Hardness is a measure of the amount of calcium and magnesium salt that is present in water. In general, surface water is characterized by lower hardness than groundwater. Water with a hardness of up to 100 mgCaCO3/L is regarded as very soft, between 100 and 200 mgCaCO3/L as soft, between 200 and 350 mgCaCO3/L as medium-hard, between 350 and 550 mgCaCO3/L as hard and above 550 mgCaCO3/L as very hard [1].
The effluents from urban wastewater treatment plant may be characterized by high concentrations of both calcium and magnesium salts which contribute to the hardness of this particular water flux [2]. It applies primarily to places where the distribution systems draw water from underground sources. Using hard water, for instance, in households causes the domestic wastewater to be hard as well. The hardness of wastewater is not a normative indicator. However, it is an important research aspect in the field of water recovery.
In general, there are five types of water softening methods: distillation and groups of thermal, physical, chemical and physico-chemical processes. Distillation demineralizes the water flux completely because it removes all salts from the water [3]. In thermal method the breakdown of calcium and magnesium salts is triggered by temperature exceeding 37°C [4]. The physical methods encompass various high pressure membrane filtration processes, including the processes of reverse osmosis and nanofiltration [5, 6]. The chemical methods consist of chemical precipitation of insoluble precipitate or binding the calcium and magnesium ions into complex compounds with the help of various reagents, such as calcium hydroxide (lime), sodium bicarbonate (soda), sodium hydroxide (caustic soda), phosphates, barium salts and others. [7, 8]. Physico-chemical methods are based on various ion exchangers that are capable of exchanging their own ions with ions found in the surrounding solution [9, 10]. However, taking into account the fact that only membrane filtration is able to lower both the overall hardness and the amount of other non-organic and organic substances, only this process was taken into consideration for the treatment of effluents from the urban wastewater treatment plant.
Membrane filtration allows for the separation of pollutants on molecular or ion level. This process is usually used for the desalination of seawater and brackish water, in the preparation of ultra-pure water and, more rarely, for water softening and the removal of radionuclides, heavy metals, nitrate ions and organic substances, including low molecular weight micropollutants [11–16]. The data on the use of this process for the treatment of wastewater is also scarce. In membrane filtration the driving force is the difference in the chemical potentials on both sides of the membrane which may be obtained by different values of pressure, concentration, temperature or electric potential. During membrane filtration the feed flux (feed) is divided into two fluxes: permeate passing through the membrane (filtrate) and the remaining solution (retentate or concentrate). The processes of membrane filtration may be run in dead-end or crossflow systems. In the dead-end system the feed passes perpendicularly to the membrane and in the crossflow system in parallel to the membrane. The retentate may be recirculated or fed back into the system.
The processes used in the membrane filtration of water fluxes are primarily those in which the driving force depends on the pressure difference on both sides of the membrane. The selection of an appropriate process depends on the size of pollutant molecules that are to be removed from the water. The membranes are characterized by increasingly smaller pores and lower value of the volumetric flux of the permeate, depending on whether it is the process of microfiltration, ultrafiltration, nanofiltration or reverse osmosis. Theoretically, the most concise membranes, used in the process of reverse osmosis, pass through only water, the nanofiltration membranes allow for the separation of ions of different valence and the separation of organic substances, while the ultrafiltration ones retain small suspensions, colloids, bacteria and viruses. Microfiltration membranes, the ones with the largest pores, allow to retain microsuspensions. Due to the physical structure the hydraulic resistance of membranes is rising which makes it necessary to apply increasingly higher pressures.
The pressure membrane filtration is used in the following areas of water treatment [11–16]:
-
production of drinking water from seawater and brackish water by reverse osmosis (RO) – desalination,
-
production of drinking water from groundwater and surface water with the use of microfiltration and/or ultrafiltration (MF/UF),
-
production of drinking water from groundwater and surface water with the use of nanofiltration (NF) with and without the preliminary treatment by coagulation (C) and microfiltration (MF),
-
preliminary preparation of seawater and brackish water with the help of MF/UF and/or NF in the production of drinking water by RO,
-
treatment of the process waters for closing water circuits in industry by MF/UF and/or NF/RO,
-
production of ultra-pure water for industrial purposes by MF/UF and RO,
-
production of industrial water or drinking water by wastewater treatment with the help of membrane bioreactors (MBR) and RO.
The aim of this paper was evaluating the degree of reduction of the overall hardness of effluents from the selected urban wastewater treatment plant in the Upper Silesia (Poland) after membrane filtration, including reverse osmosis and nanofiltration.
The evaluation of the quality of the tested effluent from the urban wastewater treatment plant (WWTP) before and after membrane filtration was performed by analyzing selected physico-chemical indicators (Table 1). The conductivity and pH value of samples was measured with multifunctional measurement device CX-461 (ELMETRON). The absorbance in ultraviolet (λ = 254 nm) was measured with UV VIS 1000 (Cecil Instruments) with 1 cm optical path length. The turbidity of samples was measured with Turbidimeter TN-100 (Eutech Instruments). The color measurement was performed with spectrophotometer UV-VIS Spectroquant® Pharo 300 (λ = 340 nm) (Merck). The overall hardness was determined by means of versenate hardness test, in accordance with Polish Norm, PN – ISO 6059:1999 [17].
The physico-chemical characteristics of effluent from wastewater treatment plant
| Indicator | Unit | Value |
|---|---|---|
| pH | - | 7.41 |
| Color | mgPt/L | 90.00 |
| Turbidity | NTU | 0.86 |
| Conductivity | μS/cm | 1031.20 |
| Absorbance in UV254 | 1/cm | 0.234 |
| Total hardness | mgCaCO3/L | 358.00 |
The tested effluent came from the selected urban WWTP in the Upper Silesia (Poland). The technology used in the WWTP is based on mechanical and biological processes, with a possible chemical aid. Currently, the treated wastewater from the WWTP is outflows to a neutral receiver, a river. It was determined that, according to the common water hardness classification, the hardness of effluents from the researched treatment plant equals the hardness of hard water (350–550 mg CaCO3/L). Moreover, the effluent was characterized by high color, 90 mgPt/L, and the concentration of organic substances measured by absorbance in UV254 at 0.234 1/cm.
The membrane filtration was run in a cross-flow system with the use of TMI 14 installation by J.A.M. INOX Produkt (Fig. 1).

The installation TMI 14 (1 – water coat, 2 – manometer, 3 – thermometer, 4 – flowmeter, 5 – regulating valves, 6 – high-pressure pump, 7 – control box with inverter, 8 – tank, 9 – drain from the tank, 10 – membrane module, 11 – permeate outlet)
The installation was made completely of steel and equipped with an intermediate tank with a volume of 20 L, high pressure pump with a capacity between 0.5 and 3.0 m3/h (type CRN 3) produced by Grundfos (Denmark) and a control and measurement apparatus. Pressure gauges were placed before and after the membrane module and the flow meter was installed on the retentate line. The process pressure was regulated with the inverter, and the required temperature was maintained with the help of the heat exchanger located in the tank walls and along the entire length of the pipe for the retentate. The key element of the installation is the membrane module adapted for composite pipe membranes. The active surface of the membrane is 240 cm2.
In the research two composite pipe membranes by PCI Membrane System Inc. were used. Their characteristics is presented in Table 2. Membrane AFC-30 was used for nanofiltration and AFC-80 for reverse osmosis. In both cases the transmembrane pressure was 2.0 MPa, while temperature and feed linear velocity amounted to 20°C and 3.4 m/s, respectively. In the experiments the membranes used one-time without cleaning.
Characteristics of the membranes (manufacturer data)
| Process | Membrane symbol | Membrane chemistry | Molecular weight cut-off (MWCO) [Da] | Max operating pressure [MPa] | pH range | Max temperature [ºC] | Salt retention coefficient [%] |
|---|---|---|---|---|---|---|---|
| Nanofiltration | AFC-30 | composite | 200 | 6.0 | 1.5-9.5 | 60 | 75.0 CaCl2 |
| Reverse osmosis | AFC-80 | - | 1.5-10.5 | 70 | 80.0 NaCl |
Before the commencement of the filtration, the membranes went through the conditioning process. For this purpose deionised water was filtered at a pressure between 1.0 and 2.0 MPa until a constant volumetric flux of the permeate (Jv) was reached, which was determined by the following equation:
V – volume of permeate [m3],
F – membrane surface [m2],
t – time of filtration [s].
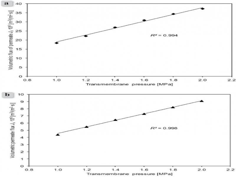
As part of the preliminary tests a linear dependence of the volumetric flux of the permeate in the function of transmembrane process pressure was researched (Fig. 2). It was determined that as the process transmembrane pressure increased, so did the volumetric flux of the permeate, and that the value of this parameter was influenced by the type of the membrane process. The observed correlation between these tested parameters had a linear character. The nanofiltration membrane was 4 times more efficient than the one used for reverse osmosis. For instance, the volumetric flux of the permeate Jv determined for ΔP 2.0 MPa was 37.3·10−6 m3/(m2·s) in the case of nanofiltration membrane AFC-30 and 9.1·10−6 m3/(m2·s) in the case of membrane for reverse osmosis AFC-80.

Effect of transmembrane pressure on volumetric permeate flux of the membrane: a) nanofiltration, b) reverse osmosis
The intensity of lowering the hydraulic efficiency of the membrane during wastewater treatment was established by determining both the volumetric flux of the permeate (Jv) and the relative volumetric flux of the permeate during filtration. Volumetric flux of the permeate Jv for wastewater was determined by equation (1), and parameter from the following correlation:
J v 1 – average volumetric flux of permeate determined during filtration of effluent from municipal wastewater treatment plants [m3/(m2·s)],
J v 2 – average volumetric flux of permeate determined during filtration of deionized water (membrane conditioning) [m3/(m2·s)].
The presented results are the arithmetic average of the four replicates of each experiment. For all the cases assigned error (estimated based on the standard deviation) did not exceed 5% so the results are presented without marking of the ranges of error.
In the work the methodology used in the previous work realized in this research area has been applicated [18].
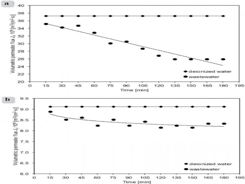
During the wastewater treatment both the volumetric flux of the permeate for the nanofiltration membrane and for the membrane for reverse osmosis was lowering with the filtration time (Fig. 3). The results were compared against the results of analyses of deionized water treatment. It was caused by the blockage of membrane pores by pollutants present in the wastewater. This phenomenon is called membrane fouling. Because of that the average values of relative volumetric flux of the permeate α of the tested membranes were compared (Fig. 4). Parameter is an intensity measure of the phenomenon of membrane fouling. It was determined that its value was lower for the nanofiltration membrane (α = 0.80) than for the membrane for reverse osmosis (α = 0.92). It was caused by the fact that the volumetric flux of the permeate of the nanofiltration membrane was larger than the one determined for the membrane for reverse osmosis, which is the result of the difference in pores size. Because of that the nanofiltration membranes are more prone to fouling [19].

Change of volumetric permeate flux of membrane during deionized water and wastewater filtration: a) nanofiltration, b) reverse osmosis

Relative permeability of membranes α
Fouling may be reversible if the sediment on the surface of the membrane can be completely removed, and its initial effectiveness restored. Otherwise, it is non-reversible. In [20, 21] it was documented that in the case of the nanofiltration of effluents from urban wastewater treatment plant fouling is usually reversible.
Another step was determining the level of the overall hardness in permeates depending on the filtration time (Fig. 5). It was established that wastewaters treated by both reverse osmosis and nanofiltration were very soft (Tog < 100 mgCaCO3/L). Nevertheless, after 45 minutes of the process of reverse osmosis the overall hardness of the wastewater was completely removed.

The level of hardness of wastewater in permeate during membrane filtration
The level of hardness of wastewater in permeate during membrane filtration
Both tested processes completely removed color, turbidity and organic substances measured by absorbance in UV254 from the wastewater (Table 3). On the other hand, the conductivity value in the treated wastewater differed, depending on the type of the membrane process. Reverse osmosis lowered this parameter to a greater degree than nanofiltration. This is due to the fact that the process of reverse osmosis separates both monovalent and mutivalent ions from the solution.
Efficiency of membrane filtration (averaged permeate)
| Process | Color | Turbidity | Conductivity | Absorbance in UV254 |
|---|---|---|---|---|
| Nanofiltration | 0 | 0 | 380.20 | 0 |
| Reverse osmosis | 0 | 0 | 157.70 | 0 |
-
Wastewaters treated by both reverse osmosis and nonofiltration were very soft. Additionally, the process of reverse osmosis allows to completely remove the overall hardness of wastewater.
-
Both tested membrane processes completely removed color, turbidity and organic substances measured by absorbance in UV254 from the wastewater. Therefore, using the treated flux, for instance, for productive purposes, may be considered.
-
The nanofiltration process was more favorable in terms of membrane effectiveness than reverse osmosis. However, the membrane for reverse osmosis was less prone to pore blocking, the so-called membrane fouling.