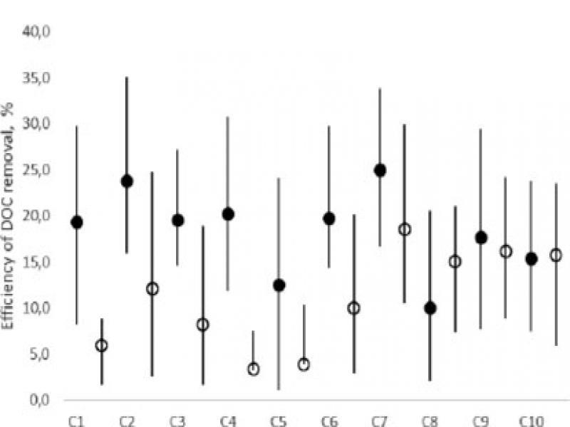
Figure 1.

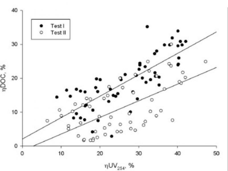
Figure 2.

Figure 3.

Figure 4.

Water parameter ranges before and after coagulation
| Temp. °C*** | pH | Alkalinity, val/m3 | Tr, NTU | C, g Pt/m3 | UV 254, m-1 | DOC, g C/m3 | SUVA254, m2/g C | |||||||||
|---|---|---|---|---|---|---|---|---|---|---|---|---|---|---|---|---|
| T I | TII | T I | TII | T I | TII | T I | TII | T I | TII | T I | TII | T I | TII | T I | TII | |
| RW* | 9 | 12 | 8.09 | 7.83 | 3.14 | 3 | 5.1 | 48.9 | 8.9 | 8.2 | 9.49 | 8.9 | 3.9 | 4.7 | 2.43 | 1.89 |
| I Stage | ||||||||||||||||
| C1 | 17.5-18.8 | 13.8-14.7 | 7.74-8.06 | 7.24-7.50 | 2.69-3.04 | 2.63-2.94 | 0.79-3.45 | 1.4-7.5 | 5.1-7.9 | 4.4-6.6 | 5.58-8.06 | 5.84-7.86 | 2.74-3.58 | 4.28-4.48 | 2.04-2.27 | 1.36-1.76 |
| C2 | 15.2-16.0 | 14.1-14.8 | 7.98-8.10 | 7.68-7.75 | 3.00-3.02 | 2.92-2.95 | 2.09-4.48 | 3.0-8.5 | 5.8-7.8 | 3.8-6.1 | 5.82-7.95 | 4.71-7.20 | 2.53-3.28 | 3.53-4.58 | 1.97-2.54 | 1.33-1.57 |
| C3 | 15.9-16.5 | 14.3-14.7 | 7.45-8.09 | 7.33-7.55 | 2.91-3.00 | 2.67-2.95 | 1.30-4.55 | 1.4-7.7 | 5.0-7.7 | 3.3-6.1 | 6.25-8.40 | 5.31-7.51 | 2.70-3.44 | 3.81-4.62 | 2.17-2.58 | 1.39-1.62 |
| C4 | 13.6-16.1 | 13.3-14.0 | 7.38-7.91 | 7.15-7.52 | 2.87-3.06 | 2.47-2.93 | 1.07-6.10 | 2.3-9.8 | 4.6-6.3 | 3.7-6.1 | 5.62-7.95 | 5.47-7.66 | 2.70-3.44 | 4.34-4.61 | 2.08-2.31 | 1.26-1.63 |
| C5 | 14.8-15.5 | 13.0-13.4 | 7.86-8.16 | 7.48-7.64 | 2.87-3.06 | 1.79-2.96 | 0.92-3.86 | 2.9-8.7 | 4.6-8.4 | 4.3-6.3 | 5.67-8.75 | 5.74-7.65 | 2.96-4.06 | 4.21-4.86 | 1.91-2.31 | 1.36-1.61 |
| C6 | 14.4-15.3 | 12.2-13.4 | 8.12-8.21 | 7.61-7.78 | 2.93-3.05 | 2.88-2.97 | 0.81-2.52 | 3.1-6.9 | 4.9-8.4 | 4.1-6.7 | 6.01-8.64 | 5.17-7.63 | 2.74-5.88 | 3.75-4.56 | 1.03-2.59 | 1.38-1.67 |
| C7 | 15.2-16.2 | 12.4-12.8 | 8.11-8.25 | 8.00-8.09 | 3.08-3.02 | 2.88-2.95 | 0.88-3.50 | 1.3-6.6 | 5.0-8.1 | 4.6-7.4 | 5.49-8.16 | 5.50-8.07 | 3.10-3.99 | 3.29-4.20 | 2.03-2.51 | 1.67-1.92 |
| C8 | 11.3-13.2 | 13.8-14.8 | 7.84-8.25 | 7.93-8.00 | 2.94-3.03 | 2.92-2.98 | 1.96-3.31 | 4.4-9.0 | 6.4-8.7 | 5.0-7.7 | 6.23-8.49 | 5.83-8.35 | 3.10-3.99 | 3.71-4.35 | 1.93-2.17 | 1.56-1.92 |
| C9 | 14.0-15.5 | 12.3-12.4 | 8.12-8.22 | 8.04-8.17 | 2.91-3.09 | 2.86-3.00 | 0.63-4.04 | 0.6-7.6 | 5.2-8.1 | 4.0-8.0 | 5.68-7.96 | 5.23-8.02 | 2.75-3.60 | 3.56-4.28 | 1.91-2.22 | 1.42-1.87 |
| C10 | 10.1-11.5 | 11.3-11.6 | 8.11-8.22 | 8.06-8.17 | 2.93-3.14 | 2.88-2.94 | 2.24-3.44 | 3.8-7.9 | 5.4-7.2 | 4.7-7.1 | 5.68-7.63 | 5.50-7.86 | 2.97-3.61 | 3.59-4.42 | 1.91-2.11 | 1.53-1.82 |
| II Stage | ||||||||||||||||
| C1** | 11.6-12.8 | - | 7.71-7.76 | - | 2.81-3.00 | - | 0.67-1.99 | - | 6.0-7.9 | - | 6.64-7.95 | - | 3.08-3.72 | - | 2.14-2.35 | - |
| C2 | 11.2-14.4 | 14.0-15.7 | 8.00-8.14 | 7.67-7.78 | 3.02-3.10 | 2.74-2.85 | 0.87-2.57 | 1.1-3.8 | 5.5-6.9 | 5.6-6.4 | 6.10-6.92 | 6.65-7.40 | 2.96-3.27 | 4.00-4.33 | 2.06-2.28 | 1.63-1.73 |
| C3 | 10.6-12.6 | 15.9-16.1 | 7.87-7.97 | 7.47-7.62 | 2.81-2.98 | 2.53-2.68 | 0.52-1.96 | 0.9-4.0 | 5.0-7.7 | 5.2-6.4 | 6.19-7.93 | 6.22-7.43 | 2.91-3.40 | 3.81-4.33 | 2.13-2.41 | 1.54-1.72 |
| C4 | 12.5-13.5 | 16.6-17.4 | 7.45-7.78 | 7.94-8.02 | 2.58-2.91 | 2.90-2.93 | 0.90-2.08 | 1.9-5.0 | 4.8-5.4 | 5.8-6.5 | 6.12-6.75 | 6.29-7.01 | 2.96-3.18 | 3.86-4.16 | 2.07-2.22 | 1.61-1.71 |
| C9 | - | 13.5-14.7 | - | 7.89-8.03 | - | 2.92-2.99 | - | 2.0-5.1 | - | 4.9-6.4 | - | 5.83-7.00 | - | 3.74-4.13 | - | 1.56-1.70 |
Comparison of effectiveness and coagulation process cost for chosen coagulants (at optimal dosages; red color marks greatest values)
| coagulant | C, %/g Al/m3 | DOC, %/g Al/m3 | UV254, %/gAl,m3 | M, %/g Al/m3 | Cost, PLN/ 1000m3 | |||||
|---|---|---|---|---|---|---|---|---|---|---|
| T I | T II | T I | T II | T I | T II | T I | T II | T I | T II | |
| C1 | 9.0 | - | 3.2 | - | 7.3 | - | 29.2 | - | 21.00 | - |
| C2 | 17.3 | 8.2 | 8.7 | 4.7 | 14.1 | 8.1 | 35.7 | 29.1 | 39.98 | 50.01 |
| C3 | 8.0 | 8.1 | 4.4 | 3.0 | 6.5 | 6.3 | 23.5 | 29.2 | 39.99 | 40.10 |
| C4 | 14.2 | 8.8 | 7.4 | 3.5 | 9.7 | 6.8 | 23.5 | 24.6 | 29.89* | 40.07 |
| C9 | - | 7.5 | - | 4.0 | - | 7.6 | - | 26.5 | - | 121.00 |
Characteristics of used coagulants
| Coagulant | Aluminum(Al+3) % | Chlorides (Cl-) | Alkalinity* | pH | Density, 20°C | Price | Additives |
|---|---|---|---|---|---|---|---|
| % | % | % | - | g/dm3 | PLN/kgAl | - | |
| C1; PAX16 | 8.2 ±0.2 | 19 ±2.0 | 37 ±5 | 1.0 | 1330 | 8.65 | ‐ |
| C2; PAX XL19H | 12.5 ±0.3 | 8.5 ±1 | 85 ±5 | 3.5 | 1340 | 15.20 | – |
| C3; PAX XL3 | 5.3 ±0.3 | 13.0 ±2 | 70 ±5 | 2.5 | 1210 | 14.28 | Na+ ions |
| C4; ALS | 4.2 ±0.2 | - | - | 2.4 | 1310 | 10.86 | – |
| C5; PAX XL10 | 5.0 ±0.2 | 11.5 ±1 | 70 ±10 | 2.5 | 1220 | Na+, SO42- | |
| C6; PAX 19F | 8.5 ±0.3 | 5.5 ±0.5 | 85 ±5 | 4.0 | 1220 | Al./Cl min. 1.6 | |
| C7; PAX 1910 | 10.5 ±0.5 | 6.0 ±0.5 | 85 ±5 | 4.0 | 1280 | ||
| C8; FLOKOR 1,2A | 12.0 ±0.5 | 6.5 ±0.5 | 85 ±5 | 4.2 | 1290 | – | |
| C9;FLOKOR 1ASW | 9.0 ±0.5 | 5.0 ±0.5 | 85 ±5 | 3.8 | 1220 | 37.80 | SO42-:0.8 0.5% |
| C10; FLOKOR 1.5A | 9.0 ±0.5 | 5.5 ±0.5 | 75 ±5 | 4.2 | 1200 |
Ranges of unit effectivenesses
| Parameter | Unit | First test | Second test | ||||||
|---|---|---|---|---|---|---|---|---|---|
| C1 | C2 | C3 | C4 | C2 | C3 | C4 | C9 | ||
| C | %/gAl/m3 | 6.6-10.8 | 10.1-17.8 | 7.0-11.8 | 11.0-17.8 | 7.2-8.8 | 7.0-8.8 | 8.2-9.2 | 6.6-8.7 |
| Tr | %/gAl/m3 | 25.4-31.9 | 14.6-43.9 | 22.4-25.8 | 13.3-30.5 | 20.0-35.8 | 19.7-36.9 | 19.9-34.8 | 19.6-34.7 |
| DOC | %/gAl/m3 | 2.4-6.1 | 6.7-8.7 | 4.4-6.6 | 5.3-8.2 | 3.7-4.9 | 2.4-4.1 | 2.8-4.2 | 4.0-4.6 |
| UV254 | %/gAl/m3 | 5.4-8.8 | 9.8-15.3 | 6.1-8.7 | 7.9-11.9 | 7.2-8.6 | 5.7-6.8 | 6.5-7.1 | 6.6-8.6 |