| b | Balcony depth [m] |
| Cd | Downstand coefficient [-] |
| Ce | Compartment size coefficient [-] |
| d, dw | Smoke layer depth [m] |
| g | Gavity [N/kg] |
| hb | Height of the balcony [m] |
| ho | Height of the opening [m] |
| Θ | Smoke temperature (growth) [K] |
| ρ0 | Ambient air density [kg/m3] |
| mw , mo | Mass flow of smoke at opening [kg/s] |
| σ | Lumped coefficient equal to 2 [-] |
| P | Perimeter of fire [m] |
|
| Convecive heat release rate of the fire [kW] |
|
| Total heat release rate of the fire [kW] |
| Ta | Ambient temperature [K] |
| Y, | Height from the floor, to the bottom of |
| zs | smoke layer [m] |
| Wo | Width of the opening [m] |
The flow of air and smoke in the building depends on multiple parameters. Traditionally we, the Fire Safety Engineers, look at those connected to the process of combustion: the bulk rate of heat release (HRR) and its value related to the area of fire (HRRPUA), the perimeter of the fire, species production and other [1, 2, 3]. These boundaries of the fire are then evaluated with numerical modeling (CFD), which also includes the architecture of the building into the account. The architectural features of the building that may influence the flow of smoke within are: the size of the compartment, openings between compartments and their sizing, presence of downstands and balconies. This philosophical equation of “fire· architecture” defines the design of safety features of the building, including the design of smoke control system. What is fascinating, only the “fire” part of the equation is the traditional area of Fire Safety Engineering discipline, while architecture is most often taken as it is. This paper explores the influence of the building itself, on the flow of smoke, and tries to answer a question if a change in the architecture can alter the requirements for smoke exhaust, and efficiently alter the safety of a building.
A flow of smoke in an undisturbed plume may be considered the simplest case of the mass flow in fire – an axisymmetric plume that moves towards the ceiling, mixing with air and increasing its volumetric flow with the growing height. Despite this being the simplest case of a smoke flow, we still have multiple (often contradicting) complicated methods to describe it [4], and ongoing efforts to choose the best one of them. Once the plume is disturbed by a partition of the building, the flow becomes more complex. Illustration of how the smoke plume changes, when it has to pass an obstacle, is presented in Fig. 1.

The flow of smoke in an undisturbed smoke plume (a) and plume disturbed by a partition of a building – mezzanine (b)
The change of the direction of the smoke causes increased local turbulent entrainment of air, exponentially increasing the mass flow of smoke and air in the plume. The temperature of the smoke lowers and so does the ceiling jet velocity. Due to spilling effect, the physical size (width) of the further spill plume is larger, than the original axisymmetric plume. The combination of these phenomena makes it difficult to estimate the increase of the mass within a spill plume. Despite significant efforts of early [5, 6, 7] and recent [8, 9, 10] studies, the theory of spill plumes is still not complete. A common assumption is that calculation methods for 2D plumes by Harrison and Spearpoint [11] or Morgan [6] can describe the upward flow beyond the edge of projecting balcony, with satisfactory results. However, we do not have a sound model that would determine the influence of openings and horizontal partitions on the unchanneled movement of smoke underneath projecting balconies.
In a smoke control system design for a large volume, multifunctional building – e.g., shopping mall, various scenarios need to be addressed, Fig. 2. Scenario (A) illustrates a case, in which a small compartment is ventilated through a common reservoir. Smoke is allowed to exit the compartment through its opening freely, and then flow through the mall into the exhaust location. This approach is viable for small compartments, without complex shape, and with sufficient opening. The dimensioning of the opening of such compartments and the depth of projecting balconies is the principal topic of this short research paper. Scenario (B) shown in Fig. 2 refers to a situation, in which smoke is generated in a fire located inside the mall – which is often described with axisymmetric plume correlation and does not include a flow through any vertical opening. Scenario (C) is related to a situation in which smoke has to be removed directly in the compartment, in which the fire originates. In this case, the compartment opening acts as a source of fresh air.

Different approaches for smoke control in a shopping mall (own work)
The flow of smoke out of compartments, Fig. 3a is typically constrained by the wall dividing two compartments – the compartment where the fire originates (shop), and typically the mall area. The characteristic features of this wall, related to the flow of smoke, are the size (width and height) of the opening, number of openings, and the presence of downstand, Fig. 4. In this regard, the downstand may be defined as a vertical barrier positioned within the top part of the opening, that forces the change of the direction of the flow of smoke. The presence of such barrier has significant consequences for the movement of smoke, as with the change of the direction additional amount of fresh air is mixed into the smoke flow, essentially increasing the mass within the plume, and lowering its temperature. The second characteristic partition that influences the flow is a horizontal partition, here referred to as the balcony, Fig. 3b. This partition influences two important features of the flow. Firstly, as the smoke moves underneath the balcony, it mixes with the surrounding air, increasing the mass flow and lowering the temperature of the plume. Secondary, as the flow is spreading not only perpendicular to the opening but in all directions, the width of the plume increases with the increasing depth of the balcony. These architectural features of the compartment – (i) the size and shape of the opening, and (ii) the size and shape of the balcony, are among the most influential parameters in the design of smoke control systems in shopping malls and other large volume buildings.

The flow of smoke out of a compartment (a) and underneath a projecting balcony (b)

The difference between a flow through an opening with a downstand (a), and without a downstand (b), source: own work
First equations determining the flow out and into compartment were based on various applications of Bernoulli’s law. The commonly used formula for the estimation of a mass flow through an opening was developed by Hansell and Morgan [7]. Among various variables in this method, there are the width and height of the opening and the “downstand” coefficient (Cd), that takes the value of 0.65 if downstand is present and 1.00 if not.
Another equation was presented in BS documents [12], in which the only variables are the Heat Release Rate (Q), the width of the opening (W0) and height (h0). Harrison [13] attributes this formula to Thomas.
Often used correlation for a straightforward assessment of a smoke flow through an opening is presented in [14]. This relation does not attribute the amount of smoke transported through an opening on its dimensions, but rather doubles the estimation of a smoke flow in axisymmetric plume within the compartment itself.
Some studies condition the amount of smoke within a spill plume on the dimensions of the opening, on its route, but without a direct estimation of the mass flow through the opening. The important ones to mention are:
The movement of smoke will vary substantially for “small” and “large” openings. Small openings in this work are ones, for which the width of opening less or equal to 2 m, and height less or equal to 2.50 m.
The mass of smoke flowing out of a compartment may be calculated with models above. However, the amount of smoke that flows underneath a balcony may only be roughly approximated. Two popular solutions for this problem exist, and both can be considered being unsatisfactory:
-
M. Law’s [15] correlation to add the width of the opening to a depth of balcony, to determine the width of spill plume (and use 2D model later):
(7) -
Morgan’s approximation to multiply the flow of smoke out of the opening by a factor of 2 [6].
(8)
There is a surplus of mathematical correlations that condition the flow of smoke out of the room of origin on the dimensions of the opening. As the author found during his Ph.D. [17], most of these methods are valid only for a narrow set of boundary conditions, that represent architectural conditions similar to the experiment of its origin. For this work on a broad range of opening dimensions, a parametric CFD study was performed. Its goal was to determine the mass flow of smoke in the proximity of building partitions, to determine how these elements influence the flow of smoke.
To investigate the effect of the change in the dimensions of an opening and the depth of the balcony on the mass flow of smoke and air through an opening, the author used two main methods: (i) CFD modelling and (ii) Froude-number physical scale modelling, illustrated in Fig. 5.

Froude-number scale modeling (a) and CFD study (b) on a smoke flow through an opening
The numerical analysis was performed in ANSYS Fluent for 96 different cases, Fig. 6. Turbulence model of choice was RANS k-ε (Standard). The dimensions of the compartment were 20 x 20 x 5 m, and the opening sizes investigated varied between W = (2.00 – 16.00 m; 2.00 m increment) and H = (2.50 – 5.00 m; 0.50 m increment). The analysis was repeated for 2.50 MW and 5.00 MW. Results of the CFD analysis were compared with hand calculations (BS method) and B-Risk zone model. The complete description of the modeling is a part of the Ph.D. thesis available in Polish, which can be shared upon request [17].

Numerical model used in the analysis
An innovative approach to mass flow estimation was used. In the first step, a plane was defined by the opening of the compartment. Then, finite elements which meet the criteria T > T0 + 10°C are chosen from the plane. Among these elements, one that have their flow vector into the compartment, are disregarded. Once only the finite elements containing hot (7) fluid, flowing out of the compartment are chosen, their mass flow is summed to give the final value of the mass flow out of the compartment. This approach is different from commonly used in the modeling and allows better estimation of local influence barriers on the amount of smoke. Illustration of this approach is presented in Fig. 7.

Development of the measurement plane used to estimate the mass flow at the proximity of the investigated partition
For visualization of the flow out of a compartment, a physical 1/10th scale model was created, based on the Froude number scaling law, Fig. 8. A pool fire source of heat was put inside of the model, with approx. HRR = 7.9 kW, which relates to 2.500 kW in fullscale. The compartment size was 2.00 x 2.00 m with 0.5 m height, and its opening can be set to any value between W = (2.00 – 20.00 m) and H = (2.50 – 5.00 m). For visualization of the flows, a source of aerosol was put into the model, however, during measurements of flows and temperatures this apparatus was not used. Comparison of visual results of scale and CFD modeling is shown in Fig. 9.

1/10th physical scale model with variable width and height of the opening

Visual comparison of scale (left) and numerical (right) analysis of a smoke flow through compartment with dimensions 8 x 3.50 m
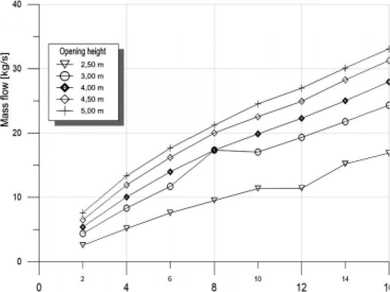
The measured mass flow rate at the opening of the compartment, for variable width and height of the opening, is presented in Figures 10 and 11. It can be noted, that this growth is smaller than as accounted by modern design methodologies. Also, the height seems to have a higher impact than the width of the opening. Qualitative assessment of the simulation results is shown in Fig. 12–15, through plots of mass concentration of smoke and temperature, at the height of 2.00 m above the floor. These results were plotted, after the flow was stabilized (approx. 10 minutes into the simulation), and may represent the average result of the 2.50 MW fire and 5.00 MW in tested compartment.

The mass flow of smoke with changing width of the opening, for various heights of the opening, at HRR = 2.50 MW

The mass flow of smoke with changing width of the opening, for various heights of the opening, at HRR = 5.00 MW

Mass density of the smoke at the height of 2.00 m above the floor, for various sizes of the opening, at steady-state conditions in the compartment, 2.50 MW fire

Temperature of the smoke at the height of 2.00 m above the floor, for various sizes of the opening, at steady-state conditions in the compartment, 2.50 MW fire

Mass density of the smoke at the height of 2.00 m above the floor, for various sizes of the opening, at steady-state conditions in the compartment, 5.00 MW fire

Temperature of the smoke at the height of 2.00 m above the floor, for various sizes of the opening, at steady-state conditions in the compartment, 5.00 MW fire
It must be noted that the results for the smallest openings are not satisfactory, or even life-threatening, while for the large opening the conditions in the compartment were tenable, enabling evacuation and rescue operations despite the lack of any smoke control system. This is important, as using smaller openings is one of the techniques to limit the necessary smoke exhaust capacity in the mall. This technique is incorrect and will be further discussed in this paragraph.
As previously mentioned, the technique to use the smaller opening to limit the amount of smoke that is entering the mall is incorrect. This approach originates from the assumption that the mass flow at the boundary of the balcony will be approximately twice larger than at the opening itself. While smaller opening yields much lower mass flow rates, it must be noted that the increase of the mass of smoke underneath projecting balcony from such an opening is considerably larger than for the large openings – as shown in Tables 1–4.
The increase of mass flow of smoke at the edge of the balcony and at the exit of the room (Mb/Mo), as function of height and width of the opening and for two different HRR’s, balcony depth = 2.00 m
| Height [m] | Width [m] | |||||||
|---|---|---|---|---|---|---|---|---|
| 2.00 | 4.00 | 6.00 | 8.00 | 10.00 | 12.00 | 14.00 | 16.00 | |
| HRR – 2.50 MW | ||||||||
| 2.5 | 3.04 | 2.40 | 2.11 | 1.89 | 1.74 | 1.73 | 1.69 | 1.73 |
| 3.0 | 2.20 | 2.02 | 1.76 | 1.63 | 1.57 | 1.57 | 1.57 | 1.61 |
| 3.5 | 2.21 | 1.70 | 1.53 | 1.32 | 1.42 | 1.42 | 1.45 | 1.48 |
| 4.0 | 1.87 | 1.60 | 1.38 | 1.33 | 1.30 | 1.29 | 1.29 | 1.32 |
| 4.5 | 1.68 | 1.38 | 1.22 | 1.22 | 1.20 | 1.20 | 1.32 | 1.16 |
| 5.0 | 1.54 | 1.25 | 1.16 | 1.11 | 1.08 | 1.06 | 1.06 | 1.06 |
| HRR – 5.00 MW | ||||||||
| 2.5 | 4.67 | 3.29 | 2.70 | 2.38 | 2.21 | 2.39 | 2.02 | 1.99 |
| 3.0 | 2.96 | 2.14 | 1.83 | 1.51 | 1.58 | 1.50 | 1.46 | 1.43 |
| 4.0 | 2.49 | 1.88 | 1.63 | 1.51 | 1.43 | 1.36 | 1.32 | 1.31 |
| 4.5 | 2.21 | 1.68 | 1.48 | 1.37 | 1.29 | 1.23 | 1.22 | 1.20 |
| 5.0 | 1.97 | 1.50 | 1.33 | 1.23 | 1.19 | 1.15 | 1.16 | 1.15 |
The increase of mass flow of smoke at the edge of the balcony and at the exit of the room (Mb/Mo), as function of height and width of the opening and for two different HRR’s, balcony depth = 4.00 m
| Height [m] | Width [m] | |||||||
|---|---|---|---|---|---|---|---|---|
| 2.00 | 4.00 | 6.00 | 8.00 | 10.00 | 12.00 | 14.00 | 16.00 | |
| HRR – 2.50 MW | ||||||||
| 2.5 | 4.34 | 3.38 | 2.76 | 2.36 | 2.10 | 2.00 | 1.87 | 1.89 |
| 3.0 | 3.24 | 2.79 | 2.33 | 2.09 | 1.94 | 1.87 | 1.82 | 1.81 |
| 3.5 | 3.24 | 2.31 | 1.98 | 1.63 | 1.74 | 1.69 | 1.69 | 1.69 |
| 4.0 | 2.73 | 2.10 | 1.74 | 1.62 | 1.55 | 1.51 | 1.49 | 1.48 |
| 4.5 | 2.40 | 1.79 | 1.47 | 1.47 | 1.40 | 1.36 | 1.52 | 1.28 |
| 5.0 | 2.18 | 1.62 | 1.41 | 1.29 | 1.24 | 1.19 | 1.18 | 1.16 |
| HRR – 5.00 MW | ||||||||
| 2.5 | 7.05 | 4.67 | 3.66 | 3.12 | 2.77 | 2.91 | 2.39 | 2.27 |
| 3.0 | 4.48 | 2.98 | 2.43 | 1.86 | 1.98 | 1.83 | 1.76 | 1.68 |
| 4.0 | 3.71 | 2.53 | 2.07 | 1.86 | 1.72 | 1.60 | 1.55 | 1.48 |
| 4.5 | 3.18 | 2.20 | 1.81 | 1.62 | 1.52 | 1.42 | 1.36 | 1.33 |
| 5.0 | 2.81 | 1.94 | 1.62 | 1.43 | 1.35 | 1.29 | 1.26 | 1.24 |
The increase of mass flow of smoke at the edge of the balcony and at the exit of the room (Mb/Mo), as function of height and width of the opening and for two different HRR’s, balcony depth = 6.00 m
| Height [m] | Width [m] | |||||||
|---|---|---|---|---|---|---|---|---|
| 2.00 | 4.00 | 6.00 | 8.00 | 10.00 | 12.00 | 14.00 | 16.00 | |
| HRR – 2.50 MW | ||||||||
| 2.5 | 6.76 | 4.45 | 3.46 | 2.90 | 2.51 | 2.45 | 2.35 | 2.30 |
| 3.0 | 4.48 | 3.64 | 2.91 | 2.53 | 2.31 | 2.19 | 2.10 | 2.09 |
| 3.5 | 4.48 | 3.02 | 2.49 | 1.95 | 2.04 | 1.96 | 1.93 | 1.93 |
| 4.0 | 3.74 | 2.75 | 2.18 | 1.96 | 1.82 | 1.75 | 1.70 | 1.70 |
| 4.5 | 3.27 | 2.31 | 1.77 | 1.77 | 1.65 | 1.57 | 1.73 | 1.43 |
| 5.0 | 2.94 | 2.09 | 1.76 | 1.58 | 1.47 | 1.38 | 1.34 | 1.32 |
| HRR – 5.00 MW | ||||||||
| 2.5 | 7.05 | 4.67 | 3.66 | 3.12 | 2.77 | 2.91 | 2.39 | 2.27 |
| 3.0 | 4.48 | 2.98 | 2.43 | 1.86 | 1.98 | 1.83 | 1.76 | 1.68 |
| 4.0 | 3.71 | 2.53 | 2.07 | 1.86 | 1.72 | 1.60 | 1.55 | 1.48 |
| 4.5 | 3.18 | 2.20 | 1.81 | 1.62 | 1.52 | 1.42 | 1.36 | 1.33 |
| 5.0 | 2.81 | 1.94 | 1.62 | 1.43 | 1.35 | 1.29 | 1.26 | 1.24 |
The increase of mass flow of smoke at the edge of the balcony and at the exit of the room (Mb/Mo), as function of height and width of the opening and for two different HRR’s, balcony depth = 8.00 m
| Height [m] | Width [m] | |||||||
|---|---|---|---|---|---|---|---|---|
| 2.00 | 4.00 | 6.00 | 8.00 | 10.00 | 12.00 | 14.00 | 16.00 | |
| HRR – 2.50 MW | ||||||||
| 2.5 | 7.71 | 5.29 | 4.16 | 3.50 | 3.04 | 2.86 | 2.66 | 2.53 |
| 3.0 | 5.45 | 4.39 | 3.51 | 3.06 | 2.74 | 2.59 | 2.46 | 2.48 |
| 3.5 | 5.45 | 3.73 | 2.98 | 2.34 | 2.43 | 2.32 | 2.26 | 2.25 |
| 4.0 | 4.67 | 3.42 | 2.65 | 2.34 | 2.16 | 2.06 | 1.99 | 1.99 |
| 4.5 | 4.13 | 2.90 | 2.12 | 2.12 | 1.98 | 1.87 | 2.04 | 1.67 |
| 5.0 | 3.78 | 2.67 | 2.16 | 1.95 | 1.80 | 1.67 | 1.61 | 1.56 |
| HRR – 5.00 MW | ||||||||
| 2.5 | 12.35 | 7.70 | 5.69 | 4.76 | 4.11 | 4.17 | 3.23 | 2.94 |
| 3.0 | 8.33 | 5.01 | 3.78 | 2.66 | 2.78 | 2.50 | 2.30 | 2.10 |
| 4.0 | 6.98 | 4.21 | 3.18 | 2.66 | 2.38 | 2.17 | 2.01 | 1.83 |
| 4.5 | 5.88 | 3.60 | 2.77 | 2.32 | 2.11 | 1.93 | 1.78 | 1.64 |
| 5.0 | 5.15 | 3.23 | 2.53 | 2.11 | 1.94 | 1.81 | 1.67 | 1.57 |
It is important to note, that sprinkler effects (which are required in most of the shopping malls in Poland) were not explicitly modelled in this work. This is due to not sufficient validation of such tools for multiphase water/smoke interaction. The sprinkler effects were included partially, through limitation of the size of fires used in the study, which is a common approach used in engineering. It must be noted, that the operation of sprinklers will cause a significant drop of temperature of the smoke, however its effect on the mass flow of the smoke remains unknown.
-
The change of mass flow through a large opening with the change of its dimensions is different than previously addressed in the literature. The largest discrepancies were found for openings that substantially differ than the experimental setups, based on which the analytical models were developed. The best agreement is found for openings with a width of approx. 8 m and height of approx. 3 m, and worst agreement for very small and very large openings.
-
The change of size of an opening may result in substantially different environmental conditions within the compartment. For narrow or low openings, it’s hard to manage tenable conditions within the compartment, while for large openings such conditions can be provided as a steady-state solution (not time dependent). If sufficiently large opening is provided, the conditions within a compartment can be considered tenable, despite lack of any smoke control system within.
-
Limiting the width or height of the opening to minimize the sizing of mall ventilation system is an irresponsible approach, as the small openings generate much larger smoke growth factor (Mb/Mo) than large ones. The popular value of 2.00 of this factor should be applied only for large openings, and numerical investigation for this is recommended.
This paper is an introduction to the topic of the influence of building architecture on the flow of smoke, that is described in a broader way in [17]. The subjects addressed in this dissertation are influence of the location of the fire and size of the compartment on the flow of smoke, the influence of opening dimensions, the existence of a downstand, flow underneath projecting balcony and characteristics of an unchanneled flow.