Figure 1:

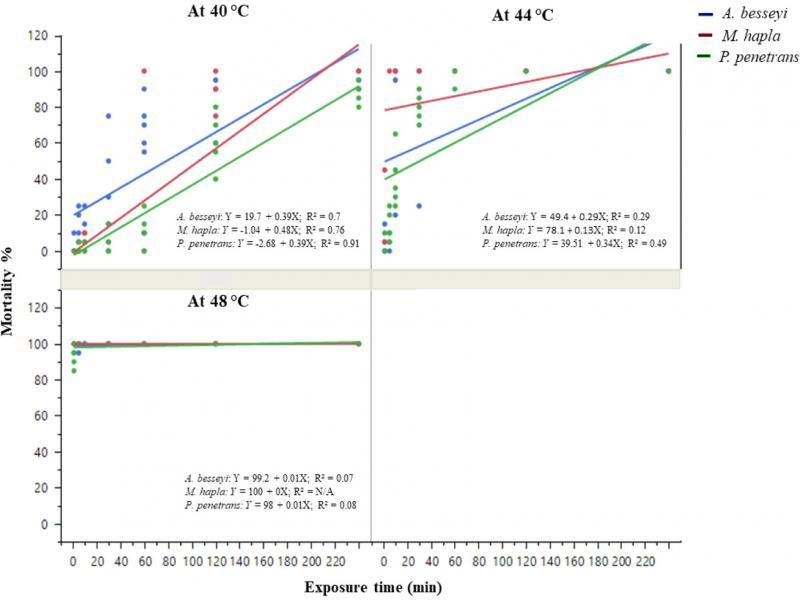
Figure 2:

Effect of hot water on mortality percentage of three nematode species (Aphelenchoides besseyi, Pratylenchus penetrans, and Meloidogyne hapla; n = 20) 24 hr post heat treatment at 40, 44, 48, and 52°C for 1, 5, 10, 30, 60, 120, and 240 min_
| Factor | Treatment level | 40°C | 44°C | 48°C | 52°C |
|---|---|---|---|---|---|
| Nematode (N) | A. besseyi | 45.4a | 68.9b | 99.5ab | 100.0a |
| P. penetrans | 23.5c | 62.4c | 98.8b | 99.9a | |
| M. hapla | 31.1b | 86.9a | 100.0a | 100.0a | |
| Exposure time (T) | 1 min | 1.7e | 4.7d | 96.7b | 99.7a |
| 5 min | 4.2e | 40.6c | 99.4a | 100.0a | |
| 10 min | 6.1de | 75.3b | 100.0a | 100.0a | |
| 30 min | 17.8cd | 89.7a | 100.0a | 100.0a | |
| 60 min | 28.9c | 98.9a | 100.0a | 100.0a | |
| 120 min | 79.4b | 100.0a | 100.0a | 100.0a | |
| 240 min | 95.0a | 100.0a | 100.0a | 100.0a | |
| P value | N | < 0.0001 | < 0.0001 | 0.0007 | 0.3714 |
| T | < 0.0001 | < 0.0001 | < 0.0001 | 0.4294 | |
| N × T | < 0.0001 | < 0.0001 | < 0.0001 | 0.4543 |
Effect of hot water on paralyzed nematode percentage of three nematode species (Aphelenchoides besseyi, Pratylenchus penetrans, and Meloidogyne hapla; n = 20) immediately after treatment at 40, 44, 48, and 52°C for 1, 5, 10, 30, 60, 120, and 240 min_
| Factor | Treatment level | 40°C | 44°C | 48°C | 52°C |
|---|---|---|---|---|---|
| Nematode (N) | A. besseyi | 50.8b | 70.0c | 99.3a | 100.0a |
| P. penetrans | 47.1b | 75.7b | 98.9a | 99.9a | |
| M. hapla | 63.0a | 100.0a | 100.0a | 100.0a | |
| Exposure time (T) | 1 min | 1.1e | 45.3d | 96.9b | 99.7a |
| 5 min | 10.8d | 56.4c | 98.9ab | 100.0a | |
| 10 min | 33.1c | 77.2b | 100.0a | 100.0a | |
| 30 min | 58.6b | 94.4a | 100.0a | 100.0a | |
| 60 min | 88.9a | 100.0a | 100.0a | 100.0a | |
| 120 min | 90.8a | 100.0a | 100.0a | 100.0a | |
| 240 min | 92.2a | 100.0a | 100.0a | 100.0a | |
| P value | N | < 0.0001 | < 0.0001 | 0.1075 | 0.3714 |
| T | < 0.0001 | < 0.0001 | 0.0005 | 0.4295 | |
| N × T | < 0.0001 | < 0.0001 | 0.2769 | 0.4545 |
Effect of aerated steam at 44°C on reproduction of three nematode species (Aphelenchoides besseyi, Pratylenchus penetrans and Meloidogyne hapla) and plant dry weight (g) of strawberry under various exposure timesa_
| A. besseyi | P. penetrans | M. hapla | |||||
|---|---|---|---|---|---|---|---|
| Treatment | Nematodes per pot | Foliage dry wt. | Nematodes per pot | Plant dry wt. | Nematodes per pot | Eggs per root system | Plant dry wt. |
| 60 min exposure | 953a | 2.2a | 225b | 3.7ab | 3b | 480b | 5.1a |
| 120 min exposure | 78b | 1.8a | 145bc | 3.8ab | 0.1b | 552b | 4.8a |
| 240 min exposure | 0b | 2.4a | 69bc | 3.1b | 0b | 0b | 5.5a |
| Inoculated untreated control | 1267a | 1.8a | 462a | 4.5a | 67a | 19042a | 6.1a |
| Uninoculated untreated control | 0b | 2.9a | 0c | 4.9a | 0b | 0b | 5.0a |
| P value | < 0.0001 | 0.1163 | < 0.0001 | 0.0032 | < 0.0001 | < 0.0001 | 0.7167 |