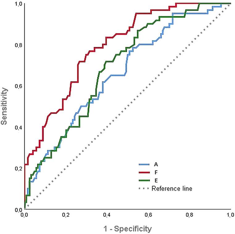
Fig. 1.

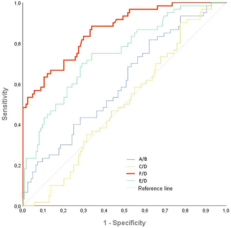
Fig. 2.

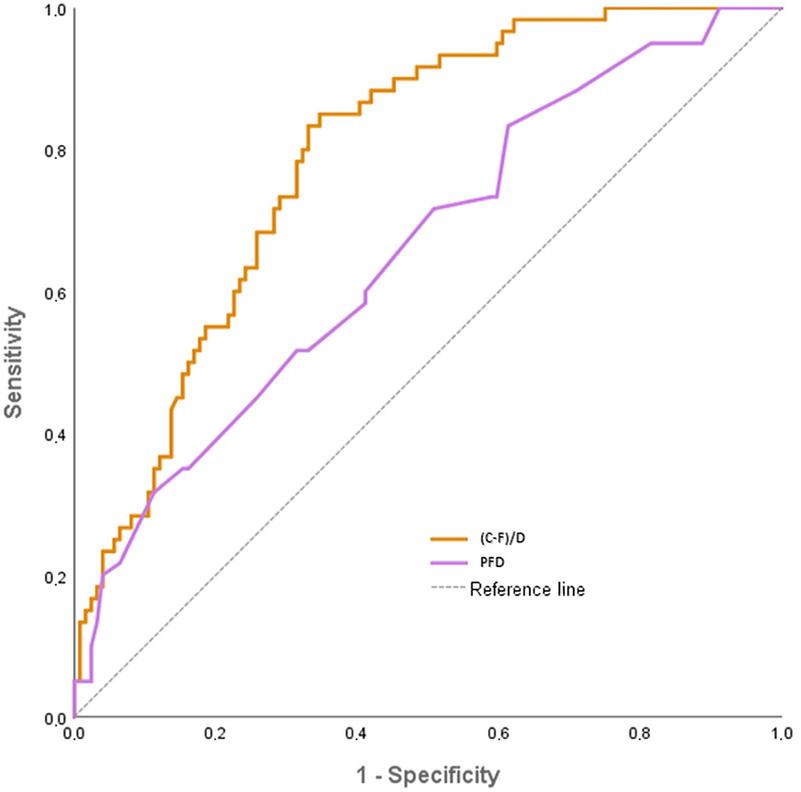
Fig. 3.

Fig. 4.

Fig. 5.

Intra-observer and Inter-observer reliability analysis of the absolute values and the ratios of the measurements
| ICC | 95% CI | p-value | ||
|---|---|---|---|---|
| A | Intra-observer | 0.983 | 0.96–0.99 | <0.0005 |
| Inter-observer | 0.902 | 0.78–0.95 | <0.0005 | |
| B | Intra-observer | 0.964 | 0.92–0.98 | <0.0005 |
| Inter-observer | 0.860 | 0.71–0.93 | <0.0005 | |
| C | Intra-observer | 0.992 | 0.98–1.00 | <0.0005 |
| Inter-observer | 0.914 | 0.82–0.96 | <0.0005 | |
| D | Intra-observer | 0.989 | 0.98–1.00 | <0.0005 |
| Inter-observer | 0.944 | 0.88–0.97 | <0.0005 | |
| E | Intra-observer | 0.992 | 0.98–1.00 | <0.0005 |
| Inter-observer | 0.900 | 0.79–0.95 | <0.0005 | |
| F | Intra-observer | 0.991 | 0.98–1.00 | <0.0005 |
| Inter-observer | 0.929 | 0.83–0.97 | <0.0005 | |
| F/D | Intra-observer | 0.988 | 0.98–1.00 | <0.0005 |
| Inter-observer | 0.922 | 0.82–0.97 | <0.0005 | |
| E/D | Intra-observer | 0.983 | 0.97–0.99 | <0.0005 |
| Inter-observer | 0.869 | 0.73–0.94 | <0.0005 | |
| (C–F)/D | Intra-observer | 0.980 | 0.96–0.99 | <0.0005 |
| Inter-observer | 0.801 | 0.59–0.91 | <0.0005 | |
ROC analysis of the statistically important measurements, the calculated ratios and PFD, as discriminators between type I and type II hips
| AUC | SE | 95% CI | p-value | Cut-off point | Sensitivity | Specificity | PPV | NPV | ||
|---|---|---|---|---|---|---|---|---|---|---|
| A* | 0.662 | 0.042 | 0.58 | 0.74 | <0.005 | 7.010 | 75% | 50% | – | – |
| F* | 0.792 | 0.033 | 0.73 | 0.86 | <0.005 | 5.905 | 75% | 70% | 55% | 85% |
| E* | 0.691 | 0.039 | 0.61 | 0.77 | <0.005 | 8.47 | 72% | 60% | – | – |
| A/B** | 0.606 | 0.044 | 0.52 | 0.69 | 0.020 | 1.61 | 68% | 48% | – | – |
| C/D** | 0.502 | 0.043 | 0.42 | 0.59 | 0.965 | 0.86 | 58% | 45% | – | – |
| F/D** | 0.863 | 0.028 | 0.81 | 0.92 | <0.005 | 0.400 | 83% | 71% | 60% | 88% |
| E/D** | 0.747 | 0.038 | 0.67 | 0.82 | <0.005 | 0.555 | 70% | 71% | 53% | 83% |
| (C–F)/D*** | 0.790 | 0.033 | 0.73 | 0.86 | <0.005 | 0.450 | 82% | 67% | 54% | 88% |
| PFD*** | 0.658 | 0.043 | 0.57 | 0.74 | <0.005 | 2.88 | 52% | 68% | – | – |
Comparison of the demographic and clinical characteristics of the study groups
| Variables* | n | % | Hip type | p-value | ||
|---|---|---|---|---|---|---|
| Gender | Male | 86 | 46.7 | Type I (n = 124) | Type II (n = 60) | |
| Female | 98 | 53.3 | ||||
| Mode of delivery | Vaginal birth | 71 | 38.6 | 48 (38.7%) | 23 (38.3%) | 1,000 |
| Caesarean section | 113 | 61.4 | 76 (61.3%) | 37 (61.7%) | ||
| Positive family history for DDH** | No | 168 | 91.3 | 114 (91.9%) | 54 (90%) | 0.781 |
| Yes | 16 | 8.7 | 10 (8.1%) | 6 (10%) | ||
| Breech presentation | No | 172 | 93.5 | 113 (91.1%) | 59 (98.3%) | 0.107 |
| Yes | 12 | 6.5 | 11 (8.9%) | 1 (1.7%) | ||
| Reduced amniotic fluid at delivery*** | No | 157 | 85.3 | 103 (83.1%) | 54 (90%) | 0,269 |
| Yes | 27 | 14.7 | 21 (16.9%) | 6 (10%) | ||
| Clinical examination at birth**** | Negative | 178 | 96.7 | 120 (96.8%) | 58 (96.7%) | 1,000 |
| Positive | 6 | 3.3 | 4 (3.2%) | 2 (3.3%) | ||
| Gestational age at delivery (weeks) | Mean ± SD (min–max) | 38.4 ± 1.5 (33–41) | 7.83 ± 1.93 | 7.40 ± 1.78 | 0.378a | |
| Birth weight (g) | 3,129.2 ± 415.4 (1,880–4,250) | 3,146.94 ± 439.66 | 3,092.52 ± 360.66 | 0.406 | ||
| Age at examination (weeks) | 7.61 ± 1.91 (5.57–14.57) | 7.83 ± 1.93 | 7.40 ± 1.78 | 0.148a | ||
Multiple logistic regression analysis
| OR1 | 95% CI | p-value | ||
|---|---|---|---|---|
| F | ||||
| >5.91 | 1.00 | – | – | <0.0005 |
| <5.91 | 7.78 | 3.57 | 17.00 | |
| F/D | ||||
| >0.40 | 1.00 | – | – | <0.0005 |
| <0.40 | 10.64 | 4.84 | 23.43 | |
| (C–F)/D | ||||
| <0.450 | 1.00 | – | – | <0.0005 |
| >0.450 | 10.15 | 4.53 | 22.74 | |
Comparison of measurements and calculated ratios between the two hip types
| Variables (mm)* | Hip type | p-value | |
|---|---|---|---|
| I (n = 124) | II (n = 60) | ||
| A** | 7.13 ± 0.78 | 6.67 ± 0.73 | <0.005 |
| B** | 4.36 ± 0.51 | 4.39 ± 0.45 | 0.693 |
| C** | 12.69 ± 1.03 | 12.78 ± 1.02 | 0.554 |
| D** | 15.02 ± 1.04 | 15.08 ± 1.05 | 0.714 |
| F** | 6.43 ± 0.88 | 5.51 ± 0.68 | <0.005 |
| E** | 8.70 ± 0.91 | 8.08 ± 0.78 | <0.005 |
| PFD*** | 2.60 ± 0.50 | 2.90 ± 0.47 | <0.005 |
| A/B | 1.66 ± 0.30 | 1.54 ± 0.24 | 0.020a |
| C/D | 0.85 ± 0.05 | 0.85 ± 0.03 | 0.731 |
| F/D | 0.43 ± 0.04 | 0.37 ± 0.04 | <0.005 |
| E/D | 0.58 ± 0.05 | 0.54 ± 0.05 | <0.005 |
| (C–F) / D | 0.42 ± 0.07 | 0.48 ± 0.04 | <0.005 |