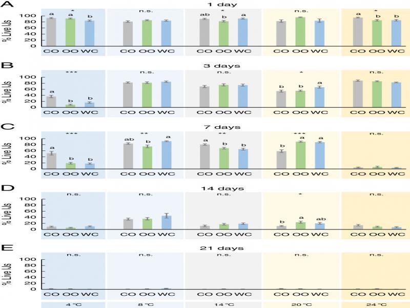
Figure 1:

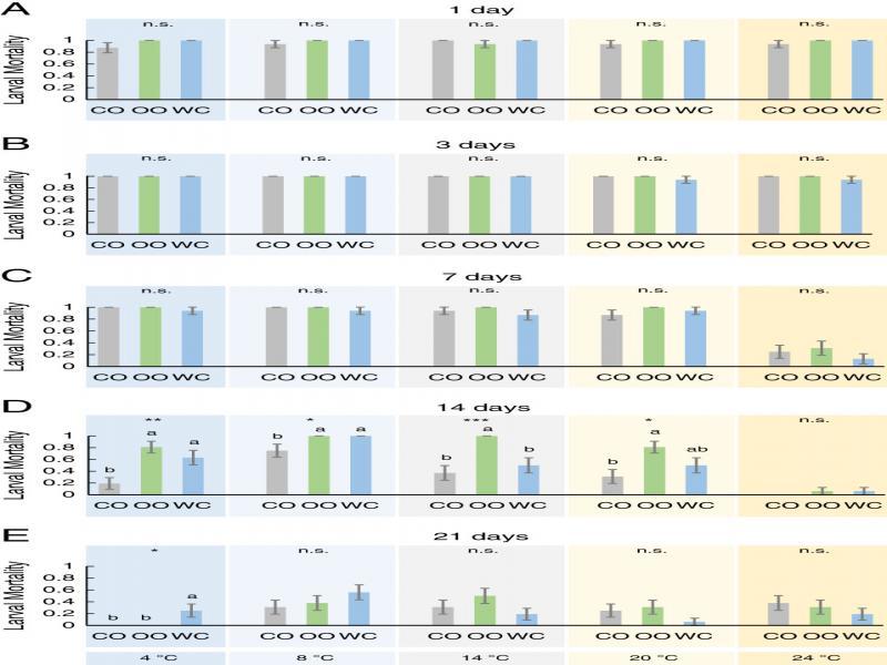
Figure 2:

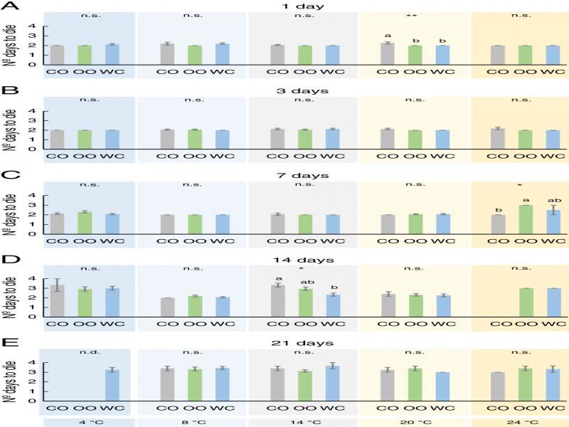
Figure 3:

Figure 4:

Statistical analysis of the effect of three factors (adjuvants, temperature and time of storage) and their interactions (GLM, P < 0_05) in the infective juvenile (IJ) survival measured as percentage of live IJ, and its virulence measured as larval mortality and number of days to kill the insects_
| Fixed factors | % Live IJs | % Dead larvae | No. days to die |
|---|---|---|---|
| Adjuvant (Adj) | F 2, 1,125 = 1.53; P = 0.217 | F 2, 1,125 = 15.31; P < 0.001 | F 2,786 = 0.69; P = 0.513 |
| Incubation temperature (Temp) | F 4, 1,125 = 228.95; P < 0.001 | F 4, 1,125 = 49.31; P < 0.001 | F 4,786 = 9.24; P < 0.001 |
| Incubation time (Time) | F 4, 1,125 = 2,309.61; P < 0.001 | F 4, 1,125 = 274.73; P < 0.001 | F 4,786 = 185.90; P < 0.001 |
| Adj × Temp | F 8, 1,125 = 17.40; P < 0.001 | F 8, 1,125 = 2.67; P = 0.007 | F 8, 786 = 1.86; P = 0.063 |
| Adj × Time | F 8, 1,125 = 2.31; P = 0.018 | F 8, 1,125 = 7.39; P < 0.001 | F 8, 786 = 3.26; P = 0.001 |
| Tem × Time | F 16, 1,125 = 136.59; P < 0.001 | F 16, 1,125 = 19.43; P < 0.001 | F 16, 786 = 10.89; P < 0.001 |
| Adj × Temp × Time | F 32, 1,125 = 5.52; P < 0.001 | F 32, 1,125 = 1.42; P = 0.061 | F 32, 786 = 2.11; P = 0.001 |
Interactions of the co-application of entomopathogenic nematodes and entomopathogenic fungi formulated in different adjuvants for the suppression of Galleria mellonella larvae after_
| Adjuvant | Observed mortalitya | Expected mortalityb | χ 2 | Interaction |
|---|---|---|---|---|
| Distilled water | 81.3 | 76.6 | 0.28 | Additive |
| Cocoa oil | 81.5 | 76.6 | 0.31 | Additive |
| Olive oil | 87.8 | 76.6 | 1.58 | Additive |