dependence on PSA value across its range (samples prepared with the Ultima Gold AB cocktail and spiked with different 226Ra activities)
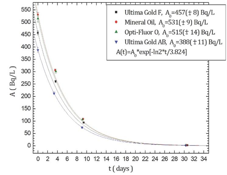
The first line of experiments established the accuracy of one- and two-phase LSC methods. Our findings seem to support earlier observations that Mineral Oil yields an overestimate and Ultima Gold AB an underestimate of 222Rn activity concentrations (21), although the variability of our results excludes definitive conclusion on this point. Figure 2 shows measured 222Rn activity concentrations at baseline (A0) and on days 4, 9, and 31 after sample preparation as well as theoretical 222Rn concentrations calculated with radioactive decay formula. The consistency between these calculated theoretical predictions and 222Rn activity concentrations measured on day 4, 9, and 31 for all scintillation cocktails confirms the reliability of the LSC methods to measure 222Rn in water samples.

Accuracy of LSC methods for 222Rn measurement in non-spiked Niška Banja spa water. A0 – baseline activity measured 5 h after the samples were prepared and corrected for decay over this time
Considering the limits of detection for measuring 222Rn and 226Ra laid down by the Council Directive 2013/51/ EURATOM (30), the methods used should be able to detect activity concentrations as low as 10 Bq/L and 40 mBq/L, respectively (30). In our earlier report (21) minimal detectable activities (MDA) for 222Rn over 300 minutes of counting were 38 mBq/L for Ultima Gold AB, 104 mBq/L for Ultima Gold F, 65 mBq/L for Mineral Oil, and 104 mBq/L for OptiFluor O, which shows that LSC methods are suitable for both direct 222Rn and indirect 226Ra detection, since the required MDA of 40 mBq/L for the latter is easily achievable if longer counting times are applied.
The average 222Rn activity concentration in the baseline (A0) spa water samples was 473(±65) Bq/L (average of four A0 values in all four cocktails, Figure 2). Relying on the law of radioactive decay, we used four functions from Figure 2 to predict Rn activity over time. As mentioned before, the theoretical 222Rn activity of the spa water was calculated based on decay at the moment of counting. Tables 1–4 show mean baseline, measured, and theoretical 222Rn activity concentrations 5, 11, 31, and 64 days after sampling.
222Rn activity in two-phase samples with Mineral Oil Scintillator
| Mineral Oil Scintillator ROI: 625-875 ch | Spiked with A(226Ra)=79.34 Bq/L | Spiked with A(226Ra)=396.7 Bq/L | Spiked with A(226Ra)=793.4 Bq/L | ||
|---|---|---|---|---|---|
| Days after sampling | 4.83 | 4.92 | 5 | ||
| Theoretical A(222Rn) (Bq/L)* | 221(±4) | 218(±4) | 215(±4) | ||
| Measured A(222Rn) (Bq/L) | 286(±4) | 414(±6) | 441(±6) | ||
| A(222Rn) sampling (Bq/L) corrected day** on the | 688(±9) | 1010(±13) | 1092(±14) | ||
| 2nd | Days after sampling | 11.08 | 11.17 | 11.25 | |
| Theoretical A(222Rn) (Bq/L) | 71.2(±1.2) | 70.2(±1.2) | 69.1(±1.2) | ||
| Measured A(222Rn) (Bq/L) | 154.2(±2.3) | 204(±3) | 243(±3) | ||
| 3rd | Days after sampling | 31.3 | 31.4 | 31.5 | |
| Theoretical A(222Rn) (Bq/L) | 1.82(±0.03) | 1.79(±0.03) | 1.77(±0.03) | ||
| Measured A(222Rn) (Bq/L) | 93.0(±1.6) | 85.5(±1.5) | 161.7(±2.4) | ||
| 4rd | Days after sampling | 64.1 | 64.2 | 64.2 | |
| Theoretical A(222Rn) (Bq/L) | 0.00479(±0.00008) | 0.00472(±0.00008) | 0.00465(±0.00008) | ||
| Measured A(222Rn) (Bq/L) | 88.8(±1.5) | 74.9(±1.4) | 153.0(±2.3) |
* Theoretical A(222Rn) represents the measured activity corrected for the sampling time.** Decay corrections five days after sampling lead to extremely high A(222Rn) values (compared to theoretical A and spiked 226Ra activity), which is why these corrected values were not calculated in further measurements
222Rn activity in two-phase samples with Opti-Fluor O
| Opti-Fluor O ROI: 650-910 ch | Spiked with A(226Ra)=79.34 Bq/L | Spiked with A(226Ra)=396.7 Bq/L | Spiked with A(226Ra)=793.4 Bq/L | ||
|---|---|---|---|---|---|
| Days after sampling | 5.15 | 5.19 | 5.23 | ||
| Theoretical (Bq/L)* A(222Rn) | 203(±6) | 201(±5) | 200(±5) | ||
| Measured A(222Rn) (Bq/L) | 260(±7) | 366(±9) | 394(±10) | ||
| Aon (222the Rn) sampling (Bq/L) corrected day** | 661(±17) | 937(±24) | 1016(±26) | ||
| 2nd | Days after sampling | 11.40 | 11.44 | 11.48 | |
| Theoretical A(222Rn) (Bq/L) | 65.3(±1.8) | 64.8(±1.8) | 64.3(±1.7) | ||
| Measured A(222Rn) (Bq/L) | 140(±4) | 171(±5) | 206(±5) | ||
| 3rd | Days after sampling | 31.6 | 31.7 | 31.7 | |
| Theoretical A(222Rn) (Bq/L) | 1.67(±0.05) | 1.66(±0.05) | 1.64(±0.04) | ||
| Measured A(222Rn) (Bq/L) | 85.6(±2.4) | 68.0(±2.0) | 127(±3) | ||
| 4th | Days after sampling | 64.4 | 64.4 | 64.5 | |
| Theoretical A(222Rn) (Bq/L) | 0.00439(±0.00012) | 0.00436(±0.00012) | 0.00432(±0.00012) | ||
| Measured A(222Rn) (Bq/L) | 66.3(±1.9) | 67.9(±2.0) | 130(±4) | ||
* Theoretical A(222Rn) represents the measured activity corrected for the sampling time. ** Decay corrections five days after sampling lead to extremely high A(222Rn) values (compared to theoretical A and spiked 226Ra activity), which is why these corrected values were not calculated in further measurements
222Rn activity in two-phase samples with Ultima Gold F
| Ultima Gold F ROI: 730-970 ch | Spiked with A(226Ra)=79.34 Bq/L | Spiked with A(226Ra)=396.7 Bq/L | Spiked with A(226Ra)=793.4 Bq/L | ||
|---|---|---|---|---|---|
| Days after sampling | 5.04 | 5.08 | 5.13 | ||
| Theoretical A(222Rn) (Bq/L)* | 183(±3) | 182(±3) | 180(±3) | ||
| Measured A(222Rn) (Bq/L) | 277(±5) | 387(±7) | 415(±7) | ||
| Asampling (222Rn) (Bq/day** L) corrected on the | 691(±12) | 973(±16) | 1051(±18) | ||
| 2nd | Days after sampling | 11.29 | 11.33 | 11.38 | |
| Theoretical A(222Rn) (Bq/L) | 59.0(±1.0) | 58.6(±1.0) | 58.1(±1.0) | ||
| Measured A(222Rn) (Bq/L) | 154.2(±2.8) | 203(±4) | 210(±4) | ||
| 3rd | Days after sampling | 31.5 | 31.5 | 31.6 | |
| Theoretical A(222Rn) (Bq/L) | 1.514(±0.027) | 1.503(±0.026) | 1.492(±0.026) | ||
| Measured A(222Rn) (Bq/L) | 89.9(±1.8) | 99.4(±1.9) | 113.6(±2.2) | ||
| 4th | Days after sampling | 64.3 | 64.3 | 64.4 | |
| Theoretical A(222Rn) (Bq/L) | 0.00397(±0.00007) | 0.00394(±0.00007) | 0.00391(±0.00007) | ||
| Measured A(222Rn) (Bq/L) | 87.1(±1.7) | 91.7(±1.8) | 100.4(±1.9) | ||
* Theoretical A(222Rn) represents the measured activity corrected for the sampling time. ** Decay corrections five days after sampling lead to extremely high A(222Rn) values (compared to theoretical A and spiked 226Ra activity), which is why these corrected values were not calculated in further measurements
222Rn activity in one-phase samples with Ultima Gold AB
| Ultima Gold AB ROI: 430-790 ch | Spiked with A(226Ra)=79.34 Bq/L | Spiked with A(226Ra)=396.7 Bq/L | Spiked with A(226Ra)=793.4 Bq/L | ||
|---|---|---|---|---|---|
| Days after sampling | 4.60 | 4.69 | 4.77 | ||
| Theoretical A(222Rn) (Bq/L)* | 168(±5) | 166(±5) | 163(±5) | ||
| Measured A(222Rn) (Bq/L) | 216(±5) | 441(±11) | 723(±18) | ||
| Asampling (222Rn) (Bq/day** L) corrected on the | 498(±13) | 1031(±26) | 1718(±42) | ||
| 2nd | Days after sampling | 10.85 | 10.94 | 11.00 | |
| Theoretical A(222Rn) (Bq/L) | 54.2(±1.5) | 53.4(±1.5) | 52.6(±1.5) | ||
| Measured A(222Rn) (Bq/L) | 130(±3) | 442(±11) | 838(±21) | ||
| 3rd | Days after sampling | 31.1 | 31.2 | 31.2 | |
| Theoretical A(222Rn) (Bq/L) | 1.39(±0.04) | 1.37(±0.04) | 1.35(±0.04) | ||
| Measured A(222Rn) (Bq/L) | 88.16(±0.23) | 430(±11) | 863(±21) | ||
| 4th | Days after sampling | 63.9 | 63.9 | 64.0 | |
| Theoretical A(222Rn) (Bq/L) | 0.00365(±0.00010) | 0.00359(±0.00010) | 0.00354(±0.00010) | ||
| Measured A(222Rn) (Bq/L) | 87.6(±2.3) | 425(±11) | 842(±21) | ||
* Theoretical A(222Rn) represents the measured activity corrected for the sampling time. ** Decay corrections five days after sampling lead to extremely high A(222Rn) values (compared to theoretical A and spiked 226Ra activity), which is why these corrected values were not calculated in further measurements
The first two measurements were carried out while 226Ra and 222Rn were still not in the equilibrium, but on the third and the fourth measurement the equilibrium was there (after 30 days or eight 222Rn half-lives). The latter measurements made it possible to evaluate the accuracy of LSC in one- and two-phase samples, since the original, naturally occurring 222Rn from the spa water had completely decayed by that time and any leftover 222Rn activity measured in these samples is therefore the result of the decay of spiked 226Ra standard. The baseline theoretical 222Rn activity represents measured activity corrected for sampling date and time, while all other values were derived from the law of radioactive decay. The activity concentration in the first measurement, made about five days after sampling, was corrected with respect to 222Rn half-life in order to evaluate to which extent 226Ra presence influenced 222Rn results. These corrections were not carried out for other measurements, simply because it is not common laboratory practice to wait for more than two half-lives of a radionuclide of interest to count the samples, and it is clear that such corrected values would be enormous because of high spiked 226Ra activities.
Tables 1–3 showing measurements in two-phase samples reveal no substantial differences between the cocktails. The results obtained for samples with the lowest spiked 226Ra concentration (79.34 Bq/L) were satisfactory for all three cocktails and for all four dates of counting, which indicates that Ra interferes with the Rn spectra because of the migration of its Rn progeny from the aqueous to the organic phase. With higher spiked 226Ra concentrations (396.7 Bq/L and 793.4 Bq/L), however, it is clear that only a smaller fraction of 226Ra presence (one fourth to one fifth) can be detected in samples with radioactive equilibrium, regardless on the measurement day. It is possible that some saturation effect occurs that limits Rn transfer to the organic phase. This is an interesting hypothesis that should be verified in a larger number of samples with different higher 226Ra concentrations for better statistics.
The lowest activity concentrations were obtained with the Opti-Fluor O cocktail (Table 2), which points to the lowest interference from Ra decay. Namely, even with 226Ra and 222Rn in equilibrium, only about one fifth of 222Rn from 226Ra decay entered the organic phase.
This brings us to the main conclusion about two-phase samples, namely that Ra progeny 222Rn entering the organic phase interferes with measuring the original Rn activity in a sample.
On the other hand, some of the obtained activities slightly exceed spiked 226Ra content, even in the fourth measurement when all radon from the sample had decayed. The explanation lies in inadequately adjusted PSA (PSA=70 was probably not optimal value for the samples prepared with selected cocktails). If the activity concentration exceeds spiked 226Ra concentration, there has been a spill of beta particles into the alpha spectrum during counting.
Ra interference is even more evident in one-phase LSC samples, especially before Rn/Ra equilibrium was achieved. The obtained activities with the Ultima Gold AB cocktail were close to 226Ra + 222Rn cumulative activities, while two-phase samples (regardless of the cocktail) gave much lower activity concentrations. Obviously, the two-phase method provides more accurate 222Rn measurements in the presence of high 226Ra content in samples if counting is performed in the first few days after the sampling, that is, before radioactive equilibrium is achieved.
The one-phase method offers a more reliable indirect assessment of 226Ra concentration later, when radioactive equilibrium is achieved, while the two-phase LSC had satisfying accuracy only with the lowest spiked 226Ra concentration. At higher spiked activity concentrations all three water-immiscible cocktails showed some kind of “saturation” limit that allows only so much of Ra in the form of its 222Rn progeny to enter the organic phase from water when the 222Rn/226Ra equilibrium is reached.
What this research suggests, however, is that LS counts in one-phase samples can be precise if the PSA level is set correctly. An even more precise, yet indirect, measurement of native 222Rn (i.e. not the Ra progeny) would involve purging it from a water sample with nitrogen or argon or by boiling it to evaporate. The obtained “background” sample would then contain only the remaining radionuclides and serve to measure 226Ra activity concentration (if the presence of other radionuclides can be excluded by some other chemical pre-treatments), which can be deducted from the baseline measurement in the one-phase sample. However, this would take more time and resources.
Speaking of 226Ra activities, we would also like to address the issue of extremely high findings compared to the ones in the non-spiked samples. The purpose of our experiments was to investigate the effect Ra on the accuracy of native 222Rn measurements, which, we assumed, would be the most obvious if spiking involved high 226Ra activities, and we were right about that, but interference rendered these measurements completely useless (which is why we did not use them in analysis). Further research would, therefore, do better by exploring the demonstrated phenomena in the presence of much lower 226Ra activities than the ones we used for spiking.
Throughout the measurements we noticed that the spectra of the spiked samples broadened over time (expanding partly into the lower-channel region). We therefore had to recalibrate and recalculate all results in Tables 1–4 for a wider ROI (given in each table), for which we repeated calibration procedure as described elsewhere (21). Changes in the spectral shape for all four cocktails are presented in Figure 3. The initial ROI expanded for approximately 100 channels towards the lower energy region. Figure 3b shows the peaks of certain radionuclides relevant for all other spectra.

Generated spectra with the four scintillation cocktails in non-spiked spa water sample at baseline (red) and samples spiked with the lowest 226Ra activity concentration (79 Bq/L) on days 5 (green), 11 (brown), 31 (blue), and 64 (black). a) Mineral Oil, original ROI: 725–875, expanded ROI: 625–875 ch; b) Opti-Fluor O, original ROI: 760–910 ch, expanded ROI: 650–910 ch; c) Ultima Gold F, original ROI: 830–970 ch, expanded ROI: 730–970 ch; d) Ultima Gold AB, original ROI: 600–790 ch, expanded ROI: 430–790 ch; ROI – region of interest
One of the reasons why the spectral shapes evolved diversely (still following a similar pattern) between the water-immiscible cocktails was unequal transfer of 210Po from the 226Ra standard solution to different organic cocktails, which appears as the 222Rn + 218Po peak broadening to the left (15, 27). The greatest affinity of 210Po for the organic phase was observed in the Mineral Oil Scintillator (15). This broadening to the left also indicates that alpha energies were absorbed in water at the interface (15). Smaller discrepancies between the three water-immiscible cocktails can also be the result of different 210Pb and 210Bi transfer to the organic phase during shaking (15). It is also possible that shaking does not achieve 100 % water-to-cocktail transfer of 222Rn progeny of 226Ra from the standard solution in all cocktails over time, and that short-lived progenies of 222Rn, 214Pb and 214Bi, migrate differently from various cocktails to the water phase (these effects could lower detection efficiency by up to several percent) (15).
In similar experiments, spectral evolution of 226Ra over five months was a result of the presence of several radionuclides in disequilibrium between the two phases, whose spectra overlapped. However, the counts varied within the 5 % margin (31). The instability of the two-phase samples over longer periods of time is owed to radiological and chemical equilibration between the liquid (water), cocktail (organic), and air (gaseous) phases, which are affected by vial shaking, temperature, type of cocktail and vial, and by the presence of a carrier that reduces accumulation of long-lived progeny on the glass walls of the vial (22). The 226Ra standard solution used in this study contains Ba as a carrier (the solution is composed of 1 g/L of BaCl2 + 10 g/L of HCl), and it was determined earlier that 210Pb can migrate to the water phase if the glass and the cocktail phase are saturated with the carrier (15).
Glass vial fluorescence generates low-energy peaks in the alpha spectrum in channels 1–300 (32), but it is also possible that some of the beta particles spilled over to the alpha spectrum (Cherenkov effect of beta progenies, dominantly 210Bi) if PSA was not precisely adjusted.
During all LSC measurements, we monitored the quench parameter, since quenching can greatly impact detection efficiency and spectral shape. The vials were tightly sealed all the time to exclude oxygen as potential quencher. We observed no spectral shift owed to quenching in the 226Ra standard solution investigated in an earlier research (26) (Figure 3), nor did the spectral quench parameter of the external standard [SPQ(E)] alter significantly, which is a reliable indicator that quenching did not occur in our experiments.
However, sample stability and the overall spectral evolution presented in Figure 3 were certainly affected by the chemical composition of the spa water sample, which depends on local geology.
The fact that spectral evolution was unique for each cocktail points out that calibration can be challenging if measurements span across longer periods of time and calls for careful consideration.
The experiments presented in this paper are innovative, as their results not only confirm the well-known theory but also provide some new insights into the familiar LSC practice.
LSC in one-phase samples gives more precise and reliable 222Rn concentrations than in two-phase samples in general, but it does not discriminate between Rn originally present in the sample and Rn produced by 226Ra decay (Ra interference depends on the achieved degree of Ra/Rn equilibrium). The two-phase LSC yields more accurate measurements of native 222Rn activity concentrations than one-phase LSC, as 226Ra contribution through its 222Rn progeny is much smaller. However, the one-phase method is better for indirect 226Ra measurement (30 days after sampling) because the organic phase of water-immiscible cocktails can be saturated and not receive all 222Rn progeny of Ra, which calls for further investigation. In addition, spectral evolution of 226Ra samples and the instability of the two-phase samples makes calibration rather challenging if measurements should span over longer time periods.
What we have also learned from our experiments is that samples with naturally high 222Rn content should not be spiked with 226Ra activities higher than the ones found in native samples. Further research would require much lower 226Ra activities for spiking to provide more practical answers to questions arising from the demonstrated phenomena.