In the last 60‒70 years, stabilized soils have gained significant attention in the construction of structural components for buildings and infrastructure. Among these materials, stabilized soil blocks, particularly compressed earth blocks (CEBs), have emerged as a sustainable and cost-effective alternative to conventional masonry units (Venkatarama Reddy & Latha, 2014). CEBs are produced by compressing moist soil, often in combination with stabilizers, followed by immediate demolding. These blocks are engineered to meet specific performance criteria, including a minimum dry compressive strength of 2 MPa (Cid-Falceto et al., 2012).
The performance of cement-stabilized earth blocks is strongly influenced by the cement content (Venkatarama Reddy & Latha, 2014). According to Walker (1995), producing cement-stabilized blocks requires less than 10% of the energy needed for fired clay or concrete units. Furthermore, constructing 1 m2 of CEB masonry can consume up to 15 times less energy than traditional concrete block construction (Poullain et al., 2019). Numerous studies have demonstrated that increasing cement content not only improves the mechanical strength of CEBs but also reduces their water absorption (Kerali, 2001; Venkatarama Reddy & Gupta, 2005; Dao et al., 2018). Additionally, higher compaction pressure has been shown to further enhance these properties by decreasing porosity and improving internal bonding (Kerali, 2001; Taallah, 2014).
However, the environmental and economic sustainability of CEBs can be further enhanced by integrating local and recycled materials, especially in regions where natural resources are abundant but underutilized. In this context, sandy granite saprolite from Chétaïbi, a locally available volcanic material in Algeria, presents favorable properties for use in earth-based construction. Moreover, marble waste, a by-product of the stone industry, offers potential as a partial soil replacement while contributing to industrial waste valorization. Despite these promising prospects, few studies have explored the combined use of sandy granite saprolite from Chétaïbi and marble waste in stabilized CEBs, particularly in relation to variations in cement dosage and compaction effort.
The present study aims to fill this research gap by evaluating the hydromechanical performance of CEBs produced with 85% sandy granite saprolite from Chétaïbi and 15% marble waste, stabilized with different cement contents and compacted under varying pressures. This marble waste content was selected based on findings reported in the literature. Guettala et al. (2006) demonstrated that adding 30% sand improves soil quality for the production of CEBs. Other studies, particularly those by Muhwezi and Achanit (2019), indicated that a 10% sand addition provides optimal strength for the manufacture of cement-stabilized earth blocks. Based on the results obtained, the mixture containing 15% marble waste was selected for the production of CEBs.
Marble waste is characterized by a dense crystalline structure and low porosity, resulting from the compact nature of calcium carbonate (calcite) that forms its composition. This microstructure limits both water penetration and moisture retention within the material. To verify this advantage, Proctor compaction tests were carried out to determine the optimal compaction parameters of the studied mixtures. Two formulations were examined: the first composed solely of tuff, and the second incorporating 15% marble waste as a partial substitution. The results showed that the incorporation of marble waste leads to a reduction in the optimum moisture content compared to the tuff-based mixture. This decrease is attributed to the low porosity and non-plastic nature of the marble particles, which reduces water retention while promoting more efficient compaction and better material densification.
The novelty of this study lies in the simultaneous valorization of sandy granite saprolite and marble waste for the production of sustainable CEBs, offering an innovative approach to the management of local resources and a material combination that remains scarcely explored in the scientific literature. The experimental program focuses on key performance indicators: density, compressive strength, flexural strength, and total water absorption, with the goal of determining optimal formulation conditions that balance mechanical efficiency, water resistance, and environmental impact. The results are analyzed with reference to established international standards for CEBs.
The two main materials used in this study are sandy granite saprolite and marble waste. The sandy granite saprolite, collected from the Chétaïbi region (Annaba, Algeria), was selected as the base material due to its local availability and favorable granulometric characteristics for the production of CEBs. The marble waste, obtained from local marble processing plants located in Skikda (Algeria), was incorporated as part of a valorization approach for local and bio-based materials, thereby contributing to the enhancement of the environmental sustainability of the developed products.
The material originates from the Koudiat Zoubia quarry, located within the municipality and district (daïra) of Chetaïbi, in the Annaba province. The quarry is situated approximately 50 km northwest of the city of Annaba. The grain size distribution of the tuff was determined using two methods: a sieve analysis after washing, in accordance with the French standard NF P 94-056 (Association Française de Normalisation [AFNOR], 1992a) for particles larger than 80 µm, and a sedimentation test following the NF P 94-057 standard (AFNOR, 1992b) for particles smaller than 80 µm. The particle size distribution of the soil, along with its physical characteristics, is presented in Figure 1 and Table 1, respectively.

Grain size distribution curve of sandy granite saprolite
Source: own work.
Physical properties of the sandy granite saprolite
| Water contenta [%] | Bulk densityb [kg·m−3] | Solid particle densityc [kg·m−3] | Sand equivalentd [%] | Proctor teste | VBSf [-] | |
|---|---|---|---|---|---|---|
| ρ [g·cm−3] | Wopt [%] | |||||
| 11.11 | 1 460.66 | 2 427.18 | 80.93 | 1.75 | 11.6 | 0.24 |
According to NF P 94-050 (AFNOR, 1995);
According to NF P 18-554 (AFNOR, 1990);
According to NF P 94-054 (AFNOR, 1991),
According to EN 933-8 (CEN, 2015);
According to NF P 94-093 (AFNOR, 2014);
According to NF P 94-068 (AFNOR, 1998).
Source: own work.
The marble sand used in all block mixtures is white marble waste (0.2 mm) sourced from the Fil-fila quarry, located 25 km east of the city of Skikda. The grain size distribution of marble waste was determined in accordance with the European standard EN 933-2 (European Committee for Standardization [CEN], 2020). The physical properties of this marble waste, determined according to European standards, are presented in Table 2. The particle size distribution of the sand is illustrated in Figure 2.

Grain size distribution curve of marble waste
Source: own work.
Physical properties of marble waste
| Bulk density [g·cm−3] | Absolute density [g·cm−3] | Grain size distribution [%] | Fineness modulus | Sand equivalent [%] | ||
|---|---|---|---|---|---|---|
| < 0.08 mm | 0.08‒1.25 mm | 1.25‒5.0 mm | ||||
| 1.665 | 2.665 | 2.3 | 84.7 | 12.3 | 2.48 | 89.6 |
Source: own work.
The cement used is a high-performance portland cement, classified as CEM I 42.5R, in accordance with the Algerian standard NA 442-2013 (Institut Algérien de Normalisation [IANOR], 2013). It is sourced from the Biskra cement plant, located in the Biskra province. The chemical properties, potential clinker composition, and compressive strength are presented in Table 3.
Properties of the cement
| Property | Value |
|---|---|
| Chemical analysis [%] | |
| Loss on ignition | 2.6‒3.7 |
| Sulfate content (SO3) | 2.2‒2.8 |
| Magnesium oxide (MgO) | 1.7‒2.8 |
| Chloride content (Cl) | 0.03‒0.07 |
| Potential clinker composition [%] | |
| Tricalcium silicate (C3S) | 56‒66 |
| Tricalcium aluminate (C3A) | 5.1‒7.2 |
| Compressive strength [MPa] | |
| For the 2-day-aged sample | 20‒29 |
| For the 28-day-aged sample | 42.5‒52.5 |
Source: own work.
The water used in this study is potable water sourced from the Laboratory of Materials and Construction Durability of the University Mentouri of Constantine. As this is drinking water, its characteristics comply with NF P 18-303 (AFNOR, 1941).
Prior to block preparation, both the soil and marble waste were sieved through a two-millimeter mesh to eliminate coarse particles. The sieved materials were then oven-dried at 105°C for 24 h to ensure consistent moisture content. For each block, the total dry mass of the mixture was fixed at 2 kg, comprising 85% sandy granite saprolite and 15% marble waste by weight.
This base mixture was then combined with three different cement contents: 6%, 9%, and 12% by weight of the dry mixture. The dry components (sandy granite saprolite, marble waste, and cement) were thoroughly mixed for 3 min using a five-liter concrete mixer. The water corresponding to the Proctor optimum moisture content was subsequently added, and mixing continued for an additional 2 min to ensure uniform hydration, following the method described by Guettala et al. (2006).
The fresh mixture was placed into a steel mold with dimensions of 100 × 100 × 200 mm and compacted using a hydraulic press equipped with a movable lower plate and a fixed upper plate. Compaction was applied according to predefined pressures (2‒10 MPa, depending on the test group). Once demolded, the CEBs were carefully transferred to plastic freezer bags and cured at room temperature for 28 days to maintain a controlled moisture environment during the curing period. Before testing, the blocks were ovendried at a controlled temperature until a constant mass was reached to remove any remaining moisture. Three specimens were produced and tested for each experimental condition to ensure consistency and reliability. A schematic flowchart illustrating the complete experimental procedure is presented in Figure 3.

A detailed flowchart outlining the various stages of the workflow
Source: own work.
Before being subjected to testing, the CEBs must be oven-dried until a constant mass is achieved. The tests conducted in this study are as follows.
The density of the blocks was determined in accordance with the French standard XP P 13-901 (AFNOR, 2022). The dry bulk density is obtained by using the following formula:
This test was carried out according to the method described by Taallah et al. (2014). It involves fully immersing the blocks in water for 4 days, followed by measuring the weight gain relative to the dry weight. The total water absorption is then calculated using the following formula:
The dry compressive strength of the CEBs was evaluated in accordance with XP P 13-901. For this test, each specimen consisted of two half-blocks, stacked and bonded with a cement mortar joint. The assembly was subjected to uniaxial compression until failure using a hydraulic press with a capacity of 3,000 kN and a loading rate of 0.02 mm·s−1. This procedure enables the assessment of the mechanical strength of the blocks under dry conditions, a critical parameter for their structural use in construction. The dry compressive strength is calculated using the following formula:
In parallel, the flexural tensile strength was determined following the European standard EN 196-1 (CEN, 2016) using the three-point bending test. This test was conducted on block specimens with the same press (3,000 kN capacity) and loading rate (0.02 mm·s−1). The method provides valuable insights into the resistance of blocks to bending stresses, which is essential for evaluating their in-service performance. Together, these two mechanical tests offer a comprehensive characterization of the structural behavior and mechanical reliability of the CEBs. The flexural strength is calculated using the following formula:
The testing procedures are illustrated in Figure 4 for the compressive strength test and Figure 4b for the flexural strength test.

Compression test (a) and flexural test (b)
Source: own work.
In this phase, the effect of cement content on the properties of the CEBs was evaluated. The cement was added to the samples at a constant compaction pressure of 2 MPa.
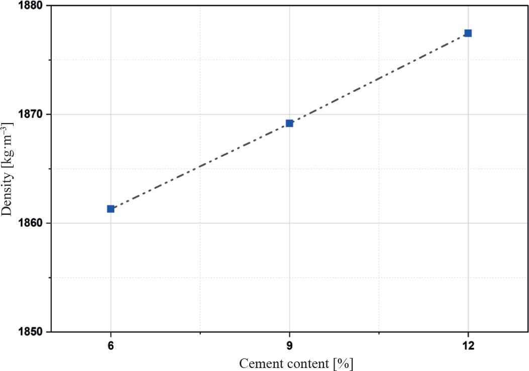
From a structural standpoint, increased density often correlates with enhanced mechanical properties such as compressive and flexural strength, as it reflects a more cohesive and compact material. Figure 5 shows the influence of cement content on the dry density of CEBs. A slight but consistent increase in density was observed as the cement content increased from 6% to 12%, with values ranging between 1,861.29 kg·m−3 and 1,877.44 kg·m−3. The density increased from 1861.29 kg·m−3 at 6% cement to 1,869.16 kg·m−3 at 9%, corresponding to an improvement of approximately 0.42%. A further increase to 12% cement resulted in a density of 1,877.44 kg·m−3, representing an additional 0.44% increase compared to the 9% mixture. Overall, the total increase in density between 6% and 12% of cement was about 0.87%. This trend can be attributed to the formation of cement hydration products, which progressively fill the voids within the soil matrix, leading to a denser internal structure.

Variation of density with cement content
Source: own work.
These findings are in agreement with those reported by Bahar et al. (2004), who found that cement-stabilized soils exhibited higher densities due to improved particle packing and reduced porosity. Similarly, Kerali (2001) demonstrated that cement additions contribute to the densification of the blocks. Riza and Rahman (2015) also reported that typical CEB densities fall within the range of 1,500–2,000 kg·m−3, consistent with the values recorded in the present study.
Similar observations were reported by Kumar and Barbato (2022) in their study on the effects of sugarcane bagasse fibers on the properties of compressed and stabilized earth blocks, where they noted that an increase in cement content leads to denser microstructures and enhanced interparticle cohesion.
The results obtained in this study are consistent with those reported by Elahi et al. (2021) for cement- and fly ash-stabilized earth blocks, whose apparent densities ranged between 1,800 kg·m−3 and 1,950 kg·m−3. This similarity confirms that the incorporation of cement within moderate proportions leads to a gradual densification of the matrix, producing compact and structurally coherent blocks comparable to those reported in the literature. The density values obtained in the present study are lower than those reported by Cruz and Bogas (2024) in their research on the durability of CEBs stabilized with recycled cement from concrete waste and incorporating construction and demolition waste, where densities ranging from 2,100 kg·m−3 to 2,190 kg·m−3 were recorded.
Figure 6 illustrates the influence of cement content on the total water absorption of CEBs. A clear decreasing trend is observed, with water absorption gradually reducing as cement content increases. After one day of immersion, the total water absorption decreased progressively with increasing cement content. The absorption value dropped from 14.16% at 6% cement to 13.92% at 9%. A further decrease to 13.25% was recorded at 12% cement, indicating a consistent improvement in the blocks’ resistance to water penetration with higher cement stabilization. This behavior is consistent with the results reported by Taallah et al. (2014), who demonstrated that cement stabilization improves the water resistance of CEBs. The observed reduction in absorption is primarily attributed to the formation of cement hydration products, which progressively fill the voids within the soil matrix, thereby reducing overall porosity and capillary pathways (Bahar et al., 2004).

Variation of total water absorption with cement content
Source: own work.
The total water absorption values recorded for the tested CEBs remain below the maximum threshold of 15% prescribed by the Indian standard IS 1725 (Bureau of Indian Standards [BIS], 1982). This indicates satisfactory water resistance and compliance with established durability criteria. When compared to conventional masonry materials, these results are particularly encouraging. For instance, clay bricks typically exhibit water absorption ranging from 10% to 30%, concrete blocks from 4% to 25%, and calcium silicate bricks from 6% to 16% (Taallah, 2014). The lower absorption rates of the studied CEBs highlight their potential as a more water-resistant alternative, especially when stabilized with appropriate cement content and subjected to effective compaction.
Our results are lower than those reported by Kumar and Barbato (2022), who observed a decrease in total water absorption from 24.35% to 20.22% as the cement content increased from 6% to 12%. They attributed this reduction to the enhanced formation of calcium-rich minerals, which promote the densification and homogenization of the soil–cement matrix in CEBs. The lower water absorption values obtained in the present study can be explained using marble waste, a material characterized by a dense crystalline structure and low intrinsic porosity, which makes the blocks more resistant to water penetration compared to those produced from more porous soils.
Figure 7 presents the effect of cement content on the dry compressive strength of CEBs. A clear enhancement in compressive strength is observed as the cement dosage increases from 6% to 12%, with recorded values ranging from 3.39 MPa to 6.39 MPa. All tested formulations exceed the minimum requirement of 2 MPa set by XP P 13-901, confirming their structural suitability. Overall, the compressive strength increased by approximately 88.5% between 6% and 12% cement, highlighting the significant influence of cement stabilization on the improvement of the mechanical performance of CEBs.

Dry compressive strength of compressed earth blocks as a function of cement content
Source: own work.
This strength gain is primarily attributed to the progressive development of cement hydration products, which occupy the pore spaces within the matrix and form rigid interparticle bonds, thereby improving the internal cohesion and load-bearing capacity of the blocks (Bahar et al., 2004). Venkatarama Reddy and Gupta (2005) further support this observation, showing that higher cement content reduces average pore size, contributing to a denser and stronger microstructure. Similar conclusions were reached by Taallah et al. (2014) and Dao et al. (2018), who demonstrated that cement stabilization significantly enhances the mechanical performance of earth-based materials, especially when combined with fine aggregates.
Our results are consistent with those reported by Tripura and Singh (2015), Elahi et al. (2021), and Kumar and Barbato (2022) regarding the influence of cement on the dry compressive strength of CEBs. Tripura and Singh (2015) investigated the properties of cement-stabilized earth blocks and reported compressive strengths ranging from 2.48 MPa to 7.42 MPa for cement contents between 4% and 10%. According to Elahi et al. (2021), increasing the cement content promotes the formation of additional hydration products, which strengthen interparticle bonds and thus enhance the compressive strength of the blocks. The compressive strengths obtained in the present study are higher than those reported by Kumar and Barbato (2022), who recorded values of 1.22 MPa, 1.95 MPa, and 3.70 MPa for cement contents of 0%, 6%, and 12%, respectively.
Figure 8 illustrates the influence of cement content on the flexural strength of CEBs. The results reveal a clear upward trend, with flexural strength values increasing from 1.80 MPa at 6% cement to 3.04 MPa at 9% and reaching a maximum of 4.02 MPa at 12%. This enhancement is consistent with the behavior observed in compressive strength and can be attributed to the increased formation of cement hydration products, which fill the pore spaces within the matrix and reinforce the microstructure through the development of strong interparticle bonds. These results also align with findings by Bahar et al. (2004) and Taallah et al. (2014), who reported that higher cement content enhances not only compressive but also tensile and flexural performance due to improved cohesion and reduced porosity.

Flexural strength of compressed earth blocks as a function of cement content
Source: own work.
The observed values significantly exceed the benchmark of 0.5 MPa proposed by Moevus et al. (2014) as the minimum requirement for earthen construction materials, particularly compacted earth.
The measured values substantially exceed the minimum threshold corresponding to one-tenth of the recommended compressive strength for CEBs (AE & CC, 2022), thereby confirming the satisfactory structural performance of the developed blocks. These findings highlight the efficiency of using locally available materials such as sandy granite saprolite and marble waste, which contribute to improved compactness and particle bonding within the cement-stabilized matrix.
Our results are consistent with those recently reported by Elahi et al. (2021) and Kumar and Barbato (2022) regarding the effect of cement content on the flexural strength of CEBs. However, the values obtained in the present study remain higher than those reported in their works. Elahi et al. (2021) recorded compressive strengths of 0.18 MPa for unstabilized samples, 0.27 MPa for blocks with 3% cement, 0.41 MPa with 5% cement, 0.55 MPa with 7% cement, and 0.66 MPa with 10% cement. Similarly, Kumar and Barbato (2022) reported compressive strengths of 0.29 MPa, 0.47 MPa, and 0.71 MPa for cement contents of 0%, 6%, and 12%, respectively.
From a sustainability standpoint, the excessive use of cement conflicts with the environmental goals of earthen construction, particularly with respect to reducing carbon dioxide emissions and energy consumption. It is, therefore, essential to optimize the binder content to achieve the desired mechanical performance while avoiding unnecessary over-stabilization.
In this study, the results demonstrate that a 6% cement content provides acceptable physical and mechanical properties, in compliance with current regulatory standards. Accordingly, for both economic (lower production costs) and environmental (reduced carbon footprint) considerations, this level of cement can be regarded as an optimal compromise for the formulation of the CEBs investigated.
This section explores the influence of compaction pressure, keeping the cement content fixed at 6%.
Figure 9 illustrates the variation in the dry density of CEBs as a function of the applied compaction pressure, at a constant cement content. The results indicate that increasing the compaction pressure leads to a progressive rise in dry density. This behavior is primarily attributed to the reduction in pore volume and improved particle packing, as reported by Taallah et al. (2014). These findings are consistent with those of Kerali (2001), who observed similar increases in density in cement-stabilized blocks, particularly at a cement dosage of 5% and compaction pressures of 6 MPa and 10 MPa. However, it is important to note that the overall increase in density observed in the present study remains relatively modest. This suggests that compaction pressure exerts a more dominant influence on density than cement content alone. These results are consistent with those reported by Tripura and Singh (2015), Elahi et al. (2021) and Atiki (2022). Atiki (2022) reported an increase in the density of CEBs from 1,668.41 kg·m−3 to 2,069.57 kg·m−3 as the compaction stress increased from 2 MPa to 10 MPa, highlighting the direct effect of compaction pressure on material densification.

Variation in the dry density of compressed earth blocks as a function of the applied compaction pressure
Source: own work.
Figure 10 illustrates the evolution of total water absorption in CEBs as a function of the applied compaction pressure. The results reveal a clear downward trend: as compaction pressure increases from 2 MPa to 10 MPa, total water absorption decreases from 14.16% to 10.27% after one day of immersion. This reduction is primarily attributed to the decrease in porosity caused by higher compaction levels, which enhances particle packing and limits capillary pathways for water ingress, as also noted by Taallah (2014).

Variation of the total water absorption of compressed earth blocks as a function of the applied compaction pressure
Source: own work.
These findings are in agreement with previous studies by Kerali (2001) and Taallah (2014), both of whom demonstrated that compaction plays a critical role in improving the water resistance of stabilized earth blocks. A slight increase in water absorption over time was also observed, reflecting continued pore saturation during prolonged immersion, which is a behavior typical of porous materials.
Importantly, under all tested compaction conditions, the total water absorption values remained below the 15% maximum limit specified by IS 1725, indicating good water durability. Furthermore, blocks compacted at 6 MPa and above exhibited absorption values below 12%, which, according to British technical standards from 1985, corresponds to moderate absorption – a threshold often associated with improved long-term durability (Taallah et al., 2014).
Figure 11 presents the variation in dry compressive strength of CEBs as a function of the applied compaction pressure, at a constant cement content. The results demonstrate a substantial improvement in mechanical performance with increasing compaction pressure. Specifically, the dry compressive strength rises from 3.39 MPa at 2 MPa of compaction to 8.53 MPa at 10 MPa of compaction, more than doubling over the range tested. This enhancement is primarily attributed to the formation of a denser and more uniform internal structure, resulting from the significant reduction in pore volume and improved particle interlocking under higher compaction.

Variation in the dry compressive strength of compressed earth blocks as a function of the applied compaction pressure
Source: own work.
These observations are consistent with the findings of Kerali (2001) and Taallah (2014), who emphasized the critical role of compaction in strengthening earth-based materials. By minimizing voids and promoting tighter particle arrangements, higher compaction pressures enhance the load-bearing capacity of CEBs without necessarily increasing binder content.
Furthermore, Figure 12 reveals a strong positive correlation between dry density and compressive strength. The data clearly show that as dry density increases, so does mechanical strength, confirming that densification is a key driver of performance in compressed earth materials. These results are consistent with those reported by Tripura and Singh (2015), Elahi et al. (2021) and Atiki (2022), who also highlighted the positive influence of compaction pressure on the compressive strength of CEBs.

Correlation between the dry density and compressive strength of compressed earth blocks as a function of the applied compaction pressure
Source: own work.
Notably, in terms of compressive strength, the blocks compacted at 4 MPa with only 6% cement outperformed those compacted at 2 MPa, even when higher cement contents of 9% and 12% were used. This finding highlights the critical role of densification induced by higher compaction pressure in enhancing the mechanical performance of CEBs.
Figure 13 illustrates the influence of compaction pressure on the flexural strength of CEBs. The experimental results clearly demonstrate that flexural strength increases significantly with higher compaction pressure. As the applied pressure rises from 2 MPa to 10 MPa, the flexural strength improves from 1.78 MPa to 3.86 MPa, more than doubling over the tested range. These results are consistent with those reported by Atiki (2022), confirming the beneficial effect of increasing compaction pressure on the improvement of CEB properties.

Variation in the flexural strength of compressed earth blocks as a function of the applied compaction pressure
Source: own work.
This enhancement is attributed to the same mechanisms that govern improvements in compressive strength, namely, the increased densification of the material and stronger interparticle bonding. Higher compaction reduces internal voids and promotes better particle contact, resulting in a more cohesive matrix capable of resisting tensile stresses associated with bending. These findings are consistent with those reported by Taallah et al. (2014), who emphasized the role of compaction in improving both compressive and tensile strength in earth-based construction materials.
The use of CEBs presents a sustainable and low-carbon alternative to conventional fired clay bricks, primarily due to their lower energy requirements during production and their potential to significantly reduce carbon dioxide emissions. This study investigated the valorization of two locally available and underutilized materials (sandy granite saprolite from Chétaïbi and marble waste) for the formulation of CEBs. The experimental program focused on assessing the effects of cement content and compaction pressure on key physico-mechanical properties, namely dry density, total water absorption, compressive strength, and flexural strength. The main findings can be summarized as follows:
- –
Both increased cement content and higher compaction pressure positively influenced the mechanical and physical performance of the CEBs. However, compaction pressure proved to be a more efficient and environmentally favorable strategy than increasing binder content.
- –
The results obtained in this study have significant practical relevance for the development of sustainable construction materials using locally available resources. The combination of sandy granite saprolite and marble waste enabled the production of CEBs exhibiting good mechanical performance and low water absorption, while reducing the environmental impact associated with the extraction of new raw materials. Comparison of these results with the standard requirements for CEBs and with recent studies indicates that the developed blocks can be used as structural masonry units.
- –
Future work should focus on evaluating long-term durability under real climatic conditions (e.g., wetting-drying, freeze-thaw cycles), as well as exploring alternative low-carbon stabilizers to further improve the sustainability of CEBs in regional construction practices.
