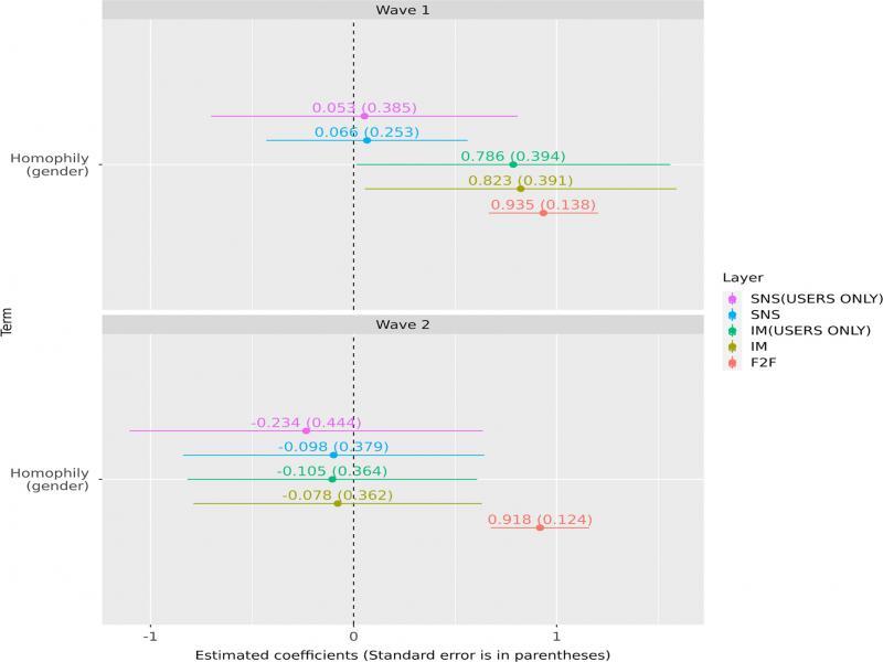
Figure 1:

Figure 2:

Figure A1:

Figure A2:

Figure A3:

Figure B1:

Summarization of the gender homophily effects of IM and SNS networks and their formation principles_
| Media | Gender homophily | Formation principles |
|---|---|---|
| IM | Weak positive (Wave 1) | F2F communication preceded friending |
| None (Wave 2) | Hobby homophily | |
| SNS | None (Wave 1) | F2F communication did not necessarily precede following |
| None (Wave 2) | ‘Retweet’ or ‘recommended users’ induced social ties | |
| Hobby homophily |
Information of sampled participants_
| Name | Gender | Academic course | Club activity | Register IM (LINE)? | Register SNS (Twitter)? |
|---|---|---|---|---|---|
| A | Female | Science | Culture | Yes | Yes |
| B | Male | Literature | Culture | Yes | No |
| C | Male | Science | Culture | Yes | No |
| D | Female | Literature | Sports | Yes | Yes |
| E | Male | Science | Sports | Yes | No |
| F | Male | Science | Culture | Yes | Yes |
| G | Male | Science | Sports | Yes | Yes |
Descriptive statistics of students_
| Dimension | Attribute | Frequency |
|---|---|---|
| Gender | ||
| Male | 17 | |
| Female | 22 | |
| Club activity | ||
| 3 members | 3 | |
| 2 members | 12 | |
| 1 member | 6 | |
| Academic course | ||
| Literature | 18 | |
| Science | 21 | |
| IM (LINE) | ||
| Registered | 38 | |
| Not Registered | 1 | |
| SNS | ||
| Registered | 23 | |
| (Twitter) | 23 | |
| (Facebook) | 12 | |
| (Google+) | 8 | |
| (Instagram) | 8 | |
| (Other) | 3 | |
| Not Registered | 16 | |
| Total nodes | 39 |
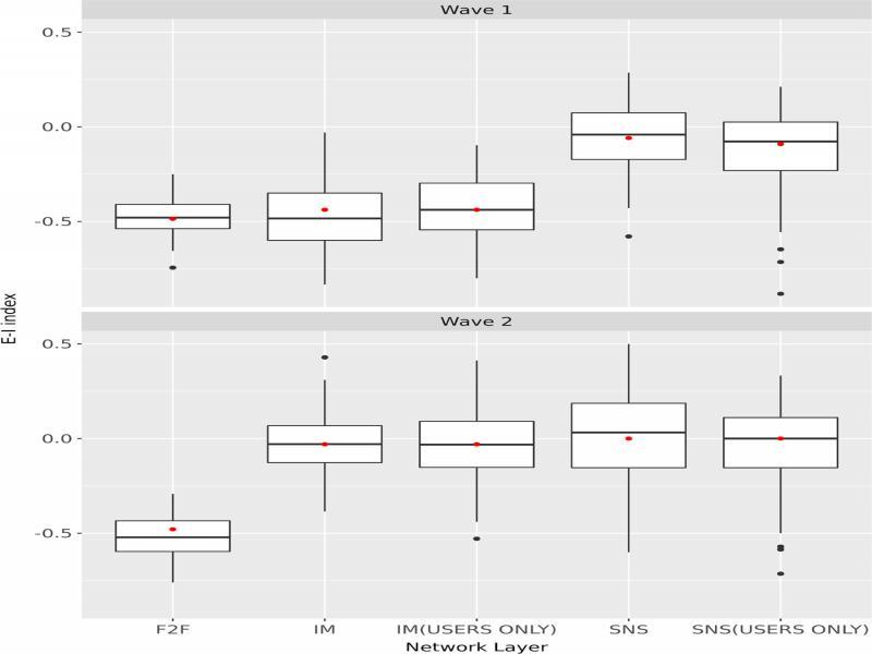
Network statistics_
| Index | F2F | IM | SNS |
|---|---|---|---|
| (Wave 1) | |||
| Node count | 39 | 39 (38) | 39 (23) |
| Edge count | 183 | 32 (32) | 34 (33) |
| Density | 0.247 | 0.043 (0.046) | 0.046 (0.13) |
| Average degree (All) | 18.769 | 3.282 (3.368) | 3.487 (5.739) |
| Average degree (Male) | 20.091 | 3 (3) | 4.182 (6.429) |
| Average degree (Female) | 17.059 | 3.647 (3.875) | 2.588 (4.667) |
| E-I Index | −0.486 | −0.438 (−0.438) | −0.059 (−0.091) |
| (Wave 2) | |||
| Node count | 39 | 39 (38) | 39 (23) |
| Edge count | 188 | 33 (33) | 20 (20) |
| Density | 0.254 | 0.045 (0.047) | 0.027 (0.079) |
| Average degree (All) | 19.282 | 3.385 (3.474) | 2.051 (3.478) |
| Average degree (Male) | 22.091 | 3.091 (3.091) | 2.364 (3.714) |
| Average degree (Female) | 15.647 | 3.765 (4) | 1.647 (3.111) |
| E-I Index | −0.479 | −0.03 (−0.03) | 0 (0) |
All estimated coefficients of ERGMs_
| F2F | IM | IM(USERS ONLY) | SNS | SNS(USERS ONLY) | |
|---|---|---|---|---|---|
| Wave 1 | |||||
| Edges | −3.711*** | −4.093*** | −4.009*** | −4.898*** | −3.496*** |
| (0.211) | (0.393) | (0.390) | (0.418) | (0.494) | |
| Homophily (gender) | 0.935*** | 0.823* | 0.786* | 0.066 | 0.053 |
| (0.138) | (0.391) | (0.394) | (0.253) | (0.385) | |
| Foci (academic course) | 0.359* | 0.030 | 0.043 | −0.271 | −0.266 |
| (0.161) | (0.379) | (0.376) | (0.294) | (0.438) | |
| Foci (club activity) | 2.902*** | 2.702*** | 2.690*** | 2.285*** | 3.187*** |
| (0.612) | (0.485) | (0.496) | (0.474) | (0.849) | |
| GWESP | 0.393*** | 0.591* | 0.537* | 2.059*** | 1.259*** |
| (0.043) | (0.262) | (0.249) | (0.289) | (0.315) | |
| AIC | 682.547 | 238.872 | 236.380 | 217.169 | 166.698 |
| BIC | 705.587 | 261.912 | 259.157 | 240.209 | 184.365 |
| Log Likelihood | −336.273 | −114.436 | −113.190 | −103.584 | −78.349 |
| Wave 2 | |||||
| Edges | −3.958*** | −3.886*** | −3.826*** | −4.516*** | −3.297*** |
| (0.207) | (0.353) | (0.359) | (0.420) | (0.455) | |
| Homophily (gender) | 0.918*** | −0.078 | −0.105 | −0.098 | −0.234 |
| (0.124) | (0.362) | (0.364) | (0.379) | (0.444) | |
| Foci (academic course) | 0.345* | 0.460 | 0.461 | 0.299 | 0.465 |
| (0.154) | (0.352) | (0.347) | (0.340) | (0.403) | |
| Foci (club activity) | 3.044*** | 2.210*** | 2.221*** | 1.787** | 2.040** |
| (0.596) | (0.501) | (0.509) | (0.587) | (0.744) | |
| GWESP | 0.455*** | 0.861*** | 0.813*** | 1.520*** | 0.823** |
| (0.038) | (0.247) | (0.231) | (0.287) | (0.284) | |
| AIC | 664.692 | 252.816 | 249.218 | 170.071 | 136.207 |
| BIC | 687.732 | 275.856 | 271.995 | 193.111 | 153.873 |
| Log Likelihood | −327.346 | −121.408 | −119.609 | −80.036 | −63.103 |