Homophily is defined as ‘the principle that contact between similar people occurs at a higher rate than among dissimilar people’ (McPherson et al., 2001, p. 416). This principle is universally observed in a wide variety of social networks. Currently, social interactions occur in both offline and online spaces. This raises an important question: Are there differences in homophily between offline and online spaces within a single social group?
Although many preceding studies have examined homophily in both offline and online spaces, few studies have examined the differences in homophily between these spaces in small social groups such as classroom and workplace. After the emergence of social networking services (SNSs) such as Twitter and Facebook, social connections offline and online have become more dependent, continuous, and multiplexed (Boyd and Ellison, 2007; Ellison et al., 2007). It becomes increasingly difficult to understand our social networks researching offline or online alone. If there is a difference in the strength of homophily between offline and online social networks, studies regarding homophily that examine only the offline or online environment will fail to depict the strength of homophily in a social group. In this study, I aim to reveal the differences in gender homophily among communication media through a case study of a high school classroom.
To address the ‘offline vs. online’ question in a modern setting, it is necessary to consider that nowadays people use multiple online media tools such as instant messenger (IM) and SNSs. The present study distinguishes between online communication in IM and SNSs and compares the homophily mechanisms in each network with the face-to-face (F2F) network.
Although they are created before the emergence and development of SNSs, some computer-mediated communication (CMC) theories predict that online communication filters ‘social cues’ and alleviates the social norms that constrain social interactions. Moreover, it can be assumed that online spaces generate a unique social identity between individuals who share the same offline membership, such as a classroom or workplace. In online spaces, people are less constrained by social norms than offline spaces when they interact with each other, and they foster a feeling of similarity if they belong to the same social group, which would promote social interaction among them regardless of social attributes such as gender. Therefore, I argue that online social networks are more heterophilic than offline social networks.
Furthermore, I also expect that there is a difference in the strength of gender homophily between online media, and I hypothesize that the SNS network layer is more heterophilic than the IM network layer. SNSs such as Facebook are often used for maintaining offline friendship (Ellison et al., 2007) and offer messaging functions like IM. However, SNSs form ‘networked publics’ (Boyd, 2008), which contain many other unknown users on the same platform and offer them access to the users’ contents through networked technology such as searching, sharing, or retweeting. In such a situation, compared to IM, individuals find and meet their friends with a common offline membership, which can foster a stronger group identity among them.
In this study, homophily is regarded as individuals’ preference to form social ties with others who have similar social attributes. It is necessary to distinguish homophily as a process of tie formation in the network and a joint outcome of various mechanisms including ‘foci’ or ‘triadic closure’ which can also induce network homogeneity (Wimmer and Lewis, 2010). The foci mechanism suggests that common activities such as club activities are essential for tie formation across communication media. The triadic closure mechanism proposes that friends of friends are likely to be friends. To distinguish the strength of homophily from these other network formation mechanisms, the present study applies exponential random graph models (ERGMs) to media multilayer social networks.
Finally, in addition to quantitatively testing hypotheses, through qualitative research, this study also tries to identify some social practices and mechanisms that produce differences in homophily in each network layer.
In offline spaces such as high school classrooms, social segregation by gender, age, race/ethnicity, and extra-curricular activities is often observed (Kandel, 1978; Shrum et al., 1988; Moody, 2001; Mouw and Entwisle, 2006; Goodreau et al., 2009; Wimmer and Lewis, 2010; Leszczensky and Pink, 2015). For example, Shrum et al. (1988), from a large-scale study of 2,135 schoolchildren, grades 3 to 12 in the Southern United States, revealed that for the third grade, about two-thirds of the expected counts of cross-race ties were not observed, and for the sixth grade, 90% of the expected counts of cross-gender ties were missing.
Social segregation in an organization is a result of complex network formation mechanisms. It has been noted that segregation is caused not only by the preference to form social ties with who have similar social attributes to them, foci (i.e., involving the same community or activity induces tie formation) and triadic closure (i.e., friends of friends tend to be friends) affect segregation (Goodreau et al., 2009; Wimmer and Lewis, 2010). Without considering these features, homophily effects could be overestimated.
At the same time, there is a large number of studies on homophily on online media. Here, ‘online media’ refers to a wide range of digital communication tools on the Internet, such as e-mail, newsgroups, instant messengers, Myspace, Facebook, Twitter, and so on. Recently, it has been pointed out that SNSs tend to connect homogeneous actors and cause ‘echo chamber’ problems (Colleoni et al., 2014). For example, Conover et al. (2011) reveal that, by analyzing over 250,000 tweets during the 2010 U.S. congressional midterm elections on Twitter, retweets networks containing political messages are highly segregated, where left- and right-leaning users are sparsely connected with each other.
However, some studies suggest that online media alleviate social segregation. In the early stages of the Internet, the online world was proposed to be a ‘virtual community’ (Rheingold, 1993) – an independent, free, and progressive utopia (Barlow, 1996). Therefore, research on online social networks emphasizes the liberty and diversity of the online world (Parks and Floyd, 1996; Kendall, 2002). Parks and Floyd (1996) researched users of ‘Usenet,’ one of the oldest and most popular computer networks before the spread of the World Wide Web and hosted wide-ranging newsgroups. They found that about two-thirds of users made personal connections with people they first met on the newsgroup. Parks and Roberts (1998) claimed that, on a MOO (a text-based virtual space), 83.6% of social relations were cross-gender ties. In a more modern setting, another study analyzed friends’ communication in Myspace, one of the earliest SNSs, and found no gender homophily effects (Thelwall, 2009). In another example, Laniado et al. (2016) analyzed the case of ‘Tuenti,’ a Spanish SNS, mainly focusing on homophily differences between men and women, and found that gender homophily was stronger among women than men, and the rates of same-sex friends of both genders were lower than those of offline studies.
However, these previous studies considered only one layer of social networks. This is problematic given the modern media environment. Since the emergence of SNSs such as Twitter and Facebook, social connections offline and online have become more dependent, continuous, and multiplexed (Boyd and Ellison, 2007; Ellison et al., 2007). In a web survey of undergraduate students (N = 286), Ellison et al. (2007) found that Facebook was used to contact old friends and maintain social connections that originated at offline parties or with classmates. In this manner, the Internet changed from a place for strangers to meet to a tool for already acquainted people to become friends.
Since individuals today not only interact with others face-to-face but also through various communication media, such as IM or SNSs, social ties with others are created on diverse media simultaneously. Therefore, the whole social network should be treated as a multilayer media network (Haythornthwaite, 2001, 2005; Kivelä et al., 2014). It becomes increasingly difficult to understand our social networks researching offline or online alone. If this aspect of modern communication is not considered, research on social networks would draw the wrong image about homophily.
A few studies have examined such multilayer media networks. For example, Igarashi et al. (2005, 2013) studied F2F interactions and mobile phone text messaging (MPTM), including both e-mail and short message service (SMS), obtained from a survey of first-year undergraduate students. Specifically, they investigated the whole network of each layer and quantified gender homophily as the network formation principle in each layer. Baym and Ledbetter (2009), from a survey of users of a music-sharing website called ‘Last.fm’, found that connections on the platform were more likely to be cross-gender compared to connections face-to-face or through phone calls and other websites. In another example, Hristova et al. (2014) compared the network structure between Facebook and offline social networks to assess the heterophily of political opinions and homogeneity of school year in online networks. However, these studies examined only a small part of the multilayer media or did not consider structural effects such as foci or triadic closure.
To address the ‘offline vs. online’ question in terms of homophily, we must consider two factors. First, people use various types of communication media. Although Hristova et al. (2014) regarded Facebook as ‘online’ media, this category intrinsically includes diverse electronic communication media. Moreover, it is a misleading categorization when the homophily effect of various communication media is also not evaluated concurrently. Second, to evaluate the effect of homophily exclusively, it is necessary to control other network formation mechanisms such as foci (Feld, 1981) and triadic closure (Goodreau et al., 2009; Wimmer and Lewis, 2010). There is a huge difference between ‘homophily’ and ‘network autocorrelation’ (Feld and Grofman, 2009). ‘Homophily’ is an expression of personal preferences, while ‘network autocorrelation’ is the trend of ‘linking among similar,’ which is caused by various mechanisms such as belonging to the same homogeneous community.
The current research specifically focuses on gender homophily. In a review study, Mehta and Strough (2009) claimed that gender homophily exists across the entire lifespan. In an offline situation, Stehlé et al. (2013) examined gender homophily among primary school students based on network data measured in a primary school in France over two days, using wearable devices that recorded proximity among students. As a result, gender homophily was observed in every grade.
Gender segregation, which is caused by gender homophily, produces various outcomes for individuals and networks. Kalmijn (2002) claimed that gender segregation affects outcomes in at least three ways. First, gender segregation is important because it creates gender stereotypes and strengthens traditional gender roles. Second, it prevents people from understanding each gender and makes romantic relationships more complex. Third, interactions of both genders enhance the social capital of women.
Based on fieldwork in a high school classroom in Japan, the present study examines differences in the degree of gender homophily among various social network layers of communication media, considering, as mentioned above, network mechanisms such as foci and triadic closure.
From several theories in computer-mediated communication (CMC) studies, it can be predicted that the effect of gender homophily on a social network operates more weakly in an online world. Note that the theories were made in the pre-SNS period, when only text-based messaging media such as e-mail were available, and people communicated with anonymous others through these media. Although in the post-SNS period, people often use online media to maintain the relationship between friends who have already known each other, the theories still provide deep insight into homophily in offline and online social spaces.
According to ‘reduced social cues theory,’ electronic media reduces social cues to infer the social contexts of others, including geographic location, affiliation, status, job, age, and gender. These media attenuate social cues available in face-to-face interaction, including non-verbal cues such as gestures, tone of voices, and facial expression to recognize social contexts (Sproull and Kiesler, 1986). Since the lack of these non-verbal cues causes social anonymity, the effects of norms and standards of social groups on behavior are attenuated, facilitating anti-normative behaviors (Kiesler et al., 1984).
Note that in the modern media environment, where people use online media to maintain the relationship between friends they already know, people know the social attributes of each other, and they are not perfectly anonymous because they experience meeting offline. However, when they interact in the IM and SNSs, only a few non-verbal cues are available, which may lead to anti-normative behavior. For instance, when considering students in a classroom, the lack of cues in the online spaces, such as upset facial expressions of girls when a boy speaks to them and the gaze from others may facilitate inter-gender communication.
Reduced social cues theorists often think the relationships through CMC as they are impersonal and not useful for cultivating relationships, compared to face-to-face communication. Although empirical studies based on reduced social cues theory focused on ‘flaming’, i.e. aggressive and hostile verbal behavior (Kiesler et al., 1984), subsequent studies revealed that CMC can promote positive relationships as well as face-to-face communication through mechanisms such as long-term message exchange complementing the scarcity of social cues and selectively disclosing themselves (Walther, 1992, 1996). However, the perspective that technological features of online media weaken social norms regulating communication between people is insightful and informative to study homophily in the offline and online spaces in that they offer possibilities for network formation otherwise regulated by the norm in the offline space.
Taken together, this theory predicts that online communication media lead social networks toward lower levels of gender homophily. As it has long been widely known, cross-gender friendship is constrained by social norms (Booth and Hess, 1974). Since the media reduces social cues and weakens the social norms that constrain social interactions in offline spaces, gender homophily is weaker in the online world.
Furthermore, in social spaces where people use multiple media and their connections overlap across various media, it is expected that offline membership will be similar to online encounters. The formation of online ties not biased by social attributes can be accounted for by ‘group identity’ because communication media enables users to communicate and produces a distinct identity. According to Meyrowitz (1986), whether one associates with the same group identity as others depends on the specific situation. Meyrowitz offers the following example: “Any common experience, information, or role that separates two or more people from others will give them a sense of common identity. Yet because social experience, information, and roles are situation-bound, group identities will change with variations in situations or with a shift in participants’ perspectives concerning “insiders” and “outsiders.” Two New Yorkers who meet in Georgia may feel an immediate bond that unites them “against” Georgians. At the same time, however, a Georgian and a New Yorker who meet in Italy may feel a similar connection with each other because they are both American.” (Meyrowitz, 1986, p. 54)
As in this example, when students meet in the classroom (i.e., offline space), they take their setting for granted. However, if they meet online, they may feel ‘an immediate bond’ because they have the same group identity as classmates, which would promote interaction among them. Thus, if individuals in the same social group encounter one another in an online space, social cues are reduced, and perceptions of similarity grow. This generates social ties among individuals, regardless of their social attributes. In other words, offline spaces themselves become ‘foci’ (Feld, 1981) that densely connect people in online spaces. This can be specific to the modern multiplex-media situation.
In addition, the difference in gender homophily among online media can be supposed. In particular, SNSs such as Myspace and Facebook have an aspect of ‘networked publics,’ which have the following three dynamics: ‘invisible audiences,’ ‘collapsed contexts,’ and ‘the blurring of public and private’ (Boyd, 2008). As previously mentioned, most SNSs such as Facebook use them to connect and maintain friendships with people whom they have already met offline. However, users can deliver or receive content from distant individuals through the network, and user profiles can be searched by other users. These distant audiences are invisible, but users are clearly conscious of their existence. Teenage users of SNSs even attempt to prevent others from searching for them (Boyd, 2008). Therefore, SNSs offer more opportunities to find and recognize many strangers who do not share offline membership and foster group identity online more strongly than IM.
Moreover, the functionality of SNSs can make gender homophily on SNSs weaker than IM. SNSs often implement recommendation functions, which helps users to find other users who are likely to match them. This function promotes them to find and identify users who have the same offline membership because profiles that users input by themselves give clues to who an account is. Furthermore, information on profiles may bring unexpected findings of similarity such as hobby or tastes, which promotes tie formation based on cultural matching, canceling out the gender homophily.
Based on this, regarding the ‘online vs. offline’ problem, I formed a two-part hypothesis concerning multiple online communication media: Hypothesis 1a: in the SNS social network layer, gender homophily operates more weakly than in the offline social network layer, and Hypothesis 1b: in the IM social network layer, gender homophily operates more weakly than in the offline social network layer. Likewise, regarding the difference in gender homophily among online media, I hypothesized that in the SNS social network layers, gender homophily operates more weakly than in the IM social network layers (Hypothesis 2). To examine the two hypotheses, I evaluate the degree of homophily in each layer, comparing gender homophily in face-to-face versus online networks.
In this study, I adopted a mixed-method framework that integrates qualitative and quantitative research methods. I analyzed the network structure of the observed social network using quantitative statistical approaches. In addition, I captured the practices, meanings, processes, and other social contexts through a qualitative approach to interpret the statistical analysis. The research design of this study was a sequential explanatory design, which begins with quantitative data collection and analysis, followed by qualitative research to elaborate on the results of the quantitative analysis (Teddlie and Tashakkori, 2006; Domínguez and Hollstein, 2014). The results of the qualitative research were used to explain the results of the quantitative research, such as the differences in gender homophily effects between network layers.
A series of surveys were conducted in a high school classroom in the rural region of Chūbu, Japan. The city’s central station can be reached by a super express train (also known as shinkansen) from Tokyo. This city is one of the snowiest areas in Japan, and skiing and snowboarding are popular in winter. The high school is located at the foot of the mountains. Most students travel a great distance by train to reach the central station and then take buses, bicycles, etc., to the high school. There were approximately 600 students in this school. The school is more academically advanced than many other schools in the prefecture, and most of the students go on to university. In the third grade, the students were busy studying for entrance examinations.
The survey was conducted in a classroom with second-grade students. In Japan, the second grade in high school is equivalent to the 11th grade in a US high school and year 12 in a UK secondary school. The students’ ages were primarily 16 or 17, with some exceptions (e.g., there were older students who had initially failed their high school entrance examinations.)
Before conducting the research, I interviewed the class teacher in detail about the classroom. Students rarely use e-mail but mainly use LINE to contact other students, and they have a group chat that almost all students in the classroom join. LINE is the most popular instant messaging application in Japan. It can be seen as a representation of the various messaging apps because it has typical functions such as sending messages, creating group chat rooms, sharing pictures and videos, and using stickers and emoji, much like messaging apps popular in other countries, such as WhatsApp, Facebook Messenger, and Viber. As for SNS usage, when classroom allocation was rearranged (when students advance from first to second grade in April, the classroom allocation is rearranged), some students advertised their usernames on Twitter so that other students could follow their accounts.
Based on this information, I conducted a questionnaire survey on June 15 (Wave 1) and September 21, 2016 (Wave 2). Although this study’s scope is a cross-sectional status of homophily, I analyzed both waves. At this school, the class change took place in April for the second-grade students. By studying the results from the two waves, it was possible to determine whether there was a difference between the early stages of friendship formation within the class and three months later. Conducting the research in two waves also verified the robustness of the results. The questionnaire consisted of three sections. The first section contained questions about the social attributes of students (e.g., ‘what is your gender?’), the second section contained questions about the media usage of students (e.g. ‘which messaging app do you install?’), and the third section contained questions about social networks among students (e.g. ‘who do you talk with?’).
In the first section, I asked students about their gender, club activity, and academic courses. Second, I asked if they had a mobile phone or not, which SNSs they use, and how many times they have used SNSs. Finally, I asked with whom they talk in the classroom, with whom they communicate through instant messenger, and to whom they comment or reply and on which SNS.
In the social network module, I used a name generator based on the ‘recognition method’ (Robins, 2015). Although standard name generators ask for names of individuals who are related to the respondent, in this study, I asked for the roster number of each student in order to not record their names on the questionnaire and protect their personal information.
Although the network data to be collected in this study can be directed, the data were converted to undirected networks in the analysis. If at least one of the dyads recognizes the interaction, whether reciprocal or nonreciprocal, I converted it to an undirected tie with weight 1. The research interest of the present study is not in the informational flow or the recognition gap of social ties between males and females, but in the existence of social relationships itself. Moreover, in the section of the questionnaire on social ties in F2F and IM, it asked ‘with whom’ rather than ‘to whom’, which limits the question to ‘interaction’ among students. If the recognition is not reciprocal, it only means that respondents could not recall the interaction. However, the question regarding social ties in SNS, the question asks, ‘to whom they comment or reply’: I asked this question in this way because I believe that questions such as ‘who is the person you comment on AND responds to your comments?’ is redundant and not easy for respondents to recall their social interactions.
To evaluate the degree of homophily in each layer, it is necessary to consider other mechanisms of network formation. In particular, this study considers ‘foci’ and ‘triadic closure’ as important network-forming mechanisms. In the following sections, I elaborate on each mechanism in detail.
To evaluate the degree of gender homophily more exclusively, it is necessary to consider foci mechanisms. ‘Foci’ (or singular ‘focus’) is defined as ‘a social, psychological, legal, or physical entity around which joint activities are organized (e.g., workplaces, voluntary organizations, hangouts, families, etc.)’ (Feld, 1981, p. 1016). Shared foci provide opportunities to form ties within units, independent of preference to some extent (Hallinan and Williams, 1989). I consider foci to be a control variable because, in addition to homophily, it is predicted that students will have more social ties based on belonging to the same club or academic course. If there are gender differences in participation in club activities or academic courses and such foci effects were not controlled for, the true homophily effect could not be estimated because of the network autocorrelation caused by the effects of foci.
In Japanese high schools, club activities and academic courses are intended as important foci to connect students. Club activity in junior high or high school is called bukatsu in Japanese: bukatsu refers to ‘school club activities and to the clubs themselves, which are devoted not only to sports but also to music, art, science, and others’ (Omi, 2015, p. 256). Students in the same club are predicted to spend most of their school lives together because they practice their activities before and after school, on weekends, and during summer or winter vacations. Therefore, it is natural that club activities operate as strong foci to connect students in the same bukatsu in both the classroom and the online world.
In the case of this high school, there are two main types of bukatsu: sports and culture. Sports clubs include tennis, baseball, rugby, swimming, athletics, and kendo. Both girls and boys can join the same club, with some exceptions such as volleyball and basketball club, which are separated by gender (e.g., a girls’ volleyball club and a boys’ volleyball club). Culture clubs include brass bands, choruses, drama, computers, biology, and in-house magazine. Unlike sports clubs, all culture clubs accept participants regardless of gender.
Furthermore, academic courses may also operate as foci. In many high schools, students can choose between literature or science courses when they are in the first or second grade. Each academic course has a different curriculum, and students often take classes with students from other classrooms in the same academic course. This study hypothesizes that academic courses also operate as foci because students who share the same academic course spend more time together than those who do not.
Network formation is not caused merely by the matching of nodal attributes, but also by network endogenous effects. Sometimes, the network structure itself induces network tie formation. Triadic closure is an important network endogenous mechanism and refers to the trend that friends of friends are more likely to become friends, regardless of shared attributes or foci. In the context of classroom segregation in America, Goodreau et al. (2009) suggest that homophily and friends of friends must be distinguished from one another. To evaluate the degree of gender homophily, the effect of triadic closure should be controlled for; otherwise, the triadic closure mechanism could amplify the homophily effect (Wimmer and Lewis, 2010).
This study aims to reveal the gender homophily effect of each network layer. As I mentioned before, to estimate the effects of gender homophily, it is necessary to control for other network mechanisms such as foci or triadic closure (Goodreau et al., 2009). Therefore, I used exponential random graph models (ERGMs) (Robins et al., 2007) to do so.
Normally, the ERGM is formulated as follows:
The probability of obtaining the observed network can be regressed on various network statistics in an exponential form. Y is a random variable of a binary network, whose network size is the same as the observed network; y is the observed network itself; and θk is the corresponding parameter of network configuration k. These parameters indicate the extent to which specific network configurations, such as matching of gender or triadic closure, contribute to the whole network formation. zk(y) is a statistic for the network configuration k. For example, if y contains four triangles, ztriangle(y) = 4. κ is the normalizing coefficient, or in other words, the sum of exp∑Aθkzk(y) for all possible networks. A is the set of network configurations. Since κ cannot be calculated realistically even in a small network, parameters are estimated by Monte Carlo maximum likelihood maximization (MC-MLE) based on random graphs generated by MCMC.
To evaluate homophily or foci effects, I used a ‘nodematch’ term, which is formulated below. The variable yij equals 1 if there is an edge between node i and node j; otherwise, yij equals 0; ai and aj is the attribute of node i,j. This equals the count of edges whose nodal attributes are the same:
To examine the effects of triadic closure, I input network statistics of geometrically weighted edge-wise shared partners (GWESP) as one of the independent variables. The network statistics of the GWESP are formulated as follows:
Finally, the main research interest of this study is to compare the strength of homophily, that is, the parameter of gender nodematch among various network layers. To evaluate the significance of the differences between network layers, I used 95% confidence intervals (95% CIs) of the estimated parameters. If 95% CIs of the same parameter between two network layers do not overlap, it can be said that there is a statistically significant difference.
Four months after the first questionnaire research, on October 5-7, I conducted semi-structured interviews based on the results of the aforementioned analysis to capture more information about students’ communication media practices and the mechanisms of social network formation. I asked, for example, ‘do gender or academic courses affect your social connections?’, ‘is there an opportunity to use IM or SNSs in club activities or classes?’, ‘what kind of posts do you mainly make on SNS (Twitter)?’, and ‘how do you make friends on IM and SNSs?’
To handle the ethical problems of social network research, I complied with the guidelines given by Borgatti and Molina (2005). In the context of the present research, there are two ethical problems to be overcome: anonymity and consent. First, regarding anonymity, few social attributes are sufficient to identify individuals in small organizations (Borgatti and Molina, 2005). Second, regarding consent, non-respondents can be named by other respondents regardless of their will (Borgatti and Molina, 2005).
Considering these problems, I performed the following three operations in the research. First, the node IDs assigned to the dataset are not roster numbers but randomly generated numbers. This reduces the risk of personal identification when publishing research datasets. Roster numbers are not perfectly anonymized because these numbers are arranged in the Japanese alphabetical order of students’ last names, and there is a possibility of individual identification. To obtain anonymized node IDs, roster numbers were converted into random numerical sequences that could be mapped onto roster numbers. After completing the research, I deleted the mapping table between the roster numbers and node IDs. Second, in small social groups such as high school classes, individuals can be identified through combinations of social attributes, thus compromising anonymity. To address this, this article provides information on club activity as the number of members or their category (sports or culture) in this article. Third, I created a consent form asking if respondents agreed to participate in the research. All students signed this form, but absent students did not answer this form. In the present study, absent students were eliminated from the study.
Figure 1 shows network graphs of face-to-face (F2F), IM (LINE), and SNS (Twitter) interactions in both waves. To make it easier to visually compare each layer, nodes in each network are arranged with the same coordinates obtained by the Fruchterman–Reingold algorithm applied to the F2F network of Wave 1 data. Circle-shaped nodes indicate male students and triangle-shaped nodes indicate female students.
Figure 1:
Network graphs.

Table 1 shows the descriptive statistics of the students. In both waves, the number of valid responses was 39 (17 males). The number of club activities to which students in this classroom belonged was 21, the 3-member clubs totaled 3, the 2-member clubs totaled 12, and the 1-member clubs totaled 6. Here, ‘n-member club’ refers to clubs to which n student(s) in this classroom belong. Since almost all students in this high school belonged to some clubs, it is possible that the overall number of members in each club, including students who were not in this class, was much higher than the values displayed here. As for the academic courses, the literature course included 18 students, and the science course included 21 students. For IM, 38 students used LINE, which is the most common instant messenger service in Japan, but one student did not use any IM services. Regarding SNSs, 26 students used SNSs and 13 students did not. Specifically, 23 students had an account on Twitter, 12 students were on Facebook, eight students were on Instagram, eight students used Google+, and three students used other SNSs (multiple answers were allowed). Regarding SNS networks, in the Wave 1 data, three dyads interacted on Instagram, and in the Wave 2 data, it was not possible to determine on which SNS five ties were formed, but the others interacted on Twitter. In order to focus on one SNS mechanism, I excluded those ties from the analysis and examined the social network on Twitter only. In this study, both networks that contained full nodes of the classroom and only nodes that used services were considered.
Descriptive statistics of students.
| Dimension | Attribute | Frequency |
|---|---|---|
| Gender | ||
| Male | 17 | |
| Female | 22 | |
| Club activity | ||
| 3 members | 3 | |
| 2 members | 12 | |
| 1 member | 6 | |
| Academic course | ||
| Literature | 18 | |
| Science | 21 | |
| IM (LINE) | ||
| Registered | 38 | |
| Not Registered | 1 | |
| SNS | ||
| Registered | 23 | |
| (Twitter) | 23 | |
| (Facebook) | 12 | |
| (Google+) | 8 | |
| (Instagram) | 8 | |
| (Other) | 3 | |
| Not Registered | 16 | |
| Total nodes | 39 |
Table 2 shows basic network statistics. The edge counts shown in Table 2 depict the numbers after the aforementioned manipulation. In the parentheses, I reported the statistics of networks that contained only nodes that used the services. Note that isolated nodes in the online social network may actively connect to users outside the classroom.
Network statistics.
| Index | F2F | IM | SNS |
|---|---|---|---|
| (Wave 1) | |||
| Node count | 39 | 39 (38) | 39 (23) |
| Edge count | 183 | 32 (32) | 34 (33) |
| Density | 0.247 | 0.043 (0.046) | 0.046 (0.13) |
| Average degree (All) | 18.769 | 3.282 (3.368) | 3.487 (5.739) |
| Average degree (Male) | 20.091 | 3 (3) | 4.182 (6.429) |
| Average degree (Female) | 17.059 | 3.647 (3.875) | 2.588 (4.667) |
| E-I Index | −0.486 | −0.438 (−0.438) | −0.059 (−0.091) |
| (Wave 2) | |||
| Node count | 39 | 39 (38) | 39 (23) |
| Edge count | 188 | 33 (33) | 20 (20) |
| Density | 0.254 | 0.045 (0.047) | 0.027 (0.079) |
| Average degree (All) | 19.282 | 3.385 (3.474) | 2.051 (3.478) |
| Average degree (Male) | 22.091 | 3.091 (3.091) | 2.364 (3.714) |
| Average degree (Female) | 15.647 | 3.765 (4) | 1.647 (3.111) |
| E-I Index | −0.479 | −0.03 (−0.03) | 0 (0) |
Network density is the value of the observed tie count divided by all possible tie counts given the number of nodes, and it indicates the level of interaction activity within the network. This index was highest in the F2F network compared to IM and SNS networks, and the latter two were relatively similar across both waves.
Additionally, the average degree of all nodes, those of only male nodes, and those of only female nodes are shown for both waves. Although in the F2F and SNS network, the average degree of male nodes is greater than that of females, in the IM network, the average degree of female nodes is greater than that of males. This may indicate that female students interact with other students by IM more actively than male students, whereas male students are more active in the F2F and SNS network.
Preliminarily, I compare the strength of gender segregation by the E-I index (Krackhardt and Stern, 1988). The E-I index is formulated as (EL − IL)/(EL + IL), where EL is the number of external (inter-gender) links and IL is the number of internal (intra-gender) links. The range of this index is −1.0 (all links are internal) to 1.0 (all links are external). In the Wave 1 data, the index is the lowest (most strongly gender-segregated) in the F2F network, and the second lowest is the IM network. However, in the SNS network, the index is negative, but approximately 0. In the Wave 2 data, the index of the IM network increased to approximately 0 and almost the same level of the SNS network, which means that the proportion of inter-gender ties in the IM network increased in three months.
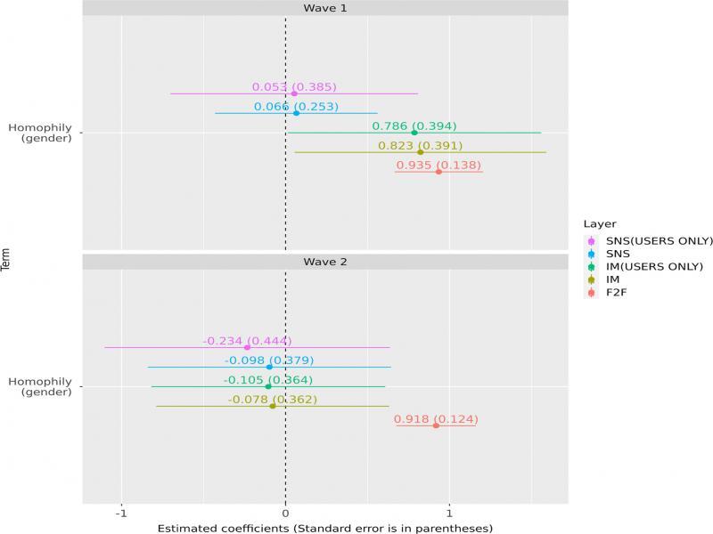
In Figure 2, the points show the coefficients of gender homophily, and the horizontal bars show 95% confidence intervals of the ERGM on each network layer. In Table 3, all the parameters are shown in table form. See Appendix A for the information on the goodness of fit. The positive effects of gender homophily are depicted in the F2F network across waves. Below, I discuss the main findings of the hypotheses.
All estimated coefficients of ERGMs.
| F2F | IM | IM(USERS ONLY) | SNS | SNS(USERS ONLY) | |
|---|---|---|---|---|---|
| Wave 1 | |||||
| Edges | −3.711*** | −4.093*** | −4.009*** | −4.898*** | −3.496*** |
| (0.211) | (0.393) | (0.390) | (0.418) | (0.494) | |
| Homophily (gender) | 0.935*** | 0.823* | 0.786* | 0.066 | 0.053 |
| (0.138) | (0.391) | (0.394) | (0.253) | (0.385) | |
| Foci (academic course) | 0.359* | 0.030 | 0.043 | −0.271 | −0.266 |
| (0.161) | (0.379) | (0.376) | (0.294) | (0.438) | |
| Foci (club activity) | 2.902*** | 2.702*** | 2.690*** | 2.285*** | 3.187*** |
| (0.612) | (0.485) | (0.496) | (0.474) | (0.849) | |
| GWESP | 0.393*** | 0.591* | 0.537* | 2.059*** | 1.259*** |
| (0.043) | (0.262) | (0.249) | (0.289) | (0.315) | |
| AIC | 682.547 | 238.872 | 236.380 | 217.169 | 166.698 |
| BIC | 705.587 | 261.912 | 259.157 | 240.209 | 184.365 |
| Log Likelihood | −336.273 | −114.436 | −113.190 | −103.584 | −78.349 |
| Wave 2 | |||||
| Edges | −3.958*** | −3.886*** | −3.826*** | −4.516*** | −3.297*** |
| (0.207) | (0.353) | (0.359) | (0.420) | (0.455) | |
| Homophily (gender) | 0.918*** | −0.078 | −0.105 | −0.098 | −0.234 |
| (0.124) | (0.362) | (0.364) | (0.379) | (0.444) | |
| Foci (academic course) | 0.345* | 0.460 | 0.461 | 0.299 | 0.465 |
| (0.154) | (0.352) | (0.347) | (0.340) | (0.403) | |
| Foci (club activity) | 3.044*** | 2.210*** | 2.221*** | 1.787** | 2.040** |
| (0.596) | (0.501) | (0.509) | (0.587) | (0.744) | |
| GWESP | 0.455*** | 0.861*** | 0.813*** | 1.520*** | 0.823** |
| (0.038) | (0.247) | (0.231) | (0.287) | (0.284) | |
| AIC | 664.692 | 252.816 | 249.218 | 170.071 | 136.207 |
| BIC | 687.732 | 275.856 | 271.995 | 193.111 | 153.873 |
| Log Likelihood | −327.346 | −121.408 | −119.609 | −80.036 | −63.103 |
Notes: Decay parameter of GWESP (alpha) is set to 1.5 (F2F), 0.1 (IM), 0.3 (SNS). *p < 0.05; **p < 0.01; ***p < 0.001.
Figure 2:
Estimated coefficients of gender homophily by ERGM (Horizontal bars are 95% CIs).

First, in the SNS network, no gender homophily effect could be observed, and the coefficients are lower than those of the F2F networks. Although the 95% CI of the SNS network with only users in Wave 1 overlapped little with that of the F2F network in the same wave, the estimated coefficient is almost the same as that of the SNS network with all students. This result suggests that, given the same node set, even after controlling for other network formation mechanisms, gender homophily operated more weakly in the SNS network layer than in the F2F network layer, as hypothesized in Hypothesis 1a.
Second, whereas in Wave 1 data, the coefficients of gender homophily in the IM networks were positive and statistically significant, in the Wave 2 data, gender homophily in the IM network layer could not be observed at all, as with the SNS network. This result means that Hypothesis 1b is partially supported. On the one hand, the Wave 1 results were not concurrent with the hypothesis but, on the other hand, three months later in the Wave 2 data, gender homophily was reduced to the same degree as that of the SNS network and demonstrated a significant difference from the F2F network, as hypothesized in Hypothesis 1b.
Third, although the estimated coefficients of the IM network were more positive than those of the SNS network in the Wave 1 data, the difference was not statistically significant. On the contrary, as previously mentioned, gender homophily effects could not be observed at all in the Wave 2 data, as in the SNS network layer. This result indicates that Hypothesis 2 is not supported. However, it is remarkable that at first, IM had a weak positive effect of homophily that disappeared within three months.
Additionally, the foci effects of club activities were high in every layer, and this mechanism was robust among various network layers. This suggests that we cannot ignore real-world social institutions when considering the mechanisms for not only offline networks but also online networks. At the same time, the data showed no effect of academic courses on any network layer except F2F. This means that students were not connected to each other online simply because they were in the same classes. These results were robust across waves.
The triadic closure effect was observed on every network layer and waves. This means that all the networks tended toward triadic closure, even after controlling for nodal attributes such as gender. In other words, in these network layers, friends of friends were likely to be connected to each other. It is worth noting that in the Wave 1 data, although the difference was not statistically significant, the SNS (and SNS without non-users) network was the most transitive network among all layers. However, this tendency for triad closure in the SNS was weaker in Wave 2.
In Appendix B, I discuss the difference in the strength of gender homophily separately for each gender.
Table 4 summarizes the attributes of the interviewees from the semi-structured interviews. When selecting subjects, I chose not to bias the gender, academic course, affiliation to club activities, or media usage of the interviewees who were able to schedule interviews during the limited time period available for interviews.
Information of sampled participants.
| Name | Gender | Academic course | Club activity | Register IM (LINE)? | Register SNS (Twitter)? |
|---|---|---|---|---|---|
| A | Female | Science | Culture | Yes | Yes |
| B | Male | Literature | Culture | Yes | No |
| C | Male | Science | Culture | Yes | No |
| D | Female | Literature | Sports | Yes | Yes |
| E | Male | Science | Sports | Yes | No |
| F | Male | Science | Culture | Yes | Yes |
| G | Male | Science | Sports | Yes | Yes |
At the time of the interviews, in order to avoid students’ attrition, their narratives were not recorded electronically; I simply wrote them in field notes during the interviews. Interviewees’ narratives in this article were reconstructed from field notes, and names were alphabetized from A to G (see Table 4) to identify who said what in the quotes in the following discussion.
Regarding interaction on IM, belonging to the same club was recognized as one of the most important factors in forming a relationship. Student D reported: ‘I use LINE with people who belong to the same club activity.’ Students reported that IM was mainly used as a tool for conveying information about club activities, as student D added: ‘I mainly use it for business communication, not chatting. I often use IM for club activities, but I am not an active user in this classroom.’ As another example, student C said: ‘In one-on-one communication, I just talk with people in the same group activity to discuss topics that are inconvenient to talk about in reality, such as deciding on a birthday gift for the teacher.’ One-on-one IM communication with classmates was also used for communication regarding classroom affairs.
Moreover, ‘arrangement of seats’ or a ‘common hobby’, such as playing videogames, were key factors in cultivating relationships between students, which was not considered in the quantitative study. Regarding the ‘arrangement of seats,’ student D said: ‘I don’t have many personal talks, but if any, I send a picture of the class board. I do not talk much, but I often talk to people in the same class who are seated close to me.’ Regarding the importance of a common hobby, student F said, ‘When it comes to one-on-one communication, I often talk about videogames with people in my class on LINE.’ This indicates that ‘hobby homophily’ also operates in the IM network.
However, how do students begin interacting with IM? When it comes to friending, students are reluctant to register other students as friends without experiencing the F2F interaction. For example, student D said, ‘I am not the type who adds friends myself. People I have not met in real life do not become my friends. I only accept a request if it is sent from another person’. She added, ‘Not many people interact with me through LINE alone; I do not register people as friends if I have never spoken to them’ There is a process through which F2F communication takes place first, followed by friend registration, and then message exchanges on IM. This may be the reason the homophily mechanisms of the F2F network and the IM network in its early stage are relatively consistent compared to the SNS network.
The results of the semi-structured interview suggested that in the SNS network, as well as the IM network, ‘hobby’ was the main topic of conversations, and if students had a common hobby, they were still likely to follow each other even if they did not talk in reality. For example, student A said: ‘Some people talk about their hobbies on LINE with the same high school people they met on Twitter. Sometimes they meet on Twitter and then talk on LINE.’ As another example, student F reported: ‘I often talk about my hobbies with people on Twitter. If it is not a protected account, and if I think my hobbies are going to match, I think a person is safe and even people who do not know me may follow me. Some people have conversations about hobbies on Twitter and then actually get along in real life.’ After discussing their hobbies on Twitter, students began talking on IM or in real life, thus deepening their friendships. Unlike IM, students do not necessarily follow users on SNSs after meeting them in the real world.
Thus far, it has been revealed that, following SNS networks did not necessarily require offline communication, the exchange of contacts through IM often originated in face-to-face communication. Therefore, it can be inferred that network formation mechanisms in the IM network are more consistent with the F2F network than the SNS network in its early stage. The ERGM results of the IM network in Wave 1 showed weak gender homophily effects, but no effects were shown in Wave 2. This means that in Wave 1, which was conducted about two months after the students were assigned to a new class, the IM network was more consistent with the F2F network than in Wave 2. The effects of gender homophily vanished in Wave 2. Therefore, it can be assumed that social interactions in the IM network became independent from the earlier F2F network in three months.
Furthermore, regarding SNSs, it was suggested that functions such as the ‘retweet’ or ‘recommended users’ induce relationships between students in the classroom. Student A said: ‘Although we have never actually spoken, sometimes a friend retweets another friend’s tweet and I follow, knowing that the person is in the same class as me’. Student G also said: ‘users who belong to the same class are usually shown as ‘recommended users’ on Twitter. I do not necessarily follow after getting acquainted with them in reality.’ If students cannot identify whom an account belongs to in a class, they ask someone they know. Student D said: ‘I sometimes ask my friends who a certain account belongs to. The recommendation function can tell you that you are in the same class.’ As previously explained, on SNSs, ‘belonging to the same classroom’ becomes a similar group identity, and social ties may emerge regardless of gender, assisted by the functions built into the platform. In the previous section, the ERGM result showed that the effect of triad closure on Twitter was higher than that on other network layers, which was likely caused by such technical factors.
Thus far, I have compared the strength of gender homophily among various media network layers. First, Hypothesis 1a: in the SNS social network layer, gender homophily operates more weakly than in the offline social network layer was supported. Even when other networking mechanisms were controlled, the ERGM showed no gender homophily mechanism in SNSs. However, there was a clear difference in the strength of homophily between F2F and SNS networks. Whereas the gender homophily mechanism operated strongly in the F2F network, no such effect could be observed in the SNS network. This difference was statistically significant, given the same node set as the F2F network.
Hypothesis 1b: In the IM social network layer, gender homophily operates more weakly than in the offline social network layer was only partially supported. Whereas the coefficients of gender homophily in the IM networks were positive and statistically significant in the Wave 1 data, no gender homophily was observed at all in the IM network layer in the Wave 2 data, as in the SNS network. The qualitative research indicated that this was caused by the differences in the process of friending between IM and SNSs. Whereas F2F contact did not necessarily precede friending in the SNS networks, the exchange of contacts in IM often originated in F2F communication. This can be interpreted as follows: since network formation in the IM network layer required F2F contact, the IM network was consistent with the F2F network in the early stages. However, communication in IM became independent from F2F and the gender homophily effects also disappeared in three months.
Third, Hypothesis 2: In the SNS social network layers, gender homophily operates more weakly than in the IM social network layers was not supported. However, it was remarkable that, at first, IM had a weak homophily effect and vanished within three months.
These results show that, regarding multiplex-media networks, social networks on online media are more likely to be heterophilic than those in the offline space, even though IM had a weak but positive gender homophily effect at first.
From the qualitative research, some practices or social contexts of communication media were specified that could explain the results of the quantitative analysis. Table 5 depicts the difference between IM and SNSs in terms of gender homophily and its formation process. Triggered by the characteristic functions on Twitter such as ‘retweeting’ or ‘recommended users,’ once students identified a user as being ‘in the same classroom’ or having a ‘common hobby,’ they connected with each other. The relative weakness of gender homophily in the online networks could be explained by not only the foci mechanism of ‘classroom membership’ but also ‘hobby homophily.’ These factors canceled out the gender homophily effects. These findings can also be explained in terms of ‘multidimensional homophily’ (Block and Grund, 2014). According to Block and Grund (2014), homophily effects can be strongly observed; however, the interaction parameter of sex and some other dimensions is less likely to occur. Simply put, homophily is likely to occur in one dimension but not in two or more dimensions. From this perspective, the result implies that multidimensional matching of both cultural tastes and gender is less likely to occur.
Summarization of the gender homophily effects of IM and SNS networks and their formation principles.
| Media | Gender homophily | Formation principles |
|---|---|---|
| IM | Weak positive (Wave 1) | F2F communication preceded friending |
| None (Wave 2) | Hobby homophily | |
| SNS | None (Wave 1) | F2F communication did not necessarily precede following |
| None (Wave 2) | ‘Retweet’ or ‘recommended users’ induced social ties | |
| Hobby homophily |
Overall, this study implies that considering offline or online space alone may cause misunderstanding regarding homophily because the observed strength of homophily effects depends on whether the space is examined offline or online. In addition, how heterogeneous the online connections depend on what kind of online media is investigated and when social network data are collected, as it is indicated that IM is gender homophilous in the early stage of the classroom, but becomes less homophilous three months later. This suggests that studies about homophily in an organization based on online connection data have to be careful of the characteristics and practical usages of online media. Or, more discussion about what is the ‘actual’ homophily needed; is it an online network, an offline network, or a network merging these networks together?
Regarding Hypothesis 1a, no gender homophily effect was observed in either wave in the SNS network, although the difference with the IM network was not significant. This may indicate that, in the SNS network, the group identity of being part of the ‘same classroom’ played a key role in network formation. F2F communication did not necessarily precede friending in the SNS. Students encounter one another online through ‘recommended users’ or ‘retweeting’ in a platform that contains many strangers who are not members of their class. This feature of SNSs may enhance the situated group identity of being ‘classmates’ for students, which can lead a connection on the SNS to be more gender heterogeneous even though the students might have never spoken in the offline classroom.
However, this result indicates that network formation on SNSs at least partially depends on the recommendation algorithms. Therefore, the relative weakness of gender homophily on SNSs could be lost if there is a change in the architecture of the services.
Online social networks are important because they generate ‘latent ties’ (Haythornthwaite, 2005), in which otherwise disconnected people are connected through electronic communication media. Although it is impossible to predict whether these connections will become a ‘real’ social network, these latent ties connect dissimilar people. Future research must trace social ties online and examine whether they emerge offline.
There are some limitations to the present study. First, since this study was a case study of a single high school classroom, connections that occurred outside of the class (e.g., within the whole school) could not be considered. In the future, it will be necessary to verify the hypothesis in a group that includes more social actors.
Second, in this study, only gender homophily was considered. However, it is necessary to examine how the strength of homophily offline and online differs in other social dimensions, such as age and political attitude.
Third, this study did not track real interactions in the online world. Students were merely asked about their interactions via a questionnaire. Many students’ accounts on Twitter were set to private. As a result, it was difficult to obtain matches between offline and online identities and agreements with respondents. Students answered each question based on their memory and estimation of their behavior across these media. I did not observe how students actually replied to or commented on online posts or communicated F2F. Therefore, they may have provided inaccurate responses regarding the individuals with whom they connected in different settings. Moreover, respondents may have felt shy and underreported their F2F cross-gender relationships if there was a norm that constrained cross-gender interactions in their classroom.
Fourth, the dataset used in this research lacked specification regarding the strength or type of social ties. This raises the question: are those ties strong or weak, and are they friendships or romantic relationships? The latter difference is a unique point in gender homophily. In a survey of Japanese high school students, 49.4% of male students and 62.6% of female students reported that they had dated before (Takehara et al., 2006). Therefore, cross-gender ties in this study could have included romantic partnerships. Information on the nature of social ties would help reveal what types of norms are alleviated by online space. For instance, if these ties were friendships, it could be supposed that there is a norm that constrains cross-gender friendships in the classroom. Future research should address this issue.
Finally, this study only targeted second-grade high school students. It is known that the effects of homophily change with age (Shrum et al., 1988; Laniado et al., 2016), and the difference between offline and online homophily can decrease or disappear. Future studies should consider broadening the age range.