Pine wilt disease is a highly destructive epidemic disease of pine trees that can rapidly spread from infected to healthy trees. The disease affects a variety of pine species in Asia, Europe, America, and Africa and has become a severe worldwide threat to forest resources (Mota et al., 1999; Abelleira et al., 2011; Fonseca et al., 2012). The pine wood nematode (PWN), Bursaphelenchus xylophilus, is causal pathogen of pine wilt and its control is crucial for management of the disease (Mamiya, 1983; Wingfield et al., 1986; Mota et al., 1999; Cheng et al., 2017). However, insect resistance, environmental pollution, and off-target lethality of synthetic nematicides used for disease treatment indicate that alternative and ecofriendly nematicides are needed (Zhao, 2008; Andres et al., 2010; Seo et al., 2014; Cheng et al., 2017).
Phytonematicides as natural products are considered popular candidates. Many plants have been reported to provide potential nematotoxic constituents including essential oils, alkaloids, and other constituents (Matsuda et al., 1989, 1991; Zhao, 1999; Choi et al., 2006, 2007, 2008; Kong et al., 2006, 2007; Andrrk et al., 2007; Park et al., 2007; Kim et al., 2008; Wang et al., 2008; Faria et al., 2010, 2013; Ntalli and Caboni, 2012; Cui et al., 2014; Guo et al., 2016, 2017). The plant Angelica pubescens Maxim. f. biserrata Shan et Yuan is distributed in the Hubei, Sichuan, and Shaanxi provinces of China. Its roots (Duhuo) are used in traditional Chinese herbal medicine for the treatment of arthralgia, rheumatic arthritis, headaches, and limb contracture (Zhang et al., 2008; Zaugg et al., 2011). In this study, we explored the nematotoxic constituents of Duhuo and their effects on the pine wood nematode.
The roots of A. pubescens were purchased from the Qingdao Jianlian Pharmacy, Qingdao, China, in March 2016. Nematodes were isolated from chips of infected pine wood collected in Nanjing, Jiangsu Province, China using the Baermann funnel technique (Viglierchio and Schmit, 1983). The isolated nematodes were cultured on a lawn of Botrytis cinerea grown on potato dextrose agar (PDA) in the dark at 26°C for 7 d. An aqueous suspension of 2,000/mL was used for testing. Freeze-dried processing of the samples was carried out in Freezone lyophilizer (Labconco, Kansas City, MO, USA). Silica gel for column chromatography (200-300 mesh) was purchased from Qingdao Marine Chemical, Qingdao, China. Thin-layer chromatography (TLC) was performed on silica gel plates containing fluorescent indicator F-254 (Yantai Jiangyou Silica Gel Development, Yantai, China) and observed under UV light at 254 nm or by iodine fumigation. Electron-impact mass spectra (EIMS) were measured on a Bruker maXis UHR-TOF mass spectrometer. Nuclear magnetic resonance (NMR) spectra were obtained on a Bruker Avance-500 spectrometer operating at 500 MHz for 1H NMR and 125 MHz for 13C NMR in chloroform-d (CDCl3) with tetramethylsilane (TMS) as internal standard. Nematode morphology was observed using a Hitachi S-4800 scanning electron microscope (SEM) and a Hitachi H-7650 transmission electron microscope (TEM).
Duhuo (50 g) was mashed and extracted with ethanol (1 L×2) using intermittent ultrasonic oscillation for 48 hr at room temperature. The ethanol extract was concentrated under vacuum to a brown paste (6.3 g) and then partitioned between ethyl acetate and distilled water three times. The ethyl acetate-soluble fraction was concentrated to dryness (2.5 g), and the aqueous fraction was freeze-dried into a powder (3.6 g). The ethyl acetate extract was fractionated by silica gel column chromatography for active components. The column was eluted with a stepwise gradient of hexane: ethyl acetate at 15:1, 10:1; 9:1; 8:1; 6:1; 5:1; 4:1, 2:1, 1:1, 1:3, 1:4, 1:6, 1:8, 1:10, and 0:1 (v/v). We obtained nine fractions as judged by TLC. Fractions 5 and 6 possessed high nematotoxic activity against pine wood nematodes and were further purified. Fraction 5 was chromatographed on a silica gel column eluted with hexane: ethyl acetate (8:1, v/v) to yield two active compounds, osthole (73 mg) and columbianadin (11 mg). Fraction 6 was subjected to silica gel column chromatography eluted with hexane: ethyl acetate (6:1, v/v) and two active compounds bergapten (7 mg) and xanthotoxin (3 mg) were obtained.
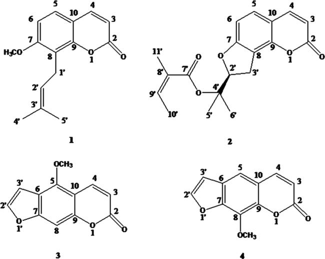
7-methoxy-8-(3-methylbut-2-enyl)-2-chromenone (Osthole, 1). White needle-like crystals, EIMS m/z: 244 [M]+. 1H NMR (CDCl3, 500 MHz): δ 6.26 (1 H, d, J = 9.5 Hz, H-3), 7.63 (1 H, d, J = 9.5 Hz, H-4), 7.29 (1 H, d, J = 8.6, H-5), 6.85(1 H, d, J = 8.6, H-6), 3.94 (3 H, s, OCH
(S)-8-[1-[(Z)-2-Methyl-2-butenoyloxy]-1-methylethyl]-8,9-dihydro-2H-furo(2,3-h)-1-benzop yran-2-one (Columbianadin,
4-Methoxy-7H-furo(3,2-g)-1-benzopyran-7-one (Bergapten,
9-Methoxy-7H-furo(3,2-g)chromen-7-one (Xanthotoxin,
Chemical structures of compounds

Chemical structures of nematicidal compounds 1-4 isolated from Roots of Angelica pubescens Maxim. f. biserrata Shan et Yuan (Duhuo).
The extracts of Duhuo and the column fractions 1-9 were dissolved in 5% dimethylsulphoxide (DMSO) aqueous solution containing 0.5% Triton X-100 at a concentration of 1 mg/mL and used as test solutions. Compounds 1-4 were dissolved with DMSO at 20 mg/mL and then diluted with 0.5% Triton X-100 aqueous solution to 200-1,000 μM for testing in for nematotoxic assays. Each test solution (50 [xL) and aqueous suspension of nematodes (50 μL) were introduced into the wells of 96-well plates. In each well, the concentration of nematodes was about one nematode per μL solution. Nematodes were mixtures of juveniles and adults with males, females, and juveniles at a ratio of approximately 1:1:2. Each treatment was replicated four times using the same solvent as negative controls and aloperine as a positive control. Dead and active nematodes in each well were observed under a stereo microscope and their numbers were recorded after incubation at 26°C for 24, 48, and 72 hr.
Nematode mortality was corrected using the Schneider–Orelli formula (Puntener, 1981; Ntalli et al., 2010): Corrected mortality (%) = ((Mortality % in treatment − Mortality% in negative control)/(100% − Mortality % in negative control)) × 100.
Approximately 5,000 pine wood nematodes were treated with compounds
The fixed nematodes were also dehydrated in an acetone series (30, 50, 70, 80, and 90%) and three changes of 100% acetone (each treatment for 10 min). The dehydrated nematodes were embedded in acetone-Spurr resin (Polysciences, US) at 3:1 (v/v) for 4 hr, 1:1 for 6 hr, 1:3 for 12 hr, and in Spurr resin for 24 hr. They were then sectioned for TEM.
Healthy pine wood nematodes were mixed with physiological saline at 1:5 (w/v) and then homogenized on ice. The homogenates were centrifuged at 4°C, 12,000 × g for 30 min and the supernatants were collected as enzyme solutions used for assays. Protein concentrations were determined using the Bradford method with bovine serum albumin as the standard (Bradford, 1976). Different amounts of each tested compound were mixed with 5 mL enzyme solution to obtain the treated enzyme solutions containing 2.0, 1.5, 1.0, 0.75, and 0.5 mM of the test compound. The enzyme solutions treated with galanthamine hydrobromide (0.20-0.05 mM), acarbose (2.0-0.5 mM), and copper sulfate-ammonia complexion (50-5 mM) to measure inhibitory effects on acetylcholinesterase (AchE), amylase, and cellulase, respectively. The enzyme solution without any treatment served as the negative control. All of the treated enzyme solutions were preincubated at 37°C for 15 min for enzyme activity assays. Each treatment was replicated three times.
AchE and amylase activities were measured using commercial kits (Nanjing Jiancheng Bioengineering Institute, China). One unit of AchE was defined as the amount of enzyme that hydrolyzed 1.0 xmol acetylcholine in 6 min under assay conditions. One unit of amylase was defined as the amount of enzyme that hydrolyzed 10 mg starch in 30 min. Cellulase activity was also measured using a commercial kit (Beijing Solarbio, China). One unit of cellulase was defined as the amount of enzyme that catalyzed cellulose degradation in the reaction system to obtain 1.0 × g glucose per minute. Each experiment was performed in triplicate. Inhibitory effects were expressed as the percentage of enzyme inhibition in the above assays and calculated as (1−B/A) × 100: where A is the activity of the enzyme in negative control and B is the activity of the treated enzyme.
Approximately 100,000 pine wood nematodes were introduced into 5 mL solutions of compounds
Analysis of variance (ANOVA) was performed on the data of corrected mortality and the means were compared and separated by Duncan’s multiple-range test at the a = 0.05 level. The median lethal concentrations (LC
The Duhuo ethanol extract had a relatively strong nematotoxic activity with a corrected mortality of 85.83% in 72 hr at 1.0 mg/mL. The ethyl acetate-soluble fraction derived from the ethanol extract was more active with a corrected mortality of 95.25% compared with 36.55% for the aqueous fraction in 72 hr at 1.0 mg/mL (Table 1). The four compounds osthole
Nematotoxic activities of the root extracts of Angelica pubescens Maxim. f. biserrata Shan et Yuan against the Pine Wood nematode B. xylophilus.
| Corrected mortalitya (%, Mean ± SD) | |||
|---|---|---|---|
| Sample (1.0 mg/mL) | 24 hr | 48 hr | 72 hr |
| Ethanol extract | 32.50 ± 1.95 c | 57.47 ± 1.56 c | 85.83 ± 1.60 b |
| Ethyl acetate fraction | 46.93 ± 2.10 c | 80.06 ± 1.01 b | 95.25 ± 1.16 ab |
| Aqueous fraction | 16.59 ± 0.45 f | 27.26 ± 0.99 g | 36.55 ± 1.33 e |
| Fr.1 | 3.28 ± 0.71 i | 10.74 ± 1.11 i | 15.48 ± 1.25 h |
| Fr.2 | 4.73 ± 1.13 hi | 12.78 ± 0.71 i | 17.48 ± 1.50 h |
| Fr.3 | 10.74 ± 1.27 g | 15.54 ± 1.45 h | 23.19 ± 1.05 f |
| Fr.4 | 20.53 ± 0.66 e | 35.68 ± 1.46 e | 40.89 ± 0.40 d |
| Fr.5 | 56.97 ± 0.94 a | 83.78 ± 1.48 a | 96.37 ± 1.24 a |
| Fr.6 | 49.89 ± 1.19b | 76.41 ± 1.22 c | 93.58 ± 1.35 b |
| Fr.7 | 21.27 ± 1.35 e | 33.14 ± 0.39 f | 40.76 ± 0.66 d |
| Fr.8 | 10.69 ± 1.41 g | 17.36 ± 1.60 h | 20.27 ± 1.20 g |
| Fr.9 | 6.01 ± 80.76 h | 11.52 ± 1.49 i | 16.74 ± 1.53 h |
aThe data were means of four replicates. Means followed by the same letter in each column were not significantly different (a = 0.05) according to Duncan’s multiple-range test.
Nematotoxic activities against B. xylophilus of compounds
| Compound (200-1,000 μm) | LC
| 95% CLa (μM) | χ 2 |
|---|---|---|---|
| Osthole
| 489.17 | 459.09-527.01 | 1.25 |
| Columbianadin
| 406.74 | 387.61-422.06 | 2.14 |
| Bergapten
| 430.08 | 401.51-458.02 | 1.13 |
| Xanthotoxin
| 435.66 | 410.47-459.20 | 2.02 |
| Aloperineb | 369.76 | 350.07-388.93 | 2.85 |
aCL, confidence limit; bPositive control
Treatment of nematodes with compounds

Micrographs of pine wood nematodes treated with compounds 1-4 under SEM. (A) Nematodes in control; (B-E) Nematodes treated with osthole 1, columbianadin 2, bergapten 3, xanthotoxin 4, respectively. Minimum scales in A-E are 5, 100, 200 μm, successively.

Observation by TEM on pine wood nematodes treated with compounds 1-4. (A) Nematodes in control; (B-E) Nematodes treated with osthole 1, columbianadin 2, bergapten 3, xanthotoxin 4, respectively. Bars represent 2 μm.
The four nematotoxic compounds were all able to inhibit AchE activity in vitro. Columbianadin
IC50 values of compounds 1-4 on in vitro enzyme activities of B. xylophilus.
| Enzyme | Compound | IC
| 95% CLa ( | χ 2 |
|---|---|---|---|---|
| Osthole 1 | 3.24 | 3.01–3.49 | 2.35 | |
| Columbianadin 2 | 1.62 | 1.42–1.85 | 1.01 | |
| AchE | Bergapten 3 | 2.28 | 2.08–2.55 | 2.93 |
| Xanthotoxin 4 | 2.40 | 2.16–2.71 | 1.86 | |
| Galanthamine Hydrobromideb | 0.079 | 0.071–0.086 | 3.10 | |
| Osthole 1 | 4.89 | 4.15–5.51 | 2.12 | |
| Columbianadin 2 | 1.35 | 1.12–1.59 | 1.82 | |
| Amylase | Bergapten 3 | 1.72 | 1.64–1.83 | 0.40 |
| Xanthotoxin 4 | 3.25 | 2.79–3.65 | 3.51 | |
| Acarboseb | 1.74 | 1.63–1.88 | 1.17 | |
| Osthole 1 | 6.13 | 5.85–6.42 | 3.01 | |
| Columbianadin 2 | 4.25 | 3.94–4.49 | 1.68 | |
| Cellulase | Bergapten 3 | 2.09 | 1.97–2.23 | 2.21 |
| Xanthotoxin 4 | 2.35 | 2.01–2.65 | 4.01 | |
| Copper Sulfate-Ammonia Complexionb | 20.10 | 19.75–20.49 | 1.82 |
aCL, confidence limit; bPositive control.

The effects of nematicidal compounds on PWN enzymes in vivo. Effects on AchE (A) amylase (B) and cellulase (C) of PWN, respectively.
The four nematotoxic compounds also significantly inhibited the nematode amylase and cellulase activities in vitro (Table 3). However, these effects occurred in vivo at 48 hr for amylase and 36 hr for cellulase (Fig. 4B,C). The reduction in cellulase may have been the result of decreased survival in addition to the direct inhibitory effect on cellulase.
We identified and purified four nematotoxic coumarins from Duhuo. Our previous research had identified two nematotoxic phytochemicals, from Ficus carica L. leaves that were also coumarins (Guo et al., 2016). Coumarins lethal to nematodes have also been previously identified from other laboratories (Takaishi et al., 2008; Wang et al., 2008; Caboni et al., 2015; Pan et al., 2016). Together these findings implicate the 2H-1-benzopyran-2-one core moiety of coumarins as the key structure contributing to nematotoxicity.
Our studies about effects of compounds
Therefore, the most likely target of compounds
We also found that columbianadin
This report is the first study of the nematicidal activity of Angelica pubescens Maxim. f. biserrata Shan et Yuan roots (Duhuo) against the pine wood nematode, B. xylophilus. Our findings provide additional clues for the development of coumarin phytonematicides.