Preterm or premature birth remains a major problem worldwide, and the trend of preterm birth has increased in many developed countries at least up to 2007 [1]. The World Health Organization (WHO) defines preterm birth as all births before 37 completed weeks of gestation [2]. Short and long-term complications of prematurity are reported [3]. The statistical unit of the Department of Obstetrics and Gynecology at Siriraj Hospital has reported that the annual incidence of preterm births steadily increased from 9.4% in 2004 to 13.7% in 2010 [4]. The 2015 preterm birth rate for the USA (based on obstetric estimate of gestational age) was 9.63% [5]. Spontaneous preterm birth in the UK occurs in 7%–12% of pregnancies before 37 weeks’ gestation and in about 4% of pregnancies before 34 weeks’ gestation [6]. In most developed countries, 60%–80% of neonatal mortality and 75% morbidity are from preterm birth [6]. There is support for steroid therapy to reduce respiratory morbidity [7, 8, 9] and tocolytic agents to inhibit uterine contraction and postpone delivery [7]. Corticosteroid treatment shows maximum benefit from 24 h after administration [8]. However, preterm birth is difficult to diagnose and this results in overtreatment of threatened preterm labor, which was modeled to have a high cost of 4,653 EUR per case in 2013 (USD 6,179; Federal Reserve Foreign Exchange Rate G.5A), at least in The Netherlands [10]. Several agents with different modes of action have been used to inhibit uterine contractility with a maximum time of 136 days in Germany [11]. In 50%–80% of pregnant women, preterm labor does not lead to preterm birth within 7 days and 50%–70% of women in this group who received a placebo gave birth close to term [12]. The sign of preterm labor alone has a false positive rate >50% [13], which may lead to unnecessary hospital admission for preterm labor management.
Methods to predict spontaneous preterm birth include cervical examination for dilatation and length [14, 15, 16], and testing cervicovaginal fluid for fetal fibronectin [6, 10], prolactin [17], and phosphorylated insulin-like growth factor binding protein 1 (phIGFBP-1), also known as placental α microglobulin-1 (PAMG-1) [18, 19], are effective in excluding spontaneous preterm delivery within 7–14 days. An ideal predictor would be a test that identifies who would deliver within 48 h to 7 days with the purpose of guiding the rational use of antenatal corticosteroids and tocolytic agents, decreasing unnecessary admissions, and correcting triage of patients that need in utero transfer [14, 15].
PAMG-1 was initially referred to as a specific α-1 globulin of the placenta [20, 21], then as phIGFBP-1 [19], and was first isolated from human amniotic fluid as reported by Petrunin et al. in 1976 (cited by reference 1 in [22]). PAMG-1 is found in the amniotic fluid, blood, and vaginal discharge of pregnant women [18, 23]. The concentration of PAMG-1 is several thousand-fold higher in amniotic fluid than it is in cervicovaginal secretions [22]. Therefore, PAMG-1 is an important biomarker for premature rupture of the fetal membrane (PROM). Moreover, during uterine contractions, PAMG-1 passes through chorioamniotic pores in fetal membranes, and through microperforations from degradation of the extracellular matrix of fetal membranes, possibly as a result of the inflammatory processes of labor or infection [18, 22].
The predictive accuracy of PAMG-1 is similar to that of qualitative fetal fibronectin [21, 24, 25]. However, to our knowledge, only one study has shown PAMG-1 to have a higher positive predictive value (PPV) than fetal fibronectin for predicting preterm labor [24]. A systematic review and meta-analysis showed that PAMG-1 is highly predictive of preterm birth within 7–14 days of preterm labor [25].
Cervical length measurement in symptomatic women can be used to predict preterm labor to shorten hospital stay without compromising patient care [26]. Cervical length measurement, fetal fibronectin, and uterine contraction monitoring during pregnancy have been proposed to predict preterm delivery, but their practical beneficial remains uncertain [16, 26]. A cervical length >30 mm or a negative fibronectin obtained from a patient with possible preterm labor can avoid overdiagnosis and unnecessary treatment [27]. However, a woman with a cervical length <25 mm has a 6-fold increased risk of preterm delivery [27]. Combining cervical length of 15–30 mm with fetal fibronectin testing to predict delivery by women with symptoms of preterm labor improved identification of women with a low risk to deliver spontaneously within 7 days [28]. A high negative predictive value (NPV), but low PPV, make fetal fibronectin a good test to exclude premature delivery, but not a good test to predict it [29]. For a subgroup of symptomatic patients with a cervical length 15–30 mm, the PPV of fetal fibronectin remains poor [28].
Currently used methods to predict preterm labor include cervical length measurement, and presence of cervicovaginal fetal fibronectin or PAMG-1 [14, 16]. However, the accuracy of PAMG-1 and fetal fibronectin to diagnose preterm labor within 7 days is not significantly different [30]. When cervical length of 15–30 mm is combined with a PAMG-1 test, the accuracy to predict imminent spontaneous delivery is better than that when combining cervical length and fetal fibronectin [25, 31, 32]. However, to date there is no data from Thailand for its use in clinical practice.
We hypothesized that a test of cervicovaginal fluid for PAMG-1 using a commercial kit combined with cervical length would provide better accuracy to predict preterm birth within 7–14 days of preterm labor than either method alone.
The present prospective observational study was approved by the Ethics Committee of the Siriraj Institutional Review Board (Si 625/2016) and was conducted in full compliance with international guidelines for human research protection including the principles outlined in the contemporary revision of the Declaration of Helsinki 1964 (World Medical Association) incorporating the most recent (2013) and earlier amendments, the Belmont Report, Council for International Organizations of Medical Sciences Guidelines, and the International Conference on Harmonization in Good Clinical Practice. We retrospectively registered the study in the Thai Clinical Trials Registry (TCTR20180703002), although we note this was an observational study. We used guidelines in the STARD 2015 list of essential items to ensure appropriate reporting of studies of diagnostic accuracy [33].
A sample of 163 pregnant women was needed based on the expected 85% sensitivity of the tool and an estimated 15% preterm in the study setting [4]. From March 2016 to September 2018, we recruited a total of 180 pregnant women in a consecutive series who attended the labor ward at Siriraj Hospital, a tertiary care, primary teaching hospital of the Faculty of Medicine, Mahidol University, with a capacity of >2,000 beds in Bangkok, Thailand. All participants provided their written informed consent before entering the study.
The included patients were those with a singleton pregnancy who had symptomatic painful uterine contraction every 4 times in 20 min or 8 times in 60 min with a cervical opening <3 cm, effacement <80%, and a gestational age from 200/7 weeks to 366/7 weeks without ruptured membranes.
Excluded patients were those who had received a digital examination, had bleeding per vagina, had abruption placentae, suspected placenta previa, had been exposed to tocolytic drugs, cervical cerclage, trauma, urinary tract infection, girls <18 years, and those with fetal anomaly.
All patients recruited underwent a full clinical examination by the attending physicians. This included collecting the sample for the PAMG-1 test, sterile speculum examination, transvaginal ultrasound, and digital examination. The sample for the PAMG-1 test was taken before the cervical examination. If cervical opening was ≥3 cm, effacement ≥80%, the patient was excluded from the study. Parameters recorded at presentation included cervical length, cervical dilatation, contraction frequency, cervical effacement, patient history, and PAMG-1 test result. Data regarding the gestational age of delivery, timing of delivery, neonatal Apgar score, and body weight and possible complication after delivery were also recorded.
The PAMG-1 test was performed using a kit (PartoSure PTL time-to-delivery test; Parsagen Diagnostics, a Qiagen company), following the instructions from the manufacturer [31, 32]. Before speculum examination, digital examination, or transvaginal ultrasound, a sterile vaginal swab was inserted into the vagina for 30 s. The swab was then inserted into a vial with solvent for 30 s and agitated by rotating using the thumb and forefinger. The swab was then removed from the vial, and a test strip was inserted into the sample to allow migration along the membranes through capillary action. When two lines were visible, the result was interpreted as positive. Using another method, the test was interpreted after the test strip had been inserted into the sample vial for 5 min. The positive and negative PAMG-1 results were determined by the presence of two lines or one line, respectively [31, 32]. If no line was seen, the test was undetermined and the patient data were excluded from the study. The treatment of the patients was followed by a decision of the attending physician without concern for the PAMG-1 test results.
A cervical length measurement of 30 mm was used as cut-off point. A patient with a cervical length >30 mm, or a negative PAMG-1 test result, was not considered be at risk of imminent spontaneous delivery within 2 days, 7 days, or 14 days, and by contrast, those patients with a cervical length of ≤30 mm, or a positive PAMG-1 test result, were considered to be at risk of imminent spontaneous delivery within 7 days or 14 days.
We estimated the sample size for adequate sensitivity and specificity with a 95% confidence interval (CI) and 15% error of detected sensitivity using in house software from Mahidol University, Bangkok, Thailand. All other statistical analyses were completed using PASW Statistics for Windows (version 18.0; SPSS). Data are expressed as mean ± standard deviation (SD), median (range) for continuous variables, and frequency (percentages) for categorical variables. The diagnostic accuracy of PAMG-1, cervical length, and a combination of the 2 indicators for predicting preterm birth was assessed using receiver operating characteristic (ROC) curves and determining the area under the curve (AUC). The sensitivity, specificity, PPV, NPV, and accuracy with 95% CI were calculated.
From the total of 180 pregnant patients recruited, 19 were excluded from the study because of indicated deliveries (10 patients), incomplete data for cervical assessment (5 patients), and loss to follow-up (4 patients). Therefore, we included 161 patients in the study (Figure 1). All 161 patients underwent a PAMG-1 test and cervical length measurement. Their mean age was 28.9 years with an average body weight of 65 kg. Most of the patients were primigravid. Gestational age was calculated from ultrasound in about 43%. Some 145 (91%) patients went into spontaneous vaginal delivery; other deliveries were assisted or by cesarean section (Table 1).
Figure 1
Flow of participants.

Patient demographic characteristics
| Demographic data | n = 161 |
|---|---|
| Maternal age (years) | 28.9 ± 6.9 |
| Body weight (kg) | 65.0 ± 12.5 |
| Height (cm) | 157.7 ± 6.2 |
| BMI (kg/m2) | 26.2 ± 4.8 |
| Income (Thai baht per month)* | 20,000 (0–70,000) |
| Occupation | |
| Government | 19 (12%) |
| Housewife | 35 (22%) |
| Labor | 86 (53%) |
| Merchant | 11 (7%) |
| Own business | 4 (3%) |
| Student | 6 (4%) |
| Gravida | 1 (1, 6) |
| Parity | 0 (0, 5) |
| Abortion | 0 (0, 3) |
| Gestational age at first visit (weeks) | 10 (4, 34) |
| Gestational age at admission (weeks) | 33.2 (21.1, 36.3) |
| Number of antenatal care | 10 (0, 12) |
| Calculate gestational age by source | |
| LMP | 34 (21%) |
| LMP/ultrasound | 58 (36%) |
| Ultrasound | 69 (42%) |
| Maternal medical illness | |
| None | 144 (89%) |
| Gestational diabetes mellitus | 2 (1%) |
| Hypertension | 3 (2%) |
| Pulmonary disease | 5 (3%) |
| Thyroid disease | 7 (4%) |
| Iron deficiency | 13 (8%) |
| Hemoglobinopathy | |
| None | 121 (75%) |
| α-Thalassemia trait | 8 (5%) |
| β-Thalassemia trait | 1 (1%) |
| Hemoglobin E trait | 28 (17%) |
| Homozygous hemoglobin E | 3 (2%) |
| VDRL reactive† | 1 (1%) |
| Anti-HIV positive‡ | 2 (1%) |
| HBS Ag positive§ | 25 (16%) |
| Maternal complication | |
| None | 137 (85%) |
| Gestational diabetes mellitus | 11 (7%) |
| Gestational hypertension | 5 (3%) |
| Mild preeclampsia | 2 (1%) |
| Severe preeclampsia | 6 (4%) |
| Mode of delivery | |
| Cesarean section | 8 (5%) |
| Spontaneous vaginal delivery | 147 (91%) |
| Vacuum extraction | 6 (4%) |
Data are presented as n (%), mean ± SD, and median (range).
U.S. Federal Reserve Foreign Exchange Rate G.5A. 1 USD = 35.26 (2016), 33.91 (2017), 32.30 (2018). Participants recruited March 2016 to September 2018.
VDRL reactive means positive screening test for syphilis.
HBS Ag positive means positive screening test for antibodies to hepatitis B surface antigen.
Anti-HIV positive means positive screening test for antibodies to HIV. BMI, body mass index; HBS Ag, hepatitis B surface antigen; HIV, human immunodeficiency virus; LMP, last menstrual period; SD, standard deviation; VDRL, venereal disease research laboratory test.
Some patients may have more than one type of thalassemia.
Of the 161 symptomatic pregnant women with cervical length ≤30 mm, 34 (21%) went into spontaneous delivery within 7 days and 11 (7%) went into spontaneous delivery within 14 days (Table 2). Of the 14 symptomatic pregnant women with a cervical length ≤15 mm, 11 (79%) went into spontaneous delivery within 7 days (Table 3).
Symptomatic patients with cervical length <30 mm and delivery within 7 days and 14 days
| All 161 patients included (symptomatic with cervical length <30 mm) | |
|---|---|
| Delivery <14 days | 45 (28%) |
| Delivery <7 days | 34 (21%) |
| Delivery 7–14 days | 11 (7%) |
| Delivery ≥14 days | 116 (72%) |
| Total | 161 (100%) |
Symptomatic patients with various cervical lengths and delivery within 7 days and 14 days
| All symptomatic patients with cervical length <30 mm | Delivery <7 days n (%) | Delivery <14 days n (%) |
|---|---|---|
| Cervical length <15 mm (n = 14) | 11 (79) | 11 (79) |
| Cervical length 15 to 30 mm (n = 50) | 14 (28) | 18 (36) |
| Cervical length >30 mm (n = 97) | 9 (9) | 16 (16) |
When PAMG-1 testing was combined with cervical length measurement <30 mm, the NPV was 83% to predict preterm birth within 7 days, and 77% to predict preterm birth within 14 days (Table 4). When PAMG-1 testing and cervical length measurement ≤15 mm was used, the PPV was 83% (Table 5). The optimal cut-off from ROC curve analysis shows that a cervical length <25 mm and a PAMG-1 positive result has a PPV of 80% to predict preterm birth within 7 days and 90% to predict preterm birth within 14 days (Tables 6–8; Figures 2 and 3).
Performance of a positive PAMG-1 test result and cervical length <30 mm in symptomatic patients to predict preterm birth within 7 days and 14 days
| Indicator | Preterm birth <7 days | Preterm birth <14 days | ||||||
|---|---|---|---|---|---|---|---|---|
| Sensitivity (%) | Specificity (%) | PPV (%) | NPV (%) | Sensitivity | Specificity | PPV | NPV | |
| PAMG-1 | 10/34 (29) | 112/127 (88) | 10/25 (40) | 112/136 (82) | 12/45 (27) | 103/116 (89) | 12/25 (48) | 103/136 (76) |
| 95% CI | 15, 48 | 81, 93 | 21, 61 | 75, 88 | 15, 42 | 82, 94 | 28, 69 | 68, 83 |
| Cervical length <30 mm | 25/34 (74) | 88/127 (69) | 25/64 (39) | 88/97 (91) | 29/45 (64) | 81/116 (70) | 29/64 (45) | 81/97 (84) |
| 95% CI | 56, 87 | 61, 77 | 27, 52 | 83, 96 | 49, 78 | 61, 78 | 33, 58 | 75, 90 |
| PAMG-1 and cervical length <30 mm | 9/34 (26) | 123/127 (97) | 9/13 (69) | 123/148 (83) | 11/45 (24) | 114/116 (98) | 11/13 (85) | 114/148 (77) |
| 95% CI | 13, 44 | 92, 99 | 39, 91 | 76, 89 | 13, 40 | 94, >99 | 55, 98 | 69, 83 |
| PAMG-1 or cervical length <30 mm | 26/34 (77) | 77/127 (61) | 26/76 (34) | 77/85 (91) | 30/45 (67) | 70/116 (60) | 30/76 (40) | 70/85 (82) |
| 95% CI | 59, 89 | 52, 69 | 23, 46 | 82, 96 | 51, 80 | 50, 69 | 28, 51 | 73, 90 |
CI, confidence interval; NPV, negative predictive value; PAMG-1, positive placental α microglobulin-1 test result; PPV, positive predictive value.
Performance of a positive PAMG-1 test result and cervical length <15 mm in symptomatic patients to predict preterm birth within 7 days and 14 days
| Indicator | Preterm birth <7 days | Preterm birth <14 days | ||||||
|---|---|---|---|---|---|---|---|---|
| Sensitivity (%) | Specificity (%) | PPV (%) | NPV (%) | Sensitivity (%) | Specificity (%) | PPV (%) | NPV (%) | |
| PAMG-1 | 10/34 (29) | 112/127 (88) | 10/25 (40) | 112/136 (82) | 12/45 (27) | 103/116 (89) | 12/25 (48) | 103/136 (76) |
| 95% CI | 15, 48 | 81, 93 | 21, 61 | 75, 88 | 15, 42 | 82, 94 | 27, 69 | 68, 83 |
| Cervical length <15 mm | 12/34 (35) | 122/127 (96) | 12/17 (71) | 122/144 (85) | 12/45 (27) | 111/116 (96) | 12/17 (71) | 111/144 (77) |
| 95% CI | 20, 54 | 91, 99 | 44, 90 | 78, 90 | 15, 42 | 90, 99 | 44, 90 | 69, 83 |
| PAMG-1 and cervical length <15 mm | 5/34 (14) | 126/127 (>99) | 5/6 (83) | 126/155 (81) | 5/45 (11) | 115/116 (>99) | 5/6 (83) | 115/155 (74) |
| 95% CI | 5, 31 | 96, >99 | 36, >99 | 74, 87 | 4, 24 | 95, >99 | 36, >99 | 67, 81 |
| PAMG-1 or cervical length | 17/34 (50) | 108/127 (85) | 17/36 (47) | 108/125 (86) | 19/45 (42) | 99/116 (85) | 19/36 (53) | 99/125 (79) |
| <15 mm 95% CI | 32, 68 | 78, 91 | 30, 65 | 79, 92 | 28, 58 | 78, 91 | 36, 70 | 71, 86 |
CI, confidence interval; NPV, negative predictive value; PAMG-1, positive placental α microglobulin-1 test result; PPV, positive predictive value.
ROC curve analysis of a positive PAMG-1 test result and cervical length to predict preterm birth within 7 days and 14 days
| Indicator | Preterm birth <7 days | Preterm birth <14 days | ||||||
|---|---|---|---|---|---|---|---|---|
| Sensitivity (%) | Specificity (%) | PPV (%) | NPV (%) | Sensitivity (%) | Specificity (%) | PPV (%) | NPV (%) | |
| PAMG-1 | 10/34 (29) | 112/127 (88) | 10/25 (40) | 112/136 (82) | 12/45 (27) | 103/116 (88) | 12/25 (48) | 103/136 (76) |
| 95% CI | 15, 48 | 81, 93 | 21, 61 | 75, 88 | 15, 42 | 82, 94 | 28, 69 | 68, 83 |
| Cervical length <25 mm | 23/34 (68) | 107/127 (84) | 22/43 (54) | 107/118 (91) | 24/45 (53) | 97/116 (84) | 24/43 (56) | 97/118 (82) |
| 95% CI | 50, 83 | 77, 90 | 38, 69 | 84, 95 | 38, 68 | 76, 90 | 40, 71 | 74, 89 |
| PAMG-1 and cervical length <25 mm | 8/34 (24) | 125/127 (98) | 8/10 (80) | 125/151 (83) | 9/45 (20) | 115/116 (>99) | 9/10 (90) | 115/151 (76) |
| 95% CI | 11, 41 | 94, >99 | 44, 98 | 76, 88 | 10, 35 | 95, >99 | 56, >99 | 69, 83 |
| PAMG-1 or cervical length <25 mm | 25/34 (74) | 94/127 (74) | 25/58 (43) | 94/103 (91) | 27/45 (60) | 85/116 (73) | 27/58 (47) | 85/103 (83) |
| 95% CI | 56, 87 | 66, 81 | 30, 57 | 84, 96 | 44, 74 | 64, 81 | 33, 60 | 74, 89 |
CI, confidence interval; NPV, negative predictive value; PAMG-1, positive placental α microglobulin-1 test result; PPV, positive predictive value; ROC, receiver operating characteristic.
ROC curve analysis of cervical length (<25 mm) to predict preterm birth within 7 days and 14 days
| Measurement | Preterm birth <7 days Value (95% CI) | Preterm birth <14 days Value (95% CI) |
|---|---|---|
| Area under curve | 0.78 (0.68, 0.88) | 0.73 (0.64, 0.82) |
| Sensitivity (%) | 68 (50, 83) | 53 (38, 68) |
| Specificity (%) | 84 (77, 90) | 84 (76, 90) |
| PPV (%) | 54 (38, 69) | 56 (40, 71) |
| NPV (%) | 91 (84, 95) | 82 (74, 89) |
| Accuracy (%) | 81 (74, 87) | 75 (68, 82) |
CI, confidence interval; NPV, negative predictive value; PPV, positive predictive value; ROC, receiver operating characteristic.
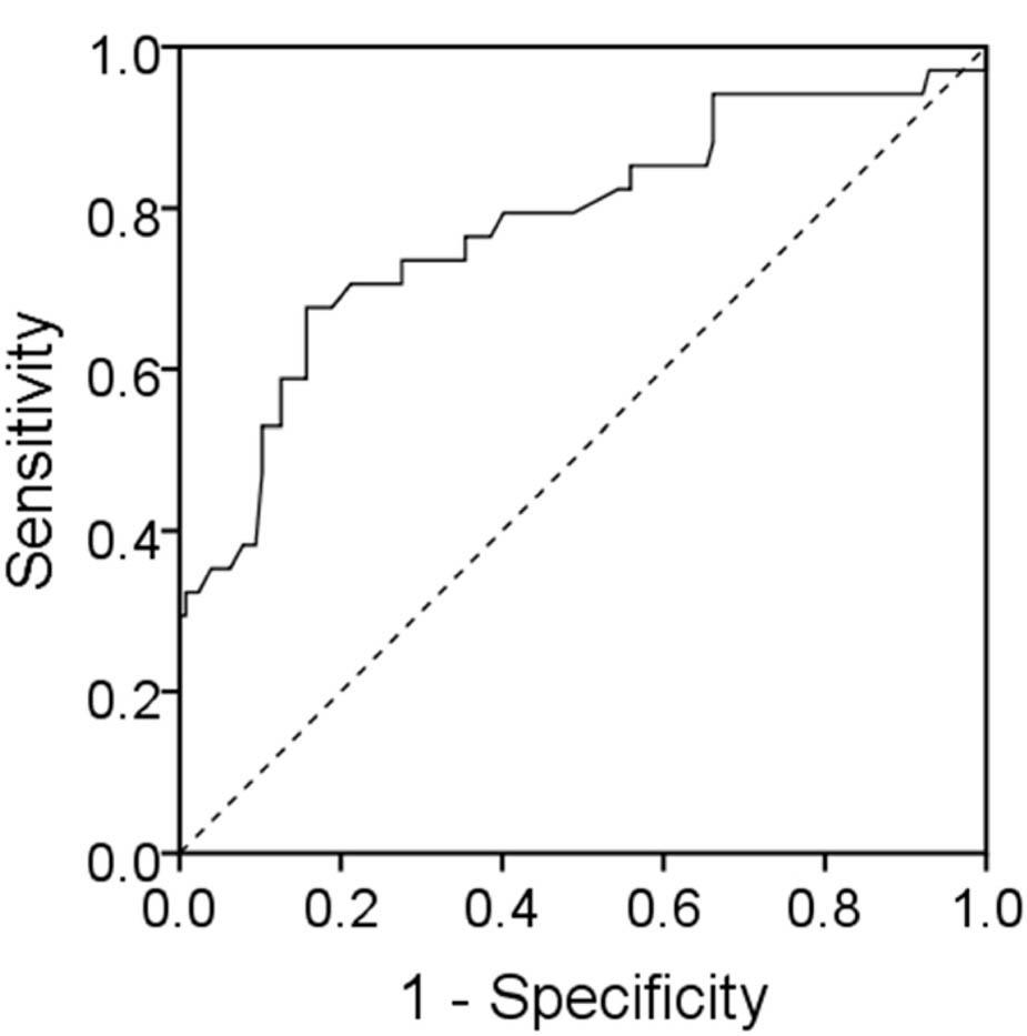
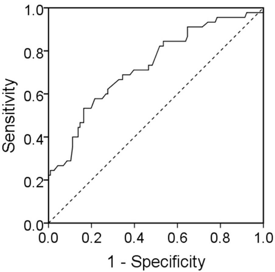
AUC (95% CI) for PAMG-1, cervical length <25 mm, PAMG-1 and cervical length <25 mm, and PAMG-1 or cervical length <25 mm
| Indicator | Preterm birth <7 days AUC (95% CI) | Preterm birth <14 days AUC (95% CI) |
|---|---|---|
| PAMG-1 | 0.59 (0.47, 0.70) | 0.58 (0.48, 0.68) |
| Cervical length <25 mm | 0.76 (0.66, 0.86) | 0.69 (0.59, 0.78) |
| PAMG-1 and cervical length <25 mm | 0.61 (0.49, 0.73) | 0.60 (0.49, 0.70) |
| PAMG-1 or cervical length <25 mm | 0.74 (0.64, 0.83) | 0.67 (0.57, 0.76) |
AUC, area under the receiver operating characteristic curve; CI, confidence interval; PAMG-1, positive placental α microglobulin-1 test result.
Figure 2
Receiver operating characteristic curve analysis of cervical length <25 mm and a PAMG-1 positive result to predict preterm birth ≤ 7 days. Diagonal segments are produced by ties. PAMG-1, placental α microglobulin-1.

Figure 3
Receiver operating characteristic curve analysis of cervical length <25 mm and a PAMG-1 positive result to predict preterm birth ≤14 days. Diagonal segments are produced by ties. PAMG-1, placental α microglobulin-1.

We sought to determine whether testing cervicovaginal fluid for PAMG-1 could be used with cervical length to improve the predictability of preterm delivery within 7 days or 14 days in our hospital setting. The 161 patients in our present study were all treated with the same protocol, which did not affect the time to delivery. Of the 161 pregnant women with labor pain who had a cervical length <30 mm, 45 (28%) went into delivery within 7 days, and of those, 14 women with cervical length <15 mm, 11 (79%) went into delivery in <7 days. A positive PAMG-1 test result had a high NPV of 82% for preterm birth within 7 days and 76% within 14 days. When a cervical length <30 mm was combined with a PAMG-1 positive result, the NPV increased to 83% for preterm birth within 7 days, and 77% within 14 days. When a cervical length <15 mm was combined with a PAMG-1 positive result, the PPV was higher than it was when using cervical length alone. Cervical length <15 mm alone is a good predictor of preterm birth within both 7 days and 14 days and explains this finding [25]. Nikolova et al. [31] found that a positive PAMG-1 test result has a higher PPV than fetal fibronectin, or cervical length <25 mm. When cervical length is used as an initial screen and later combined with PAMG-1 testing, it has the greatest utility to predict delivery within 7 days in patients with cervical length 15–35 mm [31, 32]. Without cervical length screening, a positive PAMG-1 test result is more accurate than fetal fibronectin even when fetal fibronectin is combined with cervical length [31, 32]. The present study found combining a cervical length <15 mm with a positive PAMG-1 test result was the best predictor for delivery within 7 days in women with preterm labor. Combining the cervical length with the PAMG-1 test result increases the accuracy of the test to predict delivery within 7 days, achieving our goal of guiding the rational use of antenatal corticosteroids and tocolytic agents, decreasing unnecessary admissions, and correcting triage of patients that are need in of utero transfer [14, 15, 31, 32]. Therefore, the pregnant women who are not at risk of premature delivery can be advised to stay at home without unnecessary tocolytics or admissions. Patients who are at risk of premature delivery can be referred for tertiary care at specialized perinatal centers. The test allows physicians time to make the best decision to support their patients and manage them optimally. Psychological and physical burdens, the length of hospital stay, and health care costs can be reduced.
The lower cervical length cutoff point is associated with the highest specific prediction of imminent delivery within either 7 days or 14 days. A higher cervical length cutoff point lowers the specificity of the test. We sought to determine whether there is a specific cervical length range in which the PAMG-1 test would be most applicable and found that when a cervical length ≤15 mm was combined with a positive PAMG-1 result, 122/144 patients (85%) delivered within 7 days. When cervical length >30 mm was combined with a positive PAMG-1 result, 9/97 patients (9%) delivered within 7 days. However, patients with cervical length measurements between these two cutoffs had varying rates of delivery within 7 days. In our present study, 14/50 (28%) patients with cervical length 15–30 mm delivered within 7 days of testing.
The present study suggests that a PAMG-1 test result is useful when combined with a cervical length of 15–30 mm. The ROC curve analysis found that an optimal cut off of cervical length <25 mm with a positive PAMG-1 result has a PPV of 80% to predict preterm birth within 7 days, and 90% within 14 days.
A limitation of the study is that patients with any bleeding per vagina, rupture of membranes, or who had undergone a vaginal examination had to be excluded. Therefore, the target population is not fully representative and the test can only be used in a limited population excluding those with the conditions described. Another limitation is that we did not meet our expected sample size target of 163 patients because of an unexpectedly high loss to follow up. Nevertheless, the sample size of 161 patients obtained did not unduly affect the results of the present study.
It is already known that a short cervix or cervical length <15 mm is a good predictor of imminent spontaneous preterm delivery within 7 days. When cervical length measurement 15–30 mm was used as a cutoff, it was the least accurate predictor of imminent spontaneous preterm delivery within 7 days. This study adds that a cervical length 15–30 mm combined with a positive PAMG-1 test result will provide a higher predictor of imminent spontaneous preterm delivery within 7 days than either method alone, and should be considered for clinical practice. Our present findings support those of Nikolova et al. [31] and Bolotskikh and Borisova [32], who reported predictive results for a cervical length 15–35 mm combined with a positive PAMG-1 test result.
Cervical length 15–30 mm combined with testing cervicovaginal fluid for PAMG-1 has a high accuracy to predict imminent spontaneous delivery within 7 days by pregnant women with preterm labor and cervical dilatation <3 cm in our clinical practice setting.