The potato cyst nematode (PCN) Globodera pallida (Stone, 1972) is a potato pest of economic importance worldwide. Plant resistance is the most efficient way to reduce crop damage and reproduction of this nematode. In contrast to Globodera rostochiensis (Wollenweber, 1923) which is effectively controlled using resistant potato cultivars, there is a lack of cultivars with stable resistance to G. pallida pathotypes. Nevertheless, using plant resistance in an integrated pest management system remains the most viable way to keep nematode densities below the damage threshold. European populations of G. pallida are highly heterogeneous (Turner et al., 1983; Turner and Fleming, 2002; Dalton et al., 2013; Rigney et al., 2017) mainly consisting of pathotype 2 and 3 (Pa2/3). As a consequence, no single resistance gene is able to confer full resistance against all European populations of G. pallida Pa2/3 (Dalton et al., 2013). The potato cultivars available to the growers have been introgressed with resistance derived from species such as Solanum vernei (Gpa1 and Gpa5), S. tuberosum spp. andigena (H1 and Gpa2), and S. spegazzinii (Gpa) among others (Bakker et al., 2006; Dalamu et al., 2012). These genes confer pathotype-specific resistance and they differ in their mode of action.
Infestation of potato plants by G. pallida occurs soon after the hatching of second-stage juveniles (J2s), a process that is initiated by chemical stimuli present in the potato root exudate. The exudate is continuously produced by actively growing potato roots and diffuses in the rhizosphere where it comes into contact with nematode cysts. Hatched J2s then locate young host roots and penetrate near the root tip. They move intracellularly towards the pericycle and use a stylet to pierce the cell walls and inject salivary secretions containing growth regulators into the host cells. These regulators function by modifying the host cells into a feeding structure known as syncytium that ensures continuous nourishment of the developing nematode (Moens et al., 2018).
The presence of the invasive juveniles in the roots of resistant hosts trigger a cascade of immune responses that thwart further development of the nematode. Potato cultivars having different resistance gene(s) respond differently to PCN infestation. Sometimes, the J2s may fail to initiate a syncytium and therefore exit the root of resistant hosts or die within the root. In other cases, development of the nematode in the host root may be arrested or there may be a shift in sex ratio in favor of males (Trudgill, 1967; Rice et al., 1985; Schouten, 1993; Bakker et al., 2006; Williamson and Kumar, 2006; Smant et al., 2018). For instance, the H1 gene which confers resistance to pathotype Ro1 and Ro4 of G. rostochiensis triggers a hypersensitive reaction characterized by necrosis and death of cortical cells surrounding the invading nematode (Rice et al., 1985; Bakker et al., 2006; Smant et al., 2018). This is followed by the formation of a syncytial complex which restricts the development of the syncytium resulting in poorly formed feeding cells. The invading J2s are deprived of adequate food leading to the formation of more males than females since sex in PCN is epigenetically determined (Trudgill, 1967; Schouten, 1993; Bakker et al., 2006). In plants having GPa2 genes, syncytia may be formed, but proliferation is arrested within a few days. The cells surrounding the syncytium become necrotic leading to the degeneration of the feeding structure. In this case, females are formed but their development is arrested and they fail to develop eggs (Bakker et al., 2006).
When cultivars carrying similar resistance genes are grown repeatedly for several generations, they impose strong selection pressure which increases the frequency of virulent individuals within a nematode population (Turner, 1990; Turner and Fleming, 2002). There are reports for Germany and the Netherlands about G. pallida populations with the new virulence type due to overuse of potato cultivars carrying quantitative resistance genes (Niere et al., 2014). Resistance breaking has been reported in other important plant parasitic nematodes such as Meloidogyne incognita overcoming the Mi gene in tomatoes (Kaloshian et al., 1996).
Change of virulence of G. pallida populations has been studied in controlled experiments (Turner et al., 1983; Turner, 1990; Beniers et al., 1995; Schouten and Beniers, 1997; Turner and Fleming, 2002; Beniers et al., 2019). In this case, isolates with increased virulence were artificially selected from avirulent populations reared on hosts carrying quantitative resistance genes (Schouten and Beniers, 1997; Castagnone-Sereno et al., 2007; Fournet et al., 2013). Schouten and Beniers (1997) multiplied G. pallida Pa3 on resistant cultivar ‘Karakter’ and they noted a significant increase in virulence after three generations on the same cultivar. Turner et al. (1983) detected a change in virulence of G. pallida after five generations of reproduction on PCN resistant S. vernei hybrids while in a study carried out by Fournet et al. (2013) it took the nematode eight years to completely overcome host resistance.
Change of virulence of a population as a result of selection on a resistant cultivar is often associated with a fitness cost (Thrall, 2003). This is a penalty that comes in form of reduction in pathogenic aggressiveness in a susceptible host or a compromise on another trait (Vera Cruz et al., 2000). This has been confirmed with bacteria (Ferenci, 2016; Peyraud et al., 2016), some fungi (Montarry et al., 2010), viruses (Jenner et al., 2002), and some plant parasitic nematodes. For instance, Castagnone-Sereno et al. (2007) found that Meloidogyne incognita selected on tomato carrying the Mi resistance gene had a lower fitness on susceptible hosts. In contrast, no compromise in fitness of G. pallida despite several generations of selection on resistant cultivars was reported by Turner (1990). Beniers et al. (1995) reported that increase in virulence of G. pallida is associated with increased fitness on a susceptible host. This was confirmed by Fournet et al. (2016), when they studied the life history traits of a G. pallida lineage that had been selected on resistant potato cultivars. They found that the lineage formed bigger cysts with more eggs on the susceptible cultivar and hatched faster compared to the unselected lineages. No such study has been done with G. pallida populations selected in the field.
Recently, Niere et al. (2014) reported a new virulence type of G. pallida in populations obtained during field monitoring in the Emsland region of Lower Saxony, Germany. This new virulence type, herein referred to as population Oberlangen, was able to reproduce on starch potato varieties carrying resistance genes against pathotypes Pa2/3. Oberlangen is an example of selection by continued cultivation of resistant potato cultivars against G. pallida Pa2/3. However, there is little information regarding this population and other virulent field populations from the same region.
In this study, the Oberlangen population was selected for further testing and characterization using G. pallida Chavornay (EPPO, 2006) as a reference population. This study aimed at comparing the development, virulence, and fitness of Globodera pallida Oberlangen to the G. pallida Chavornay and to assess various life history traits associated with change in virulence.
Globodera pallida Oberlangen and G. pallida Chavornay were used in the study. The origin of Oberlangen are potato fields in Emsland region of Lower Saxony, Germany (Niere et al., 2014) while Chavornay, which is the official reference population used in testing potato cultivars for resistance against G. pallida Pa3 (EPPO, 2006), was obtained from the JKI-Braunschweig-Germany. The two populations were maintained on susceptible cv. ‘Desiree’ in JKI-Braunschweig. Prior to the study, the populations were reproduced and subsequently stored at 4°C for a minimum period of six months to break diapause.
Potato cultivars with different levels of resistance to G. pallida Pa2/3 (JKI, 2017) were used in this study. The cultivars ‘Laura’, ‘Albatros,’ and ‘Belana’ lack resistance to G. pallida, but they are highly resistant to G. rostochiensis Ro1/4. Potato cultivar ‘Ribera’ has a partial resistance to G. pallida (score = 6), but the source of resistance could not be established. The cultivars, ‘Amado’, ‘Amanda,’ and ‘Seresta’ are rated high in their resistance to G. pallida. The three cultivars carry several resistance genes largely from Solanum vernei and S. tuberosum ssp. andigena (Hutten and Berloo, 2001; van Berloo et al., 2007). The source of resistance in ‘Euroviva’ and ‘Eurotonda’ is assumed to come from S. vernei, but this information is not publicly available. Potato cultivar ‘Desiree’ lacks resistance to PCN and therefore it was used as the reference cultivar. The potato tubers were pre-germinated in the dark at room temperature before transferring the sprouting tubers into a well-lit room for shoot hardening.
Cysts of both G. pallida populations Oberlangen and Chavornay were incubated in potato root diffusate (PRD), Zinc Chloride (ZnCl2), or tap water (H2O). The hatched J2s were counted weekly for a period of eight weeks. PRD was obtained from the susceptible potato cv. ‘Desiree’ grown in the glasshouse for a period of three weeks. The plants were uprooted and roots cleaned in running water to remove adhering soil and placed in a beaker with the roots suspended in 250 ml tap water. The setup was left in the dark overnight (Rawsthorne and Brodie, 1986). Thereafter, the root diffusate was filtered using filter paper (Macherey-Nagel GmBh & Co. KG). Collected PRD was diluted by adding equal volume of water and stored at 4°C for a short period prior to use, fresh PRD was continuously produced for the entire period of the experiment. A standard concentration of 3 mM of ZnCl2 (Greet, 1974) was used alongside PRD and tap water.
Hatching assays were conducted using batches of 20 cysts from the same reproduction cycle using four replications per treatment. Hatching was done in tubes measuring 15 mm in diameter and 60 mm height with a 100 µm sieve fixed at the bottom to hold the cyst, but allow movement of hatched juveniles into the hatching media. Hatching tubes containing cysts were placed into 15 ml Falcon tubes filled with hatching medium. Cysts were soaked in tap water for a week before they were transferred into the hatching media and incubated in the dark at room temperature. The hatched juveniles collected at the bottom of the tubes were counted weekly and the hatching media renewed. Hatching was monitored over a period of eight weeks after which the cysts were crushed and the number of unhatched eggs determined.
The development of Globodera pallida Oberlangen in the roots of susceptible cv. ‘Desiree’ and resistant cv. ‘Seresta’ was studied and compared with the reference population G. pallida Chavornay. Eye-plugs were scooped from pre-sprouted tubers using a melon baller and planted in 192 ml pots containing loess soil enriched with slow release fertiliser ((Osmocote Exact Standard®) 15% N, 9% P2O5,12% K2O, and 2% MgO) at a rate of 1.5 g (kg soil)−1 (Müller and Rumpenhorst, 2000; Mwangi et al., 2019). In total, 120 pots containing either cv. ‘Desiree’ or cv. ‘Seresta’ were inoculated with hatched J2s of Oberlangen or Chavornay, respectively. To obtain inoculum, nematode cysts were put on a 250 µm plastic sieve placed on a funnel with a tube clamped at the bottom. The cysts were soaked in water for one week after which the water was replaced with PRD produced as described above. The setup was left in the dark at room temperature to induce hatching. After seven days, hatched juveniles were enumerated and used for inoculation. Inoculation was done 14 days after planting. In total, 60 pots with cv. ‘Desiree’ and 60 ‘Seresta’ plants were inoculated with J2s of either Oberlangen or Chavornay population. For inoculation, two-30 mm deep holes were made in the moist soil using a plastic rod and approximately 600 J2s were dispensed equally into the two holes using a pipette and the holes carefully covered with soil. Pots were completely randomized in a metal box and placed on the glasshouse bench. Plants were watered as required throughout the experiment. Glasshouse temperatures were set at 18 ± 2°C. Soil and air temperature were recorded hourly using a Testo® 175T3 (Testo Ltd, UK) temperature logger.
Seven days post inoculation (DPI), and weekly thereafter, four pots from each treatment were randomly picked and used to assess the development of nematodes in the roots. Plants were removed from the pot and the soil clinging to the roots carefully collected for the extraction of J2s and males. Roots were then rinsed in running water and the entire root system stained with acid fuchsin (Byrd et al., 1983). Stained nematodes were visually examined under the Nikon® SMZ1270 stereo microscope and nematodes at different stages of development recorded. Male nematodes were extracted from the soil using the centrifugation flotation method (EPPO, 2013).
The reproduction of G. pallida Oberlangen and Chavornay was assessed on the 10 potato cultivars listed above. For each of the cultivars, small-sized tubers were planted in 1,000 ml pots using loess soil as a substrate. Upon emergence, (approx. 2 weeks after planting) five pots each were inoculated with 5 eggs and J2s per ml soil (EPPO, 2006) of either Oberlangen or Chavornay. Inoculum was prepared by soaking cysts in water and crushing them to free eggs and J2s (Seinhorst and Den-Ouden, 1966). The eggs and J2s in the suspension were counted and adjusted to achieve an estimated number of 500 eggs and J2s ml−1. The egg and J2s suspension was dispersed into four 30 mm deep holes made into the substrate to achieve the initial density (Pi) of 5 eggs and J2s per ml soil. The holes were then carefully covered with soil and the pots randomized on the glasshouse bench. The air and soil temperatures were recorded throughout the experiment as described above.
In total, 12 weeks after inoculation, the experiment was terminated and cysts extracted from each pot by washing the soil through a 250 µm bucket sieve (Mwangi et al., 2019). Cysts and plant debris retained in the sieve were collected on filter paper and the content dried at 35°C for 3 days. Cysts were then separated from the plant debris using acetone (van Bezooijen, 2006) and counted under a stereo microscope. To determine the final nematode population (Pf) and the reproduction factor (Rf), all the extracted cysts per pot were crushed and the average number of eggs per cyst estimated. All the experiments were repeated once.
The size of the cysts of G. pallida Oberlangen and Chavornay extracted from the susceptible cv. ‘Desiree’ and resistant cv. ‘Seresta’ were measured using a Nikon® SMZ18 Stereo Zoom Microscope. Measurements were taken of 40 randomly picked cysts per population and cultivar. In addition to measuring the diameter, the cyst content was also determined in batches of 10 cysts replicated 10 times, to estimate the mean number of eggs and J2s per cyst (Seinhorst and Den-Ouden, 1966; van Bezooijen, 2006).
The size of the cysts of six other virulent populations (NI-Gpa-VIR002, NI-Gpa-VIR003, NI-Gpa-VIR004, NI-Gpa-VIR011, NI-Gpa-VIR012, and NI-Gpa-VIR013) and three avirulent populations (NI-Gpa-AVI001, NI-Gpa-AVI002, and NI-Gpa-AVI003) was determined as described above. These populations had been obtained at different time period during field monitoring in the Emsland region of Lower Saxony-Germany and their virulence determined (S. Kruessel, LWK-Niedersachsen, pers. comm.). However, unlike Oberlangen, they were not reproduced in the glasshouse prior to the study.
The males of G. pallida Oberlangen and Chavornay recovered from the susceptible cv. ‘Desiree’ and resistant cv. ‘Seresta’ were measured. Male nematodes were handpicked from a water suspension and mounted on a microscopic slide with a drop of water. A cover slip was carefully placed on the drop of water containing nematodes and the slide placed briefly on a hot plate at 60°C to relax the nematode. Measurements were taken from 40 males per treatment using Nikon® SMZ18 Stereo Zoom Microscope. To measure the J2s, cysts recovered from the susceptible cv. ‘Desiree’ and resistant cv. ‘Seresta’ used in the development study above were placed in PRD to induce hatching. J2s were then handpicked and temporary slides prepared as above. Measurements were taken of 40 J2s per treatment.
The reproduction factor (Rf) of the nematodes was determined by dividing the final nematode population (Pf) by the initial population (Pi). The relative susceptibility (Rs) of the tested potato cultivars and their levels of resistance to Oberlangen and Chavornay were determined as described in the EPPO (2006) using cv. ‘Desiree’ as a susceptible reference control. Data were tested for normality using Shapiro test while Levene’s test was used to assess the homogeneity of variance. Analysis of variance was done for data on size of cysts, J2s and males as well as the mean number of eggs per cyst. Means that were significantly different (P ≤ 0.05) were separated using Tukey’s HSD test. There was no significant difference (P > 0.05) between two experiments testing the virulence of G. pallida Oberlangen and Chavornay. Therefore, data from the two experiments were pooled prior to analysis. T-test was used to compare the mean number of cysts per cultivar between Oberlangen and Chavornay. Kruskal–Wallis test was used to compare mean number of cysts per cultivar within each of the two populations as well as comparing the cyst diameter of the virulent and avirulent populations. Means that were significantly different at P ≤ 0.05 were separated using Kruskal Post Hoc test. All statistical analyses were done using R-software version 3.6.0 (R Foundation for statistics computing) and data were plotted using SigmaPlot® 13.0.
The number of hatched juveniles of Globodera pallida Oberlangen and G. pallida Chavornay over 8 weeks was greater in PRD (P < 0.05) than in ZnCl2 and the control (Fig. 1). Except for the control, the percentage of hatched juveniles in PRD was significantly greater for Chavornay compared to Oberlangen between week 1 and 4 (P < 0.05). After 8 weeks, the proportion of hatched juveniles was higher in Chavornay with 67.78% compared to Oberlangen with 62.80%. Hatching in H2O was lower than in PRD and ZnCl2 for both populations.

Cumulative percentage hatch of Globodera pallida Oberlangen (Ober) and Chavornay (Chav) in potato root diffusate (PRD), Zinc Chloride (ZnCl2), and water (H2O) over a period of eight weeks. The error bars represent the standard error of the mean.
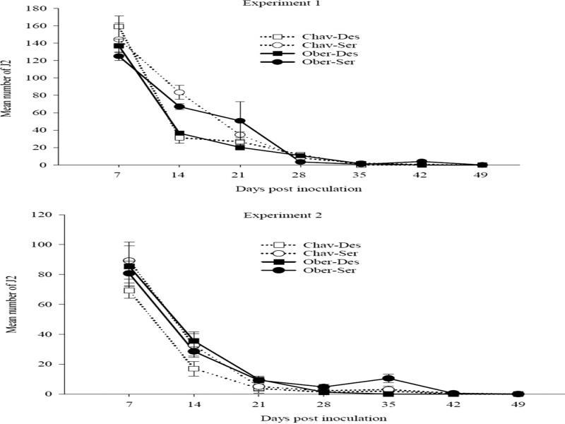
In both experiments, invasive juveniles of the two nematode populations were found in similar numbers at 7 DPI in the roots of the susceptible and resistant cultivars (Fig. 2). However, in the first experiment, the average number of J2s that penetrated the host within seven days was higher with 141 ± 20 J2s per root system, compared to the second experiment with 81 ± 10 J2s per root system. The number of J2s in the roots decreased significantly during the first three samplings. At 14 and 21 DPI, the number of Oberlangen and Chavornay J2s in the resistant cv. were higher (P < 0.05) than in the roots of the susceptible cv. in experiment one (Fig. 2). In the second experiment, J2s of Oberlangen were still found in roots of cv. ‘Seresta’ at 35 DPI while only few J2s were detectable in ‘Desiree’ roots. The number of Chavornay J2s molting into the progressive stages in cv. ‘Seresta’ was lower compared to Oberlangen (unpubl. data).

Number of second-stage juveniles (J2s) of Globodera pallida Oberlangen (Ober) and Chavornay (Chav) in the roots of the susceptible cv. ‘Desiree’ (Des) and resistant cv. ‘Seresta’ (Ser) potato cultivars 49 days after inoculation. Four plants (n = 4) of each nematode-cultivar combination were sampled and J2s enumerated at different days post inoculation in experiments 1 and 2. The vertical bars represent the standard error of the mean.
Male nematodes were detected in the roots of ‘Desiree’ and ‘Seresta’ at 21 DPI in both experiments (Fig. 3). There was no significant difference in the number of males of the two populations recovered from the roots of the resistant cultivar ‘Seresta’. However, for ‘Desiree’, Chavornay produced more males than Oberlangen. Subsequently, the number of males recovered from the soil increased significantly reaching the climax at 35 DPI. In the first experiment, the number of males recovered on the resistant cv. between 21 and 56 DPI was significantly higher (P < 0.05) compared to the susceptible cultivar. In the second experiment, Oberlangen had a higher number of males on the resistant cultivar (P < 0.01) compared to Chavornay (Fig. 3). On the susceptible variety, the number of males remained low in both experiments. The trend remained the same until 56 DPI when males were rarely detected in the soil.

Numbers of male nematodes of Globodera pallida Oberlangen (Ober) and Chavornay (Chav) in the roots and soils of the susceptible cv. ‘Desiree’ (Des) and the resistant cv. ‘Seresta’ (Ser) potato cultivars 56 days after inoculation. Four plants (n = 4) in each treatment were sampled and the males enumerated at different days post inoculation in experiments 1 and 2. The vertical bars represent the standard error of the mean.
The first young female nematode was recorded in plant roots at 21 DPI in both experiments (Fig. 4). The number of females of the two populations in the roots of ‘Desiree’ and ‘Seresta’ differed significantly throughout the experiment (P < 0.05). Between 21 and 42 DPI, there was an increase in the number of females on the susceptible cultivar. However, on the resistant cultivar, females were found in plants inoculated with Oberlangen, but rarely in the roots of cv. ‘Seresta’ for Chavornay. There was a higher number of Oberlangen females on cv. ‘Desiree’ compared to Chavornay in the second experiment (Fig. 4). However, the mean number of females of the two populations did not differ in both experiments. The first brown cyst was recorded at 42 DPI on the susceptible cultivar and at 49 DPI on the resistant cultivar, respectively (unpubl. data). During the first experiment, nearly all females had turned brown 56 DPI and in the second experiment one week later. There was no difference in the duration taken by the two populations to complete the life cycle although Oberlangen females exhibited a prolonged white stage compared to Chavornay.

Numbers of females of Globodera pallida Oberlangen (Ober) and Chavornay (Chav) on the roots of the susceptible cv. ‘Desiree’ (Des) and the resistant cv. ‘Seresta’ (Ser) potato cultivars. Four plants (n = 4) in each treatment were sampled and females enumerated at different days post inoculation in experiments 1 and 2. The vertical bars represent the standard error of the mean.
The reproduction of Globodera pallida Oberlangen and Chavornay was highest on susceptible cv. ‘Desiree’ (Table 1). The mean number of cysts on the susceptible cv. was not different between the two nematode populations (P > 0.05). This cultivar was therefore used as the standard susceptible control and the mean number of cysts recovered from it was used in the calculation of relative susceptibility of the tested potato varieties. The number of Oberlangen cysts as well as the Chavornay cysts extracted from the tested potato cultivars varied significantly ((P < 0.01) Table 1). Except for ‘Desiree,’ ‘Albatros,’ ‘Laura,’ and ‘Belana’, Oberlangen produced significantly more cysts than Chavornay. ‘Albatros’ and ‘Laura’ potato cultivars were highly susceptible to the Oberlangen population with Rs of 69.0 and 63.3%, respectively. In contrast, the rest of the cultivars had Rs values of 50% and below, but only ‘Amanda’ was below 10%. Potato cv. ‘Albatros’ and ‘Laura’ were highly susceptible to Chavornay with Rs of 63.2 and 53.3%, respectively. In contrast, ‘Eurotonda,’ ‘Seresta,’ and ‘Amanda’ had Rs of 1% or less. Overall, the Pf of Oberlangen was higher in all the cultivars tested. In some cultivars Pf surpassed that of Chavornay over 20 fold (Table 1).
Effect of selected potato cultivars on the number of cysts per pot and percentage relative susceptibility (Rs) 12 weeks after inoculation with 5 eggs and second-stage juveniles of Globodera pallida populations Oberlangen and Chavornay per ml soil.
| Oberlangen | Chavornay | ||||
|---|---|---|---|---|---|
| Cultivars | No. cystsa | Rs | No. cystsa | Rs | Ratiob |
| ‘Desiree’ | 1,298.5 ± 111.3 a | 100 | 1,158.6 ± 51.6 a | 100 | 1.1 |
| ‘Albatros’ | 896.3 ± 39.3 b | 69.0 | 732.6 ± 77.6 b | 63.2 | 1.2 |
| ‘Laura’ | 822.4 ± 70.9 b | 63.3 | 617.8 ± 65.3 b | 53.3 | 1.3 |
| ‘Belana’ | 590.3 ± 60.1 c | 45.5 | 452.5 ± 32.8 e | 39.1 | 1.3 |
| ‘Amado’ | 382.1 ± 22.7 d | 29.4 | 39.3 ± 4.8 d | 3.4 | 9.7 |
| ‘Ribera’ | 308.3 ± 25.3 e | 23.7 | 176.3 ± 16.8 f | 15.2 | 1.8 |
| ‘Euroviva’ | 277.3 ± 17.8 ef | 21.4 | 16.1 ± 2.7 fg | 1.4 | 17.2 |
| ‘Eurotonda’ | 238.6 ± 20.8 f | 18.4 | 11.9 ± 2.7 fh | 1.0 | 20.1 |
| ‘Seresta’ | 137.6 ± 15.4 g | 10.6 | 6.6 ± 1.8 gh | 0.6 | 20.8 |
| ‘Amanda’ | 89.3 ± 10.0 g | 6.9 | 4.9 ± 1.2 h | 0.4 | 18.3 |
aMean number of cysts per pot ± standard error of Globodera pallida Oberlangen and Chavornay; means in the same column followed by the same letters are not significantly differentat P ≤ 0.05; bratio = mean number of Oberlangen cysts/mean number of Chavornay cysts.
The Rf of both G. pallida populations differed significantly (P < 0.01) among the cultivars tested (Fig. 5) Oberlangen and Chavornay did not differ in their reproduction on four potato cultivars ‘Desiree,’ ‘Albatros,’ ‘Laura,’ and ‘Belana’ (Fig. 5). However, the reproduction on the remaining six cultivars differed significantly (P < 0.01) with Oberlangen leading in reproduction rates. Chavornay had an Rf < 1 for the cultivars ‘Euroviva,’ ‘Eurotonda,’ ‘Seresta,’ and ‘Amanda’. However, the Rf of Oberlangen on these cultivars ranged between 3 and 13 which were significantly higher compared to Chavornay (Fig. 5). Overall, Oberlangen had higher Rf than Chavornay in all the cultivars tested.

Mean reproduction factor ± standard error of Globodera pallida Oberlangen and Chavornay on 10 potato cultivars with different levels of resistance (n = 10). The standard error bars with ns were not significantly different at P ≤ 0.05).
The cysts of Oberlangen and Chavornay obtained from the susceptible cv. ‘Desiree’ did not differ in size (P > 0.05). However, Chavornay had bigger cysts (P < 0.05) on the susceptible cv. when compared with Oberlangen cysts reproduced on the resistant cv. (Table 2). The Oberlangen cysts from the susceptible and resistant cultivar did not differ in the size (P > 0.05). There was no difference in the numbers of eggs per cyst of the two populations reared on the susceptible cultivar (P > 0.05). However, Oberlangen cysts reared on the resistant cultivar had fewer eggs (P < 0.05) compared with Chavornay on susceptible cultivar (Table 2). The number of eggs in Oberlangen cysts reared on the susceptible and resistant variety did not differ.
Life history traits of Globodera pallida Oberlangen and Chavornay reproduced on susceptible potato cultivar ‘Desiree’ and resistant cultivar ‘Seresta’.
| Treatment | Cyst size (µm)a | Eggs/cystb | J2 Size (µm) | Male size (mm) |
|---|---|---|---|---|
| Chavornay-‘Desiree’ | 547.6 ± 5.6 ac | 355.9 ± 20.9 a | 472.9 ± 4.3 | 1.18 ± 19.6 ab |
| Oberlangen-‘Desiree’ | 535.8 ± 4.9 ab | 339.1 ± 11.6 ab | 466.8 ± 2.9 | 1.23 ± 16.8 a |
| Oberlangen-‘Seresta’ | 518.4 ± 5.6 b | 284.5 ± 18.3 b | 463.8 ± 3.9 | 1.21 ± 15.6 a |
| Chavornay-‘Seresta’ | nd | nd | nd | 1.14 ± 14.3 b |
| P-value | P < 0.05 | P < 0.05 | P < 0.05 | P < 0.05 |
nd, no data. aData are means of 40 individual cysts, males and juveniles per population; bdata were obtaining from batches of ten cysts replicated ten times; cvalues within a column having a common letter are not significantly different at P ≤ 0.05.
Furthermore, Oberlangen had significantly longer males (P < 0.01) on both, susceptible cv. ‘Desiree’ and resistant cv. ‘Seresta’ compared with Chavornay males from the resistant cultivar. Chavornay males from the susceptible cv. were slightly shorter than Oberlangen males from the same variety (Table 2). The Oberlangen and Chavornay J2s did not differ in length (P > 0.05) regardless of the variety on which the populations were multiplied on (Table 2).
Cysts of six virulent and three avirulent populations obtained from potato fields in Emsland region differed significantly (P < 0.01) in diameter. The Oberlangen cysts were of the same size as two of the six virulent populations examined (NI-Gpa-VIR004 and NI-Gpa-VIR013). Oberlangen cysts were significantly smaller (P < 0.01) than the rest of the virulent populations (NI-Gpa-VIR002, NI-Gpa-VIR003, NI-Gpa-VIR011, and NI-Gpa-VIR012), but larger than the three avirulent populations ((NI-Gpa-AVI001, NI-Gpa-AVI002, and NI-Gpa-AVI003), Fig. 6).
The Globodera pallida populations Oberlangen and Chavornay differed in their development and virulence as well as the life history traits assessed in this study. Chavornay had a slightly higher hatching percentage compared to Oberlangen. Oberlangen had a normal hatching behavior that cannot account for the increased virulence reported by Niere et al. (2014). Higher hatching of the populations in PRD compared to ZnCl2 was expected. Naturally, the life cycle of G. pallida is perfectly synchronized with that of the host (Perry, 1998) and they require root exudates to initiate hatching (Moens et al., 2018). Although G. pallida responds better to root exudates compared to G. rostochiensis (Den Nijs and Lock, 1992), the latter is able to hatch within the first few days. Conversely, G. pallida hatches over several weeks as was observed in this study.
The development of Oberlangen and Chavornay in the roots of the susceptible and resistant potato cultivar showed considerable variations that may account for the differences in virulence between the two nematode populations. The host resistance genes did not prevent the penetration of the juveniles. The number of J2s recovered from the roots of the resistant and susceptible cultivars, 7 DPI, was statistically similar. A higher ratio of males to females was observed in the resistant cultivar compared to the susceptible one. The resistance response of ‘Seresta’ restricted the development of the syncytium thus depriving the nematode food needed to develop into a female (Schouten, 1993; Bakker et al., 2006; Moens et al., 2018). In this case, the resistance genes were efficient in restricting the development of Chavornay, resulting in only few cysts. However, the resistance genes only imposed a partial effect on the Oberlangen population, evident by the number of Oberlangen juveniles developing into females.
To survive in the roots of a resistant host, virulent juveniles evade or suppress the host immune response (Wondafrash et al., 2013). Such juveniles arise following a single mutation in an avirulence gene that enables them to avoid recognition by the host resistance genes. They are able to successfully induce the formation of feeding cells upon which their survival depends (Rice et al., 1985; Bakker et al., 2006). The avirulent juveniles die or molt into males that do not require further nourishment to survive (Trudgill, 1967). The recovery of small-sized males of the Chavornay population on the resistant cultivar confirms that they were malnourished in the resistant cultivar. The ability of a section of Oberlangen juveniles to complete their life cycle in the roots of the resistant cultivar confirms the presence of virulent individuals within the population that are able to circumvent the host resistance (Schouten, 1993). The number of females of the two nematode populations formed on the roots of the susceptible cultivar did not differ. This was expected since the host lacks resistance to PCN and invading juveniles were able to establish themselves and complete the life cycle.
The reproduction of Globodera pallida Oberlangen on five commercial cultivars considered resistant to G. pallida Pa2/3 was tenfold higher than the reproduction of the reference population Chavornay. The five cultivars ‘Amado,’ ‘Euroviva,’ ‘Eurotonda,’ ‘Seresta,’ and ‘Amada’ are rated as resistant to Pa3 where Chavornay was used as the reference population (JKI, 2017). However, Oberlangen has adapted to the resistance genes present in the five cultivars and is able to reproduce on them. The five cultivars were therefore considered susceptible to the Oberlangen population. Increased virulence on potatoes carrying quantitative resistance geness is mainly attributed to selection pressure the cultivars impose on nematode population (Turner and Fleming, 2002). This has been demonstrated in various studies (Turner, 1990; Beniers et al., 1995; Schouten and Beniers, 1997; Beniers et al., 2019). The field populations of nematodes have a proportion of virulent alleles inherited from the original introduction (Bakker et al., 2006). Selection pressure imposed on these populations allows the proliferation of virulence alleles leading to emergence of resistance breaking populations.
When the number of eggs per cyst from the susceptible cultivar was estimated, no significant differences were noted between the two populations. The difference in fitness recorded between the two populations was therefore due to the high number of Oberlangen cysts recovered from a susceptible cultivar rather that increased number of eggs per cyst. In their work, Schouten and Beniers (1997) attributed increased virulence of their G. pallida population to a high number of J2s able to develop into females, not the increase in the number of eggs per cyst.
The Oberlangen population showed higher virulence and fitness despite having been maintained on a susceptible host since it was reported (Niere et al., 2014). This indicates that the acquired virulence is not reversible as suggested by Castagnone-Sereno et al. (2007) for root-knot nematodes. The stable virulence level of Oberlangen supports the assertion by Turner (1990) that selected populations are stable and distinct from their original population. Indeed, such populations are known to have increased fitness on susceptible cultivars (Fournet et al., 2013) as well as increased cross virulence on other resistant cultivars (Beniers et al., 2019). However, that could not be confirmed in this study since the source of resistance of some of the cultivars used in this study is not clear.
Differences in cyst content between cultivars differing in their level of resistance have been reported (da Conceiçao et al., 2005). Populations selected on one cultivar do not necessarily have the same level of virulence and fecundity on another host with the same quantitative resistance gene (da Conceiçao et al., 2005). This was demonstrated in our experiment where reproduction of Oberlangen on cultivars with different levels of resistance differed significantly. On the other hand, Chavornay had significantly smaller males on the resistant cultivar compared to males of the Oberlangen population extracted from resistant and susceptible cultivars. Production of the small-sized Chavornay males validate the argument that they arose from juveniles that were unable to feed well leading to stunting. However, the size of juveniles of the two populations reared on both potato cultivars did not differ. The viability of the eggs from cysts reared on resistant host was also not affected by the type of resistance in ‘Seresta’ (unpubl. data).
The size of Oberlangen cysts was compared with collections of six virulent and three avirulent G. pallida populations. Based on the size of the cysts, the virulent populations could be placed into two groups; four populations with statistically bigger cysts and three populations with medium-sized cysts. The three avirulent populations had significantly smaller cysts. Oberlangen belonged to the medium category but well within the virulent category. In this case, increase in virulence seems to be characterized by increase in cyst size confirming findings by Fournet et al. (2016). However, additional studies are underway to compare the virulence and other life history traits of these virulent and avirulent populations.
The results comparing the life history traits of Oberlangen and Chavornay on the resistant cultivar cannot be interpreted in the light of the existing literature on fitness cost since the original population from where Oberlangen was selected is not known, nor the resistance gene(s) under which the selection occurred. In addition, a definitive categorization of Oberlangen into one of the pathotype groups as defined by Kort et al. (1977) is difficult. This is because Oberlangen is able to reproduce on potato cultivars that are resistant to Pa2 and Pa3 (Niere et al., 2014). This highlights the shortcomings of the pathotyping system by Kort et al. (1977) which classifies G. pallida into three pathotypes based on their reproduction on differential cultivars. Emerging resistance breaking populations do not fit in this pathotyping system. Indeed, the expression of the virulence of a population relative to the reproduction on susceptible cultivar (EPPO, 2006) is very effective in identifying virulence breaking populations.
Currently, there is no known source of resistance to this new virulence type. Future breeding programs should focus on stacking of several QTLs loci (gene pyramiding) into a single cultivar (Dalton et al., 2013; Rigney et al., 2017). This should create an additive effect that would prolong the resistance efficacy of the cultivar (REX Consortium, 2016).
In conclusion, our study has revealed that G. pallida Oberlangen and Chavornay differ in their development and virulence on potato cultivars categorized as resistant to pathotype Pa2/3 (JKI, 2017). Oberlangen is able to reproduce on potato cultivars with different levels of resistance besides having higher fitness on susceptible cultivars. The virulence and fitness of the population has remained unchanged since 2014 despite the population being permanently maintained on a susceptible cultivar. This confirms the stability of this population and demonstrates lack of tradeoff following selection in the field. Therefore, Oberlangen is a suitable candidate population for use as a reference when testing new potato germplasm and breeding material for resistance against this new virulence type of Globodera pallida.

Means cyst diameter ± standard error of avirulent and virulent populations of Globodera pallida (n = 150). Standard error bars with a common letter are not significantly different at P ≤ 0.05.