Chemical compounds belonging to the phenol group are classified as arenes, their structure contains one or more hydroxyl groups directly bonded to an aromatic ring through a carbon atom with sp2 hybridization. The acidic character of phenol results from the conjugation of the oxygen atom is lone electron pairs with the aromatic ring, which leads to a delocalization of the negative charge while simultaneously enhancing the polarization of the O–H bond [1]. Phenol is presented as a model aromatic compound upon which the entire group is based, with the molecule adopting a planar structure [2]. It is characterized by a sharp odor and occurs as a crystalline solid, either colorless or white in appearance. Moreover, as a result of partial oxidation upon exposure to light and air, it takes on a pink coloration. The melting point of phenol is 40–42°C, while its boiling point ranges from 180 to 182°C [3]. It dissolves well in organic solvents such as ethanol and chloroform. It is moderately soluble in water, however, its solubility increases with rising temperature, which is associated with the formation of intermolecular hydrogen bonds [1]. The solubility of phenol in water is approximately 83 g/dm3, while alkyl or halogen groups contribute to a decrease in solubility to as low as 30 g/dm3. Additionally, ortho isomers are less soluble in water than meta and para isomers due to the possibility of hydrogen bond formation between the hydroxyl group and substituents [1].
Compounds belonging to the phenol group are widely utilized in various industrial sectors such as the coking, petrochemical, plastics, and textile industries [4]. They may also originate from the production of synthetic resins, dyes, and pesticides [5]. Phenol is employed in the polymer industry and serves as a raw material for the synthesis of other phenolic compounds, including nonylphenol (NP), bisphenol A (BPA), and caprolactam [6]. Numerous everyday consumer products contain phenolic compounds, and they can be present in ointments, cold sore creams, or dental pain medications. It has also been found that phenol may be present in smoked sausages and certain species of fish [6]. Alkylphenols (APs), on the other hand, belong to non-ionic surfactants and are used both in household products and industrial applications. The activity and hydrophilic nature of these compounds are associated with the presence of long side chains containing repeating units such as ethylene oxide or propylene oxide. Phenolic compounds also occur naturally in the environment as components of crude oil. They are formed through the oxidation of aromatic substances or the natural decomposition of materials such as lignin [7]. Polyphenols present in plants are known for their strong antioxidant properties, with observed correlations between polyphenol-rich foods and a reduced risk of chronic diseases [8].
The widespread use of phenol and its derivatives poses a significant threat to both the environment and human health [9]. It has been demonstrated that phenol exhibits strong carcinogenic effects [10], toxic and endocrine-disrupting properties, and can persistently accumulate in organisms inhabiting aquatic ecosystems [11]. Phenol can severely damage the human nervous system as well as other organs [11]. Exposure to high concentrations of phenol through inhalation or skin contact may affect the central nervous system, lungs, liver, heart, and kidneys. Additionally, phenol can contribute to respiratory problems, heart dysfunction, and damage to the lungs and kidneys [12]. Exposure to phenolic compounds may cause eye and skin burns and exert corrosive effects on the respiratory tract. Prolonged exposure to phenol can lead to fetal weight loss and developmental abnormalities [13]. Nonylphenol (NP), on the other hand, may be present in personal care products, textiles, polymers, paints, pesticides, pharmaceuticals, detergents, and more. It can lead to numerous adverse effects such as abnormal cell proliferation, DNA damage, reproductive system impairment, increased male infertility, and reduced fertility capacity [14].
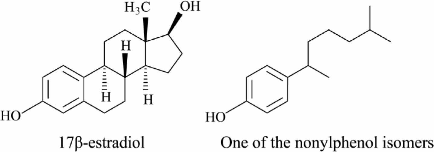
Alkylphenols (APs) exhibit high bioconcentration factors (BCF) due to their low biodegradability. At the same time, some alkylphenols are classified as xenoestrogens (from Greek “xeno”, meaning “foreign”), a group of chemical compounds capable of affecting the endocrine system because of their action closely resembling that of endogenous and synthetic estrogens. Endocrine-disrupting chemicals may include substances such as nonylphenol (NP), bisphenol A (BPA), pharmaceuticals, phytoestrogens, mycoestrogens, and metalloestrogens [15]. Xenoestrogens, due to their structural similarity to natural hormones, which have a steroidal structure based on a 17-carbon aromatic-alicyclic hydrocarbon (Fig. 1), compete with natural hormones for binding sites on estrogen receptors (ER) [16]. They may antagonize the metabolic interaction between the ligand and the estrogen receptor while simultaneously disrupting the synthesis of estrogen receptors and endogenous hormones. Xenoestrogens deregulate estradiol (E2) signaling through ERα or ERβ by binding to estrogen receptors with chemical affinity, thereby blocking the receptor, which is not stimulated to migrate from the cytoplasm to the nucleus where gene expression activation occurs [17] (Fig. 2). Compounds mimicking estrogen activity destabilize hormonal processes, potentially contributing to the development of hormone-dependent cancers and leading to abnormalities related to the reproductive system [18]. Moreover, older generation pharmaceuticals containing E2 are resistant to biodegradation and persist in the natural environment due to their bioaccumulative properties. Nevertheless, this characteristic may be exploited in the search for chemical compounds that could serve as alternative treatments for hormone-dependent cancers [17]. This approach was presented in the publication by Moujane et al. [19], which reported research findings on the search for conventional treatments for cervical cancer. Experiments were conducted on Wistar rats fed with an aqueous leaf extract of Retama sphaerocarpa (RS-AE). Eleven phenolic compounds were isolated from RS-AE, which during the study did not exhibit acute or elevated toxicity, while simultaneously demonstrating high affinity for the E6 oncoprotein of HPV 16 [19]. It has been shown that E2, through activation of ERβ receptors in the brain, plays a significant role in brain development regarding synaptic plasticity, metabolism, cognition, anxiety, differentiation, and body temperature regulation. Therefore, the presence of xenoestrogens in the environment may exacerbate various neurological diseases. Furthermore, in brain disorders such as ADHD and autism, they may cause early ischemic damage [20]. Accordingly, the accumulation of xenoestrogens in adipose tissue necessitates their removal through biodegradation in all ecosystems.

Comparison of the structure of 17β-estradiol with NF (one of the nonylphenol isomers) [16]

Ligand-receptor interaction in an agonistic and antagonistic manner [21]
Phenolic compounds, along with pharmaceuticals, hormones, pesticides, and insecticides, have the potential to cause persistent contamination of ecosystems [6]. These substances are often biologically active and affect the fundamental functions of living organisms [22]. Furthermore, the increasing prevalence of estrogen-based pharmaceuticals leads to the release of these substances, including xenoestrogens, into the natural environment [23]. Compounds containing a phenolic group that are also classified as xenoestrogens, such as nonylphenol (NP), octylphenol (OP), and bisphenol A (BPA), are well known for their activity affecting the endocrine system in humans and animals. Moreover, phenol-based compounds and their derivatives can exert toxic effects on a wide range of microorganisms, leading to severe and long-lasting consequences. In some cases, during the biodegradation of these compounds, substances that are even more toxic than the original phenolic compounds are generated. Phenol also exhibits potent carcinogenic and endocrine-disrupting properties and may cause damage to the liver and red blood cells [24].
Industrial wastewater containing persistent pollutants, including phenols, can have a significant impact on aquatic ecosystems. Furthermore, these pollutants may be present in municipal sewage sludge, which is used in agriculture or for land reclamation by applying the sludge to soil. As a result, persistent chemical pollutants such as phenols or alkylphenols (APs) may be present across all ecosystems, exerting significant impacts due to their properties and their ability to accumulate in the natural environment.
Therefore, it is of paramount importance to eliminate pollutants discharged into the natural environment that can accumulate and pose a risk of entering the human food chain. Nowadays, an increasing number of studies are being conducted in the water and wastewater sector concerning endocrine-disrupting chemical compounds [25]. An insufficient degree of removal of these contaminants may lead to soil or surface water pollution, inhibiting self-purification processes even at low concentrations. Currently, the degradation of phenolic compounds to concentration levels in the mg/dm3 range is insufficient, as these pollutants exhibit toxic effects on ecosystems even at concentrations in the ng/dm3 or μg/dm3 range [6].
Biological methods for the removal of phenolic compounds from wastewater can be divided into microbiological and enzymatic approaches, which are the focus of this publication [24]. Microbiological methods utilize pollutants, including phenolic compounds, as carbon sources, often leading to effective mineralization into CO2 and H2O. This gives biological methods a significant advantage over physicochemical approaches due to their sustainable and environmentally friendly nature, without causing secondary pollution. Another essential aspect of microbiological methods is their relatively low operational cost. The removal of hazardous compounds such as phenol using microorganisms can take place under either aerobic or anaerobic conditions. Phenolic compounds with fewer halogen substituents are more readily biodegradable under aerobic conditions. However, it should be emphasized that anaerobic methods are better used for the degradation of chlorinated phenols. A lack of aeration costs, small biomass growth, and concurrent methane recovery characterizes anaerobic methods.
Nonetheless, it should not be overlooked that phenol and its derivatives can exert toxic effects on many microorganisms, which consequently may reduce the efficiency of biodegradation. Occasionally, the biodegradation of phenolic compounds may result in the formation of even more toxic metabolites, which can induce DNA damage or inhibit ATP synthesis in living cells. Furthermore, it is essential to emphasize that phenol substituted with halogen groups enhances the structural stability of the aromatic ring, thereby hindering enzymatic degradation, a crucial step in the biodegradation process of these compounds. Accordingly, the selection and investigation of appropriate bacterial or fungal strains, whose metabolism enables effective biodegradation of phenolic compounds, is of critical importance. A comprehensive approach to phenol biodegradation has already been extensively presented in the publication by Panigrahy et al. [26].
This publication reviews the most recent findings on the application of bacteria, yeasts, and fungi, as well as bioaugmentation and hybrid techniques, for the degradation of phenolic compounds. These methods could be inserted in wastewater treatment plants to enhance treatment efficiency, which consequently may contribute to the improvement of ecosystem quality and ecological balance.
An overview of the literature on phenol biodegradation using bacteria indicates that bacterial strains from the genera Pseudomonas and Bacillus are most frequently studied. The literature also describes the potential for phenol biodegradation using pure bacterial cultures such as Acinetobacter sp., Pseudomonas putida [4]. The classical pathway of phenol biodegradation involves its initial transformation through the incorporation of a hydroxyl group in the presence of phenol monooxygenase, resulting in the formation of catechol. Ring cleavage of the benzene ring may occur via meta or ortho oxidation [27]. Ortho-cleavage of catechol results in succinate and acetyl-CoA as final products, whereas meta-cleavage leads to the formation of acetaldehyde and pyruvic acid [28]. It should be noted that aerobic methods have inherent limitations due to the inhibition of microbial growth associated with increasing concentrations of pollutants containing phenol and its derivatives.
Liwarska-Bizukojć et al. [29] applied the activated sludge method for the degradation of 17α-ethinylestradiol (EE2), diclofenac (DCF), and 4-nonylphenol (4NP). The experimental setup consisted of an activated sludge chamber, into which synthetic wastewater was dosed at an average flow rate of 7 dm3/day. The process of cultivating and acclimating the activated sludge to synthetic wastewater was carried out over an 8-day period. The second phase of the study (8 days) involved the adaptation of the activated sludge to operation in the presence of one of the aforementioned active substances, each at a concentration of 10 μg/dm3. In the case of 4-nonylphenol, the study results demonstrated good adaptation of the activated sludge, achieving a removal efficiency of 70%.
Meanwhile, Kamińska et al. [22] investigated the removal efficiency of anthracene, benzo[a]pyrene, octylphenol, nonylphenol, and carbamazepine during mechanical-biological wastewater treatment. The removal efficiency of the aforementioned substances was monitored in three wastewater treatment plants (designated A, B, and C) located in the Silesian Voivodeship, Poland. Treatment plant A was characterized by the highest capacity of 170319 population equivalents (PE) with an average flow rate of 32922 m3/day, receiving industrial wastewater accounting for 6.6% of the total volume. Conversely treatment plants B (with no data available on the types of influent wastewater) and C (treating domestic and communal wastewater) had lower capacities of 12200 and 26000 population equivalents (PE), respectively, with average flow rates of 18678 m3/day and 3948 m3/day. The analysis of active substances content was conducted on grab samples of raw wastewater, post-mechanical treatment, and treated effluent. The concentration ranges for anthracene, benzo[a]pyrene, octylphenol, nonylphenol, and carbamazepine were 39–62.2 μg/dm3, 9.1–15.87 μg/dm3, 0.93–6.6 μg/dm3, 1.19–9.56 μg/dm3, and below detection limit to 0.98 μg/dm3, respectively. The removal efficiency of the analyzed active substances ranged from 17% to 100%. The lowest degradation efficiency was observed for octylphenol in treatment plant B, while the highest was noted for anthracene ranging from 75% (treatment plant A) to 95% (treatment plant C) and for nonylphenol, ranging from 73% (treatment plant B) to 100% (treatment plant A). Based on the collected results, the treatment plants were summarized and ranked according to their removal efficiency of the analyzed active substances in the following order: C > A > B. The highest treatment efficiency for the substances mentioned above was achieved at treatment plant C, which did not receive industrial wastewater and maintained the highest sludge age.
The acclimation of activated sludge to the presence of chemical pollutants in the influent wastewater enables improved biomass growth and enhances the efficiency of pollutant biodegradation. This was confirmed in the study conducted by Panigrahy et al. [30], where isolated cultures of Pseudomonas citronellolis NS1 bacteria from industrial wastewater, originating from coke oven operations were used. These bacteria demonstrated the ability to degrade phenols at an initial concentration of 1500 mg/dm3 with an efficiency of up to 98.5%, within 90 hours.
The study presented by Dankaka et al. [27] involved the investigation of phenol biodegradation using two different bacterial strains isolated from petroleum-contaminated soil, Acinetobacter baumannii and Citrobacter sedlakii. The results for the Acinetobacter baumannii strain demonstrated that phenol at an initial concentration of 500 mg/dm3 could be reduced to 121.34 mg/dm3, corresponding to a removal efficiency of 75.7%. In contrast, at an initial concentration of 1000 mg/dm3, phenol was reduced to 205.45 mg/dm3, corresponding to a removal efficiency of 79.5%. At the same time, a decrease in the biodegradation rate was observed with increasing initial phenol concentration. In contrast, the application of the Citrobacter sedlakii strain resulted in higher phenol removal efficiency from wastewater. In this case, for an initial phenol concentration of 500 mg/dm3, the concentration was reduced to 67.7 mg/dm3 (86.5%), and for 1000 mg/dm3, to 120.57 mg/dm3 (87.9%), while simultaneously a reduction in the growth rate of the Citrobacter sedlakii strain was observed. These results confirm that bacterial strains isolated from contaminated soil are capable of efficiently degrading phenol, which serves as both an energy and carbon source.
Huang et al. [31] investigated phenol biodegradation using the isolated bacterial strain Acinetobacter pittii Hly3. It was found that this strain exhibits significant potential for the complete degradation of phenol, even at concentrations as high as 1700 mg/dm3, within 56 hours. The degradation pathway was shown to involve the enzymes 2,3-dioxygenase and phenol hydroxylase. Strain Hly3 demonstrated high degradation efficiency across a wide range of pH levels, temperatures, and salinity conditions. At an initial phenol concentration of 1200 mg/dm3, complete degradation was achieved within 32 hours, at an optimal pH of 7. However, the phenol removal rate decreased with decreasing pH. For example, at pH 3 and the same initial phenol concentration, complete removal occurred within 36 hours. The study also examined the influence of temperature on the degradation capacity of strain Hly3. The highest bacterial growth rate, along with complete degradation of phenol at an initial concentration of 1200 mg/dm3, was observed at 32°C, within 29 hours. Additionally, strain Hly3 showed the ability to completely degrade phenol at an initial concentration of 1200 mg/dm3 in a highly saline environment containing 3% NaCl, within 36 hours.
In turn, the team led by Zhang et al. [32] conducted aerobic biodegradation using the Cupriavidus nantongensis X1 strain, which was isolated from activated sludge in Jiangsu, China. The study focused on determining the optimal cultivation conditions for the bacteria, taking into account temperature, pH, and the presence of metal ions such as Na+, K+, Zn2+, Cd2+, Ca2+, and Mn2+. The results showed complete removal of phenol at a concentration of 1.5 mM, within 32 hours, under conditions of pH 7 and a temperature of 30°C. Observations indicated that the X1 strain was unable to degrade phenol during the initial 12 hours of the experiment, which may indicate the significant role of microbial adaptation to process conditions. The adaptation of strain X1 to phenol contributed to a gradual increase in biomass.
The simultaneous degradation of cyanide and phenol was investigated by Li et al. [33] using the isolated strain JF101 of Alcaligenes faecalis, obtained from soil contaminated with wastewater from a coking plant (Sanniangwan Bay, Guangxi). Studies conducted with the JF101 strain in the presence of phenol confirmed that microbial metabolism must adapt to prevailing environmental conditions. For the tested strain, a decrease in the phenol biodegradation rate was observed in the presence of phenol only, achieving complete biodegradation for concentrations of 200 mg/dm3, 400 mg/dm3, 600 mg/dm3 in due time 30 hours, 96 hours, and 176 hours. While for an initial phenol concentration of 1000 mg/dm3, the degradation effect was only 21.9%, within 230 hours. The presence of cyanide significantly influenced the phenol degradation process by strain JF101, particularly at higher phenol concentrations. The research demonstrated the ability to complete degrade phenol at 1000 mg/dm3, within 86 hours, in the presence of 100 mg/dm3 cyanide, which was completely degraded within 40 minutes. Formamide and ammonium nitrogen, generated from the cyanide degradation process, served as nitrogen sources for strain JF101, simultaneously enhancing phenol degradation capabilities.
The degradation of recalcitrant compounds can be accelerated by the addition of specific bacterial cultures to biological reactors, a process known as bioaugmentation. A significant challenge of the bioaugmentation method is the washout of bacterial cultures due to the continuous inflow of wastewater. Therefore, a suitable solution may be the use of moving bed biofilm reactors (MBBR), where bacterial biofilms are formed that exhibit much greater resistance to the toxic effects of chemical compounds. The main challenge lies in isolating an appropriate bacterial culture capable of creating a biofilm while simultaneously maintaining a high biodegradation efficiency. An analysis conducted by Kuc et al. [34] demonstrated the potential use of the isolated Acinetobacter EMY strain to form a biofilm within a relatively short period of 14 days, achieving complete biodegradation of phenol at an initial concentration of 2.1 g/dm3.
Li et al. [35] applied the bioaugmentation technique in the anaerobic digestion (AD) process of wastewater, as well as in the simultaneous nitrificationdenitrification coupled with fermentation (SNDF) process. The study utilized real pharmaceutical wastewater, which was mixed at a 1:1 ratio with synthetic wastewater containing phenol concentrations ranging from 650 to 800 mg/dm3. For bioaugmentation, phenol-degrading BGH bacteria were used, these were isolated from sludge and enriched by using phenol as the sole carbon source, with its concentration gradually increased. The BGH strain was identified as Comamonas sp. The phenol degradation efficiency at an initial concentration of 800 mg/dm3 in the AD process was 53.63%. However, the addition of the BGH strain increased phenol removal efficiency to 82.21%. The addition of the BGH strain not only improved phenol degradation efficiency in the AD process but also enhanced methane production. The most effective bioaugmentation process for phenol degradation was the combination of the BGH strain with the activated sludge SNDF process, concurrently coupled with the co-metabolized substrate glucose. Under a reaction time of 32 hours, phenol removal reached 99.82%.
In turn, Raja and Kumar [36] proposed the possibility of treating wastewater containing phenol and surfactants using a hybrid system of algal-bacterial consortia (ABC) in a Moving Bed Membrane Bioreactor (MBMBR). It was demonstrated that the ABC, coupled with MBMBR, provides higher removal efficiencies of the investigated pollutants – chemical oxygen demand (COD), ammonium nitrogen, surfactants, and phenol – compared to conventional activated sludge and MBMBR methods. For the studied system with the ABC consortium, an average COD removal efficiency exceeding 90% was achieved at a hydraulic retention time (HRT) below 6 hours. Removal rates for surfactants and phenols were 90% and 87%, respectively. An advantage of the ABC-MBMBR system is the photosynthetic activity of algae, which maintains a constant dissolved oxygen concentration in the reactor, consequently reducing the demand for external aeration. The system presented by Raja and Kumar offers a promising alternative for wastewater treatment plants facing the need to enhance chemical pollutant removal efficiency while maintaining economic balance.
The study by Zheng et al. [37] confirmed that aerobic granular sludge (AGS) exhibits good tolerance to the adverse effects of chemical pollutants such as phenol. The use of aerobic granular sludge offers significant potential for phenol degradation and ammonia oxidation. The experiments were conducted in a sequencing batch reactor (SBR) fed with sodium acetate. After an adaptation period of 28 days, phenol removal efficiency reached 94%, and ammonium nitrogen removal was 96.4%, at an initial concentration 1000 mg/dm3 and 33.5 mg/dm3.
The potential to enhance the biodegradation efficiency of Pseudomonas alloputida BF04 through immobilization on polyvinyl alcohol-sodium alginate (PVA-SA) was investigated by Zou et al. [38]. The preparation stage involved the formation of beads from the PVA-SA gel matrix, into which 10% (v/v) of the BF04 strain was incorporated. The BF04 bacteria, isolated from petrochemical wastewater, were capable of removing phenol at an initial concentration of 500 mg/dm3 by up to 96.72%, within 32 hours. Immobilization of BF04 on the porous PVA-SA bead matrix facilitated bacterial colonization, and the increased specific surface area of the carrier enhanced metabolic activity and bacterial growth. In experiments using the immobilized strain in a sequencing batch reactor (SBR), complete removal of phenol from synthetic wastewater with initial concentrations of 800 and 1000 mg/dm3 was achieved at a hydraulic retention time (HRT) of 36 hours. When the HRT was reduced to 18 hours, phenol degradation decreased to 91.69%.
Zhang et al. [9] conducted studies on phenol biodegradation using a mixed culture of isolated bacterial strains, Bacillus subtilis ZWB1 and Bacillus velezensis ZWB2. Such investigations are justified as microorganisms in natural environments rarely exist as monocultures. Bacteria engage in synergistic interactions, utilizing metabolites produced by other strains as nutrients. The examined cooperative mechanism between isolates ZWB1 and ZWB2 confirms the potential to enhance both the rate and extent of phenol biodegradation through the use of mixed microbial cultures. During the study, an optimal inoculation ratio of ZWB1 to ZWB2 was established at 1:9 (v/v), where the lower proportion of ZWB1 was due to its low tolerance to toxic phenol. The initial phase of the experiment involved inoculating strain ZWB2 into a medium containing 1000 mg/dm3 phenol, after 48 hours of incubation, the phenol concentration decreased to approximately 870 mg/dm3 at pH 6.65. Subsequently, strain ZWB1 was introduced into the fermentation broth, resulting in complete removal of the remaining phenol within 78 hours and stabilization of the pH at 7.1. For the co-culture system, complete degradation of phenol at initial concentrations of 500, 1000, and 1500 mg/dm3 was achieved within 24, 68, and 90 hours, respectively, with the degradation rate increasing to 16.7 mg/dm3·h−1. In comparison, the monoculture of ZWB1 achieved complete removal of phenol at an initial concentration of 150 mg/dm3 with a degradation rate of 4.2 mg/dm3·h−1, while ZWB2 alone degraded 1000 mg/dm3 phenol at a rate of 6.9 mg/dm3·h−1. Within this synergistic consortium, strain ZWB1 utilized acidic metabolites produced by ZWB2, contributing to the generation of buffering substances that stabilized the pH of the environment.
The feasibility of using a mixed microbial culture isolated from a blue lake silt soil sample (from Jilin Agricultural University) was also demonstrated in the study by Bing et al. [39]. Experiments were conducted using phenol concentrations of 500, 1000, 1500, 1800, and 2000 mg/dm3 in synthetic wastewater, resulting in complete phenol removal within 8, 12, 20, 30, and 62 hours, respectively. With increasing phenol concentration, the biodegradation time also increased, attributed to inhibition of enzymatic activity and, consequently, reduced microbial growth. The promising potential of a bacterial consortium composed of Pseudomonas stutzeri N2 and Rhodococcus qingshengii FF for the removal of phenol and petroleum hydrocarbons was presented in the work of Bai et al. [40]. Diverse metabolic pathways and interactions between the microorganisms enabled phenol biodegradation from an initial concentration of 2450 mg/dm3 to 200 mg/dm3 (91.8%), accompanied by reductions in COD and BOD5 values. The phenol-acclimatized mixed culture (PBMC), derived from palm oil mill effluent (POME), represents a practical tool for phenol biodegradation. This approach is highlighted in the publication by Sabri et al. [41], where bacteria such as Acinetobacter, Pseudomonas, and Flavobacterium from the PBMC mixture exhibited the capability to completely degrade 300 mg/dm3 phenol, within 16 hours. The utilization of multiple metabolic pathways within mixed microbial cultures has been confirmed in the cited studies, constituting a valuable strategy to enhance the efficiency of phenol biodegradation.
Research has also been conducted on the use of yeasts for the degradation of pollutants such as phenol, however, they are currently not widely applied in industry. The advantage of fungi, primarily yeasts, over bacteria lies in the presence of peroxisomes, which play a crucial role in the generation of reactive oxygen species (ROS), efficiently oxidizing organic pollutants [12]. Despite the greater metabolic capabilities of yeasts compared to bacteria, their application on a larger scale is limited due to the slow rate of biodegradation. Therefore, ongoing studies aim to identify fungal species capable of more rapidly degrading phenolic compounds.
A promising approach was presented by Singh et al.[42], where the oleaginous yeast species Rhodosporidium toruloides was utilized for the biodegradation of phenolic derivatives, simultaneously producing lipids with potential for biodiesel production, possessing properties similar to vegetable oil. The study employed three phenol derivatives: catechol, 4-chlorophenol, and 4-nitrophenol. Complete removal of catechol was achieved at initial concentrations of 0.25 g/dm3, 0.5 g/dm3, 0.75 g/dm3, and 1 g/dm3, with the biodegradation time extending from 35 to 144 hours as the contaminant concentration increased. Catechol concentrations above 1 g/dm3 were toxic to R. toruloides cells. For 4-chlorophenol, approximately 85% degradation was obtained at initial concentrations of 0.25 g/dm3 and 0.5 g/dm3, within 144 hours. However, complete biodegradation of 4-chlorophenol by R. toruloides was not observed, and higher tested concentrations of 0.75 g/dm3, 1 g/dm3, 1.25 g/dm3, and 1.5 g/dm3 confirmed the yeast’s inability to degrade this compound. Regarding 4-nitrophenol, total biodegradation of 0.1 g/dm3 was achieved within 108 hours, however, higher concentrations demonstrated toxic effects on R. toruloides.
Numerous studies have also focused on elucidating new catabolic pathways for isolated fungi. He et al. [12] conducted an analysis involving the isolation of the fungus Candida tropicalis sp., which demonstrated excellent adaptation to phenol alongside the reconstruction of the catabolic pathway. Under laboratory conditions, Liu et al. [43] isolated the fungus Aspergillus nomius SGFA1 from wastewater, which exhibited the capability for simultaneous biodegradation of phenol and formaldehyde. Pure fungal cultures were maintained on agar plates containing a basal medium, with phenol and formaldehyde serving as the nutrient sources. For synthetic wastewater containing phenol at a concentration of 750 mg/dm3 and formaldehyde at 2400 mg/dm3, biodegradation efficiencies of 89.7% and 85.3% were achieved, respectively, confirming the potential of A. nomius SGFA1 for the simultaneous degradation of phenol and formaldehyde.
Enzymes, acting as biocatalysts, can be effectively employed for the selective degradation of phenol and its derivatives found in wastewater. A major advantage of enzymatic methods over microbiological approaches is their significantly faster degradation rates across a wide range of pollutant concentrations, pH values, and temperatures, ultimately leading to the formation of harmless end products. Moreover, enzymatic methods do not require an acclimatization phase, nor do they generate biomass, unlike microbiological processes [24,44]. However, large-scale applications of free enzymes are limited by their susceptibility to persistent chemical pollutants, which can inhibit their catalytic activity. In addition, recovering and reusing free enzymes in such processes poses technical challenges. As a result, the immobilization of enzymes on insoluble carriers has emerged as a promising strategy for enhancing their catalytic stability. This approach improves enzyme resistance to toxic substances and lowers process costs through the possibility of enzyme reuse. Enzymes may be immobilized on insoluble organic, inorganic, or hybrid carriers. In a study conducted by Weber et al. [44], a hybrid carrier composed of calcium alginate and starch was used to immobilize horseradish peroxidase (HRP) derived from Armoracia rusticana. Calcium alginate is widely used due to its low toxicity, high availability, and low cost, while starch contributes to improved mechanical strength and stabilizes the enzyme–carrier interaction. Barbusiński et al. [45] presented findings on application of chitosan beads modified by calcium chloride and sodium alginate to removal phenol and o-chlorophenol. The sorption method using chitosan (a product derived from chitin) is not a microbiological or enzymatic method, but it is worth considering due to the use of natural products to remove persistent chemical pollutants.
Therefore, due to their advantages, enzymatic methods may serve as alternatives to conventional wastewater treatment techniques. Typically, environmental protection studies employ enzymes from the peroxidase family (EC 1.11.1.7), a class of oxidoreductases that catalyze the oxidation of organic and inorganic substances using hydrogen peroxide (H2O2) or organic hydroperoxides as co-substrates. Among these, horseradish peroxidase (HRP) plays a key role in the degradation of compounds such as phenols, pharmaceuticals, and dyes. Significant findings and promising potential have also been reported in studies on the use of tyrosinase (EC 1.14.18.1) for the oxidation of phenolic compounds into quinones [44].
During the study conducted by Weber et al. [44], horseradish peroxidase (HRP) was immobilized on hybrid calcium alginate and starch beads at a loading of 50 mg/g of carrier. The degradation potential of phenol red at an initial concentration of 100 mg/dm3 was examined in the presence of 0.1 M hydrogen peroxide, at pH 6 and a temperature of 22±3°C, using both free and immobilized enzymes on the carriers. For free enzymes, the degradation level of phenol red was only 4.86% in 90 minutes. Whereas immobilized enzymes achieved degradation up to 55.87% within a single cycle, lasting 90 minutes. During the experiments with immobilized HRP, in addition to the catalytic activity of the enzymes, an adsorption process of the dye onto the calcium alginate and starch beads was also observed, accounting for 5.4% of the total phenol red reduction (55.87%). The study was carried out over 15 cycles, where in the final cycle the dye reduction remained at 11.69%, with the enzymatic activity retained at 12.34%. The use of immobilized HRP on carriers demonstrates significant potential for industrial applications in wastewater treatment containing recalcitrant compounds, however, optimization of reaction conditions such as pH, temperature, hydrogen peroxide concentration, and the amount of immobilized enzyme is required.
The advancement of technology paves the way for increasingly innovative purification methods. An interesting approach combining biochemistry with nanotechnology was presented by Öndeş et al. [46], who utilized microswimmers modified with tyrosinase derived from fungi (T3824, 25 KU). The advantage of the proposed method over bacterial treatments lies in its high substrate selectivity across varying concentrations, coupled with a short retention time. Tyrosinase, belonging to the oxidoreductase enzyme class, decomposes phenolic compounds in a two-step process in the presence of oxygen, through hydroxylation and dehydroxylation of diphenols to orthoquinones. The study conducted by Öndeş et al. involved the fabrication of microswimmers via electrochemical deposition of Pt and PPy (polypyrrole) segments, subsequently modified with the enzyme tyrosinase. This bioactive platform was employed to assess the degradation capability for compounds such as phenol, p-cresol, and o-phenylenediamine (0.1 M). The immobilized enzymes exhibited significantly higher activity (75%) compared to free enzymes (21%) under optimal conditions of pH 7.5 and 45°C. The removal efficiencies of phenol, p-cresol, and o-phenylenediamine by the bioactive platform were 54.54%, 46.96%, and 53.87%, respectively, within 5 minutes.
The study conducted by Gong Z. et al. [47] addresses the issue of phenol removal from water–oil mixtures, which can be effectively tackled using Fe3O4@PDA magnetic nanoparticles that stabilize Pickering emulsions, in combination with horseradish peroxidase (HRP) and hydrogen peroxide (H2O2). The nanoparticles accumulate at the interface between the two phases, thereby preventing coalescence of oil droplets and simultaneously increasing the interfacial contact area between the aqueous and oil phases. A key advantage of employing magnetic nanoparticles lies in their potential for reuse in subsequent pollutant removal cycles. The Fe3O4@PDA nanoparticles alone exhibited no catalytic activity, and free HRP in either the aqueous or oil phase demonstrated negligible activity. In contrast, the combination of Fe3O4@PDA, HRP, and H2O2 achieved a degradation rate of 100% within 30 minutes. Specifically, complete phenol degradation was obtained in 30 minutes using an HRP activity of 4 U (unit of enzyme activity, means the amount of enzyme catalyzing the modification of 1 μmol of substrate in minute) and an H2O2 concentration of 8 mM. Concerning the reaction environment, a 100% degradation rate was achieved within 3 minutes at pH 9. These findings highlight the significant potential of this system, given that nearly complete degradation of phenol at an initial concentration of 2 mM was accomplished within 30 minutes.
The challenges faced by wastewater treatment plants in achieving high removal efficiency of persistent chemical pollutants highlight the need to strike a balance between society, industry, and the natural environment. This is consistent with the WHO’s “One World, One Health” concept, which emphasizes the close interconnection between environmental components and human health. These efforts are driven by the observation that numerous biologically active substances introduced into surface waters via treated wastewater can persistently accumulate within ecosystems. Consequently, the presence of such chemical pollutants in the natural environment increases the risk of contamination of water resources, particularly groundwater. It has been observed that conventional treatment methods fail to completely remove persistent chemical contaminants, primarily due to their adverse effects on activated sludge microorganisms. Given the current capabilities of wastewater treatment facilities, research into hybrid techniques appears crucial for improving the efficiency of wastewater purification before its discharge into surface waters, as well as for the advancement of green technologies. The insertion of hybrid technologies holds considerable potential to enhance the removal of micropollutants. A combination of biological and physicochemical methods, tailored to specific environmental conditions, may offer a comprehensive and sustainable solution.
The table above summarizes the key parameters for the methods of removing phenolic contaminants discussed earlier (Tab. 1). Among these methods, the most effective is the MBBR, which utilizes bacterial biofilms formed with the isolated strain Acinetobacter EMY. In this method complete biodegradation of phenol at an initial concentration of 2.1 g/dm3, within 14 days, was achieved. Another highly recommended method is the bacteria co-culture system. Utilizing a mixed microbial culture isolated from a blue lake silt soil sample at Jilin Agricultural University made it possible to obtain complete degradation of phenol from an initial concentration of 2000 mg/dm3, within 62 hours. Additionally, a mixed culture of isolated bacterial strains, Bacillus subtilis ZWB1 and Bacillus velezensis ZWB2, successfully degraded phenol at an initial concentration of 1500 mg/dm3, within 90 hours. While microbiological approaches are effective, enzymatic methods should not be overlooked. They offer a significant advantage due to their much faster degradation compared to microbiological methods. In the future, sewage treatment plants may consider using enzymatic methods for wastewater pretreatment.
Methods of phenolic compounds degradation with the biodegradation efficiency
| Microorganisms | Initial concentration | Biodegradation efficiency | Ref. |
|---|---|---|---|
| Biodegradation processes utilizing bacteria | |||
| The activated sludge | 10 μg/dm3 4-nonylphenol | 70% | [29] |
| 0.93–6.6 μg/dm3 octylphenol | 17% | [22] | |
| 1.19–9.56 μg/dm3 nonylphenol | 73–100% | [22] | |
| Pseudomonas citronellolis NS1 | 1500 mg/dm3 phenol | 98.5% | [30] |
| Acinetobacter baumannii | 500–1000 mg/dm3 phenol | 75.7–79.5% | [27] |
| Citrobacter sedlakii | 500–1000 mg/dm3 phenol | 86.5–87.9% | [27] |
| Acinetobacter pittii Hly3 | 1200–1700 mg/dm3 phenol | the complete degradation | [31] |
| Cupriavidus nantongensis X1 | 1.5 mM phenol | the complete degradation | [32] |
| Alcaligenes faecalis JF101 | 1000 mg/dm3 phenol and 100 mg/dm3 cyanide | the complete degradation | [33] |
| The moving bed biofilm reactors (MBBR) | |||
| Acinetobacter EMY | 2.1 g/dm3 phenol | the complete degradation | [34] |
| The anaerobic digestion (AD) | |||
| Comamonas sp. BGH | 800 mg/dm3 phenol | 82.21% | [35] |
| The simultaneous nitrification-denitrification coupled with fermentation (SNDF) | |||
| Comamonas sp. BGH with the co-metabolized substrate glucose | 800 mg/dm3 phenol | 99.82% | [35] |
| The moving bed membrane bioreactor (MBMBR) | |||
| Hybrid system of algal-bacterial consortia (ABC) | ~40 mg/dm3 phenol | ~87% | [36] |
| The sequencing batch reactor (SBR) | |||
| Aerobic granular sludge (AGS) | 1000 mg/dm3 phenol | 94% | [37] |
| Pseudomonas alloputida BF04 through immobilization on polyvinyl alcohol–sodium alginate (PVA-SA) | 800–1000 mg/dm3 phenol | 91.69% to the complete degradation | [38] |
| The bacteria co-culture system | |||
| Bacillus subtilis ZWB1 and Bacillus velezensis ZWB2 | 500–1500 mg/dm3 phenol | the complete degradation | [9] |
| Mixed microbial culture isolated from a blue lake silt soil sample at Jilin Agricultural University | 500–2000 mg/dm3 phenol | the complete degradation | [39] |
| Pseudomonas stutzeri N2 and Rhodococcus qingshengii FF | 2450 mg/dm3 phenol | 91.8% | [40] |
| Phenol-acclimatized mixed culture (PBMC), derived from palm oil mill effluent (POME) | 300 mg/dm3 phenol | the complete degradation | [41] |
| Biodegradation using yeasts and fungi | |||
| Rhodosporidium toruloides | 0.25–1 g/dm3 catechol | the complete degradation | [42] |
| 0.25–0.5 g/dm3 4-chlorophenol | 85% | [42] | |
| 0.1 g/dm3 4-nitrophenol | the complete degradation | [42] | |
| Aspergillus nomius SGFA1 | 750 mg/dm3 phenol | 89.7% | [43] |
| Enzymatic methods | |||
| Horseradish peroxidase (HRP) immobilized on hybrid calcium alginate and starch beads | 100 mg/dm3 phenol red | 55.87% | [44] |
| Micro-swimmers modified with tyrosinase derived from fungi (T3824, 25 KU) | 0.1 M phenol | 54.54% | [46] |
| 0.1 M p-cresol | 46.96% | [46] | |
| Fe3O4@PDA magnetic nanoparticles in combination with horseradish peroxidase (HRP) and hydrogen peroxide (H2O2) | 2 mM phenol | nearly complete degradation | [47] |