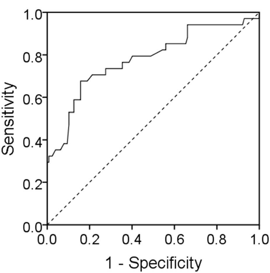
Figure 1

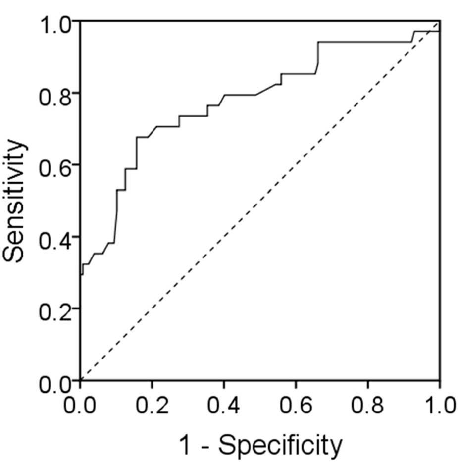
Figure 2

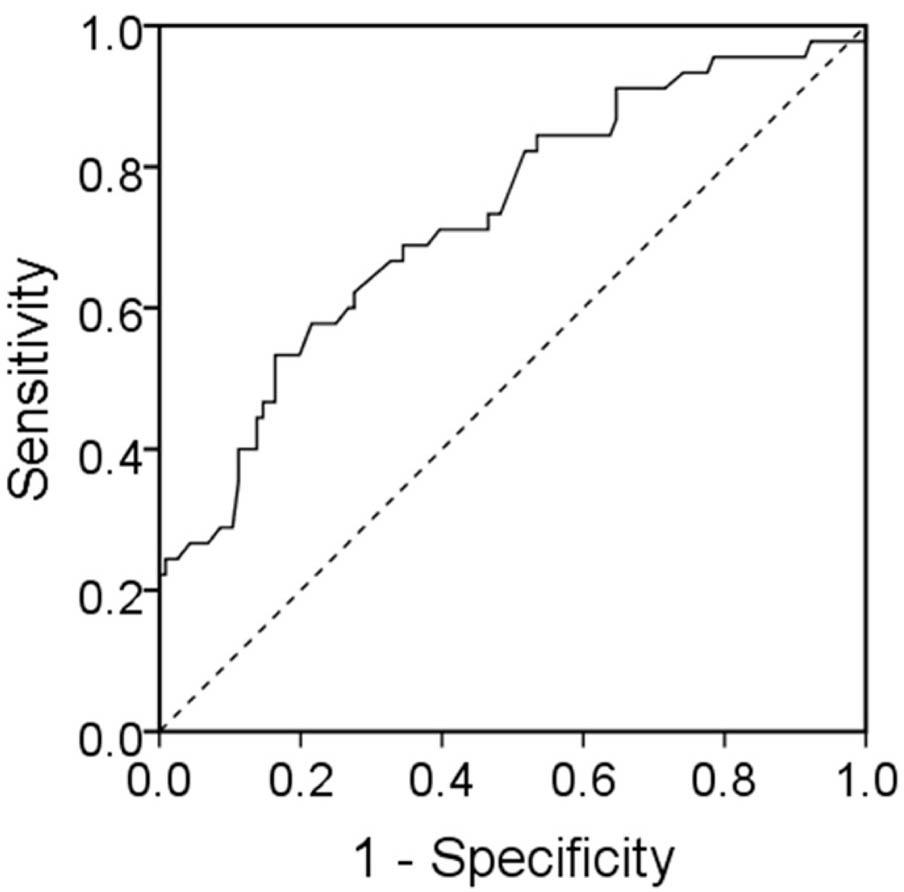
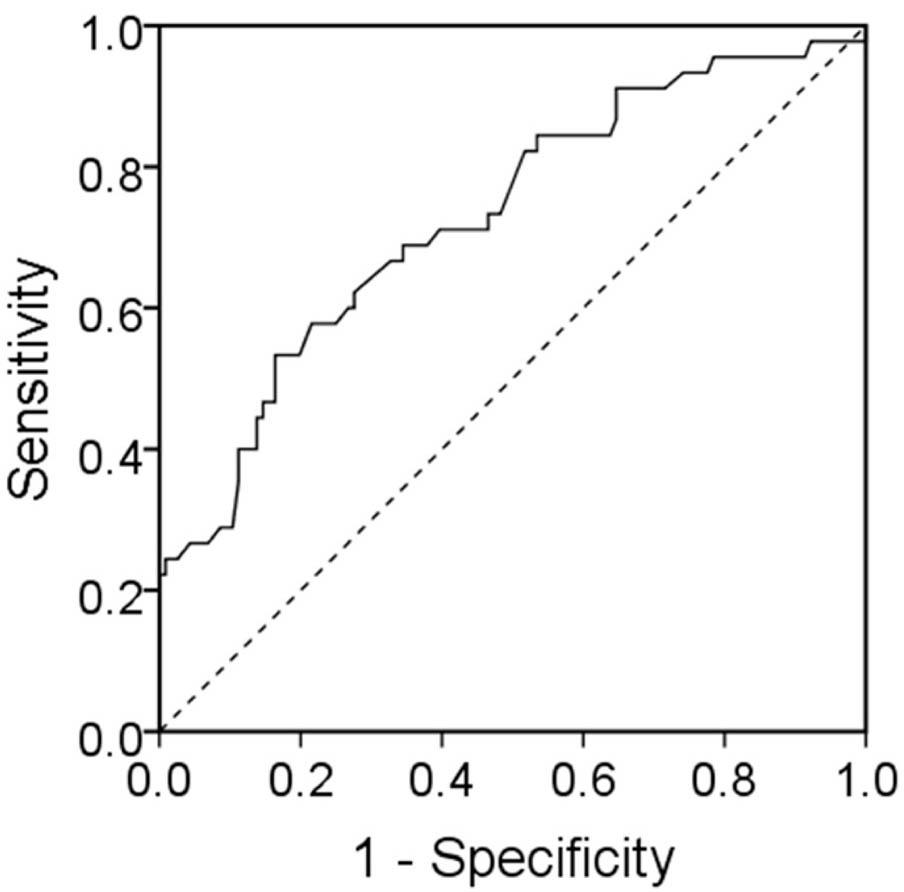
Figure 3

Performance of a positive PAMG-1 test result and cervical length <15 mm in symptomatic patients to predict preterm birth within 7 days and 14 days
| Indicator | Preterm birth <7 days | Preterm birth <14 days | ||||||
|---|---|---|---|---|---|---|---|---|
| Sensitivity (%) | Specificity (%) | PPV (%) | NPV (%) | Sensitivity (%) | Specificity (%) | PPV (%) | NPV (%) | |
| PAMG-1 | 10/34 (29) | 112/127 (88) | 10/25 (40) | 112/136 (82) | 12/45 (27) | 103/116 (89) | 12/25 (48) | 103/136 (76) |
| 95% CI | 15, 48 | 81, 93 | 21, 61 | 75, 88 | 15, 42 | 82, 94 | 27, 69 | 68, 83 |
| Cervical length <15 mm | 12/34 (35) | 122/127 (96) | 12/17 (71) | 122/144 (85) | 12/45 (27) | 111/116 (96) | 12/17 (71) | 111/144 (77) |
| 95% CI | 20, 54 | 91, 99 | 44, 90 | 78, 90 | 15, 42 | 90, 99 | 44, 90 | 69, 83 |
| PAMG-1 and cervical length <15 mm | 5/34 (14) | 126/127 (>99) | 5/6 (83) | 126/155 (81) | 5/45 (11) | 115/116 (>99) | 5/6 (83) | 115/155 (74) |
| 95% CI | 5, 31 | 96, >99 | 36, >99 | 74, 87 | 4, 24 | 95, >99 | 36, >99 | 67, 81 |
| PAMG-1 or cervical length | 17/34 (50) | 108/127 (85) | 17/36 (47) | 108/125 (86) | 19/45 (42) | 99/116 (85) | 19/36 (53) | 99/125 (79) |
| <15 mm 95% CI | 32, 68 | 78, 91 | 30, 65 | 79, 92 | 28, 58 | 78, 91 | 36, 70 | 71, 86 |
Symptomatic patients with various cervical lengths and delivery within 7 days and 14 days
| All symptomatic patients with cervical length <30 mm | Delivery <7 days n (%) | Delivery <14 days n (%) |
|---|---|---|
| Cervical length <15 mm (n = 14) | 11 (79) | 11 (79) |
| Cervical length 15 to 30 mm (n = 50) | 14 (28) | 18 (36) |
| Cervical length >30 mm (n = 97) | 9 (9) | 16 (16) |
ROC curve analysis of cervical length (<25 mm) to predict preterm birth within 7 days and 14 days
| Measurement | Preterm birth <7 days Value (95% CI) | Preterm birth <14 days Value (95% CI) |
|---|---|---|
| Area under curve | 0.78 (0.68, 0.88) | 0.73 (0.64, 0.82) |
| Sensitivity (%) | 68 (50, 83) | 53 (38, 68) |
| Specificity (%) | 84 (77, 90) | 84 (76, 90) |
| PPV (%) | 54 (38, 69) | 56 (40, 71) |
| NPV (%) | 91 (84, 95) | 82 (74, 89) |
| Accuracy (%) | 81 (74, 87) | 75 (68, 82) |
Symptomatic patients with cervical length <30 mm and delivery within 7 days and 14 days
| All 161 patients included (symptomatic with cervical length <30 mm) | |
|---|---|
| Delivery <14 days | 45 (28%) |
| Delivery <7 days | 34 (21%) |
| Delivery 7–14 days | 11 (7%) |
| Delivery ≥14 days | 116 (72%) |
| Total | 161 (100%) |
Performance of a positive PAMG-1 test result and cervical length <30 mm in symptomatic patients to predict preterm birth within 7 days and 14 days
| Indicator | Preterm birth <7 days | Preterm birth <14 days | ||||||
|---|---|---|---|---|---|---|---|---|
| Sensitivity (%) | Specificity (%) | PPV (%) | NPV (%) | Sensitivity | Specificity | PPV | NPV | |
| PAMG-1 | 10/34 (29) | 112/127 (88) | 10/25 (40) | 112/136 (82) | 12/45 (27) | 103/116 (89) | 12/25 (48) | 103/136 (76) |
| 95% CI | 15, 48 | 81, 93 | 21, 61 | 75, 88 | 15, 42 | 82, 94 | 28, 69 | 68, 83 |
| Cervical length <30 mm | 25/34 (74) | 88/127 (69) | 25/64 (39) | 88/97 (91) | 29/45 (64) | 81/116 (70) | 29/64 (45) | 81/97 (84) |
| 95% CI | 56, 87 | 61, 77 | 27, 52 | 83, 96 | 49, 78 | 61, 78 | 33, 58 | 75, 90 |
| PAMG-1 and cervical length <30 mm | 9/34 (26) | 123/127 (97) | 9/13 (69) | 123/148 (83) | 11/45 (24) | 114/116 (98) | 11/13 (85) | 114/148 (77) |
| 95% CI | 13, 44 | 92, 99 | 39, 91 | 76, 89 | 13, 40 | 94, >99 | 55, 98 | 69, 83 |
| PAMG-1 or cervical length <30 mm | 26/34 (77) | 77/127 (61) | 26/76 (34) | 77/85 (91) | 30/45 (67) | 70/116 (60) | 30/76 (40) | 70/85 (82) |
| 95% CI | 59, 89 | 52, 69 | 23, 46 | 82, 96 | 51, 80 | 50, 69 | 28, 51 | 73, 90 |
ROC curve analysis of a positive PAMG-1 test result and cervical length to predict preterm birth within 7 days and 14 days
| Indicator | Preterm birth <7 days | Preterm birth <14 days | ||||||
|---|---|---|---|---|---|---|---|---|
| Sensitivity (%) | Specificity (%) | PPV (%) | NPV (%) | Sensitivity (%) | Specificity (%) | PPV (%) | NPV (%) | |
| PAMG-1 | 10/34 (29) | 112/127 (88) | 10/25 (40) | 112/136 (82) | 12/45 (27) | 103/116 (88) | 12/25 (48) | 103/136 (76) |
| 95% CI | 15, 48 | 81, 93 | 21, 61 | 75, 88 | 15, 42 | 82, 94 | 28, 69 | 68, 83 |
| Cervical length <25 mm | 23/34 (68) | 107/127 (84) | 22/43 (54) | 107/118 (91) | 24/45 (53) | 97/116 (84) | 24/43 (56) | 97/118 (82) |
| 95% CI | 50, 83 | 77, 90 | 38, 69 | 84, 95 | 38, 68 | 76, 90 | 40, 71 | 74, 89 |
| PAMG-1 and cervical length <25 mm | 8/34 (24) | 125/127 (98) | 8/10 (80) | 125/151 (83) | 9/45 (20) | 115/116 (>99) | 9/10 (90) | 115/151 (76) |
| 95% CI | 11, 41 | 94, >99 | 44, 98 | 76, 88 | 10, 35 | 95, >99 | 56, >99 | 69, 83 |
| PAMG-1 or cervical length <25 mm | 25/34 (74) | 94/127 (74) | 25/58 (43) | 94/103 (91) | 27/45 (60) | 85/116 (73) | 27/58 (47) | 85/103 (83) |
| 95% CI | 56, 87 | 66, 81 | 30, 57 | 84, 96 | 44, 74 | 64, 81 | 33, 60 | 74, 89 |
AUC (95% CI) for PAMG-1, cervical length <25 mm, PAMG-1 and cervical length <25 mm, and PAMG-1 or cervical length <25 mm
| Indicator | Preterm birth <7 days AUC (95% CI) | Preterm birth <14 days AUC (95% CI) |
|---|---|---|
| PAMG-1 | 0.59 (0.47, 0.70) | 0.58 (0.48, 0.68) |
| Cervical length <25 mm | 0.76 (0.66, 0.86) | 0.69 (0.59, 0.78) |
| PAMG-1 and cervical length <25 mm | 0.61 (0.49, 0.73) | 0.60 (0.49, 0.70) |
| PAMG-1 or cervical length <25 mm | 0.74 (0.64, 0.83) | 0.67 (0.57, 0.76) |
Patient demographic characteristics
| Demographic data | n = 161 |
|---|---|
| Maternal age (years) | 28.9 ± 6.9 |
| Body weight (kg) | 65.0 ± 12.5 |
| Height (cm) | 157.7 ± 6.2 |
| BMI (kg/m2) | 26.2 ± 4.8 |
| Income (Thai baht per month)* | 20,000 (0–70,000) |
| Occupation | |
| Government | 19 (12%) |
| Housewife | 35 (22%) |
| Labor | 86 (53%) |
| Merchant | 11 (7%) |
| Own business | 4 (3%) |
| Student | 6 (4%) |
| Gravida | 1 (1, 6) |
| Parity | 0 (0, 5) |
| Abortion | 0 (0, 3) |
| Gestational age at first visit (weeks) | 10 (4, 34) |
| Gestational age at admission (weeks) | 33.2 (21.1, 36.3) |
| Number of antenatal care | 10 (0, 12) |
| Calculate gestational age by source | |
| LMP | 34 (21%) |
| LMP/ultrasound | 58 (36%) |
| Ultrasound | 69 (42%) |
| Maternal medical illness | |
| None | 144 (89%) |
| Gestational diabetes mellitus | 2 (1%) |
| Hypertension | 3 (2%) |
| Pulmonary disease | 5 (3%) |
| Thyroid disease | 7 (4%) |
| Iron deficiency | 13 (8%) |
| Hemoglobinopathy | |
| None | 121 (75%) |
| α-Thalassemia trait | 8 (5%) |
| β-Thalassemia trait | 1 (1%) |
| Hemoglobin E trait | 28 (17%) |
| Homozygous hemoglobin E | 3 (2%) |
| VDRL reactive† | 1 (1%) |
| Anti-HIV positive‡ | 2 (1%) |
| HBS Ag positive§ | 25 (16%) |
| Maternal complication | |
| None | 137 (85%) |
| Gestational diabetes mellitus | 11 (7%) |
| Gestational hypertension | 5 (3%) |
| Mild preeclampsia | 2 (1%) |
| Severe preeclampsia | 6 (4%) |
| Mode of delivery | |
| Cesarean section | 8 (5%) |
| Spontaneous vaginal delivery | 147 (91%) |
| Vacuum extraction | 6 (4%) |