Have a personal or library account? Click to login
Broad Prebiotic Potential of Non-starch Polysaccharides from Oats (Avena sativa L.): an in vitro Study Cover

Broad Prebiotic Potential of Non-starch Polysaccharides from Oats (Avena sativa L.): an in vitro Study

Open Access
|Sep 2018

Figures & Tables

Fig. 1.

Changes in the viscosity of a solution containing 1% oat β-glucan, after heating it up to 60°C and cooling to room temperature. Data represent mean ± SD of triplicates.
Changes in the viscosity of a solution containing 1% oat β-glucan, after heating it up to 60°C and cooling to room temperature. Data represent mean ± SD of triplicates.

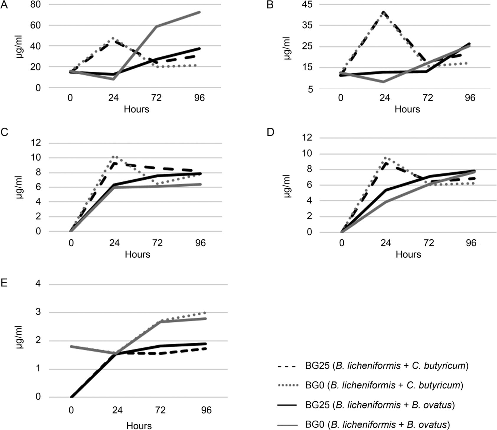
Fig. 2.

Changes in concentration of lactic (A), succinic (B), butyric (C), propionic (D), and acetic (E) acids within 96 hours of syntrophic in vitro fermentation of BG0 and BG25 by B. licheniformis in the consortium with C. butyricum and B. ovatus.
Changes in concentration of lactic (A), succinic (B), butyric (C), propionic (D), and acetic (E) acids within 96 hours of syntrophic in vitro fermentation of BG0 and BG25 by B. licheniformis in the consortium with C. butyricum and B. ovatus.

Fig. 3.

The total acids concentrations and changes in pH within the 96 hours of syntrophic in vitro fermentation of BG25 (A, C) and BG0 (B, D) by B. ovatus (A, B) and C. butyricum (C, D) in consortium with B. licheniformis.
The total acids concentrations and changes in pH within the 96 hours of syntrophic in vitro fermentation of BG25 (A, C) and BG0 (B, D) by B. ovatus (A, B) and C. butyricum (C, D) in consortium with B. licheniformis.
DOI: https://doi.org/10.21307/pjm-2018-036 | Journal eISSN: 2544-4646 | Journal ISSN: 1733-1331
Language: English
Page range: 307 - 313
Submitted on: Mar 6, 2018
Accepted on: Apr 20, 2018
Published on: Sep 4, 2018
Published by: Polish Society of Microbiologists
In partnership with: Paradigm Publishing Services
Publication frequency: 4 issues per year

© 2018 VANDA SARGAUTIENE, ILVA NAKURTE, VIZMA NIKOLAJEVA, published by Polish Society of Microbiologists
This work is licensed under the Creative Commons Attribution-NonCommercial-NoDerivatives 4.0 License.