Developmental dysplasia of the hip (DDH) is the common term utilized to refer to a broad spectrum of perinatal disorders of the hip, ranging from immaturity/mild dysplasia to heavy dysplasia and, eventually, a decentered/dislocated hip joint(1). DDH is the most prevalent congenital musculoskeletal disorder which, if left untreated, may lead to permanent disability(2).
The introduction of ultrasonography for the diagnosis and management of DDH during the 1980s, by the team of Professor Reinhard Graf (Stolzalpe, Austria), heavily influenced the natural course of the disorder, making early diagnosis and treatment feasible(3). The technique described by Graf has evolved over the past years, becoming more accurate and effective(4,5,6).
Graf’s diagnostic algorithm is based on the categorization of the hips into four major types(7): type I and II hips are “centered” hips, while type III and IV hips are “decentered” (dislocated) hips. Using morphological criteria, a distinction between the centered and decentered hips is easily made.
Given the potential variability of the alpha angle measurement, differentiation between type I and type II hips may become complicated when the alpha angle approaches 60°. There is always an issue of whether to treat or not when the alpha angle is >55°, but less than 60°. In those “borderline” cases, morphological differentiation may be difficult, the decision depends on the infant’s age, and repetition of measurements has been proposed(8). Variability of measurements of the alpha angle, calculated as inter- or intra-observer agreement(9,10,11,12), technical restrictions and inexperience of the examiner(13,14) may contribute to diagnostic uncertainty, resulting in unnecessarily repeated scans, increased diagnostic costs, and parental anxiety, or even worse, in over- or under treatment of type II hips.
The aim of our study was to identify complementary sonographic indices (measurements or ratios), which may support the distinction between type I and type II hips, improve the accuracy of sonographic examinations and, consequently, facilitate correct diagnosis and management.
During our 2021 and 2022 local hip screening program, a total of 1,452 hips were examined. Only hips with an alpha angle ≥50° were included in the study.
All Graf type II hips (n = 60), prospectively identified during this screening program, were included. A control group of Graf type I hips, randomly selected and matched according to the gestational age at the time of delivery, birth weight, mode of delivery, and age at the time of the examination, was also formed (n = 124).
This study was approved by the local research ethics committee (6364/23-3-2021). Informed consent was obtained from the parents or legal guardians of all the neonates/infants examined.
All hip scans were performed with the use of a linear probe (12–2 MHz, 4 cm width), a commercially available examination cradle, and a probe handle, strictly following the diagnostic procedure steps (including quality evaluation), as described in detail by Graf(7,13).
Angle measurements (alpha, beta) and hip typing were performed at the time of the examination. Additional measurements were done at a local workstation, with the use of the free version of the MicroDicom viewer (https://www.microdicom.com/) by two independent readers.
Within each image, three lines and six distances were drawn and calculated, respectively (Fig. 1):
L1: “base line”(7).
L2 and L3: lines drawn parallel to L1. L2 begins from the “bony rim” (most lateral point of the concavity of the bony part of the acetabulum) and L3 begins from the medial border of the “lower limb of the os ilium”.
Distance A (A): distance from the medial border of the “lower limb of the os ilium”, to the “bony rim”, measured tangential to the bony part of the acetabular roof.
Distance B (B): distance from the middle, medial border of the labrum to the “bony rim”.
Distance C (C): distance from L3 to the outer border of the labrum, which is a measure of the depth of the acetabular roof (including the fibrocartilaginous labrum).
Distance D (D): distance from L3 to the outermost border of the femoral head, which is a reproducible measure of the width of the femoral head.
Distance E (E): distance from L3 to L1, which is a measure of the width of the part of the femoral head that lies medial to the silhouette of the os ilium.
Distance F (F): width of the “bony roof”, defined as the width of the bony part of the acetabulum.

A. Demonstration of the lines and measurements which were evaluated. B. Schematic representation of major anatomical landmarks. FH – femoral head, L – labrum, IFL – ischiofemoral ligament, BR – bony rim; LLOI – lower limb of the os ilium
Completion of these measurements was followed by the calculation of the following ratios:
A/B (bony part of the acetabular roof/cartilaginous part of the acetabular roof).
C/D (depth of the acetabular roof, including the labrum/measured width of the femoral head).
F/D (width of the “bony roof”/measured width of the femoral head).
E/D (width of the part of the femoral head that lies medial to the silhouette of the os ilium/measured width of the femoral head).
(C–F)/D (cartilaginous part of the acetabular roof, including the labrum/measured width of the femoral head).
Measurements of the PFD were performed with a slight probe movement, anterior in relation to the “standard plane”(7), to visualize the pubis (Fig. 2).

Measurement of the pubofemoral distance (PFD)
Values of quantitative variables were presented using means ± standard deviation, while qualitative variables were presented using frequencies (n) and percentages (%). Normal distribution of data was evaluated using the Kolmogorov-Smirnov test.
Selection of the appropriate type I control group was performed by matched propensity score analysis. A type I/type II, 2/1 matched sample was used. The factors used for determining group homogeneity were gestational age (in weeks) and birth weight, type of delivery, and age at the time of the sonographic examination. A standardized difference below 0.2 was selected for the homogeneity-identification procedure.
Comparisons of the demographic and clinical data between the groups were performed with the T-test for independent samples, the Mann-Whitney test for the data which do not follow a normal distribution for quantitative variables, and Fisher’s exact test for qualitative variables.
Correlation between quantitative variables was studied using Pearson’s correlation coefficient.
The evaluation of the predictive value of the somatometric indices (linear measurements or ratios) in differentiating between the two hip types (type I vs. type II) was done with the methodology of ROC analysis, by calculating the area under the curve (AUC). The cut-off points of the indices, which maximize the sum of sensitivity and specificity, were estimated.
Logistic regression, including the demographic and clinical variables, combined with the ratios of the somatometric indices in the model, was utilized to examine the impact of the ratios on the differentiation between hip types I vs. II, adjusted for demographic and clinical variables.
Data analysis and statistical tests were performed using the SPSS version 21.00 software package (IBM Corporation, Somers, NY, USA). All statistical tests were two-sided. Statistical significance was defined at a p-value <0.05.
In accordance with the aforementioned inclusion criteria, our study included a total of 184 hips: a group of 124 type I hips, and a group of 60 type II hips. The demographic and clinical characteristics are collectively shown in Tab. 1. Comparative analysis of the recorded variables did not prove any statistically significant differences between the two groups (Tab. 1).
Comparison of the demographic and clinical characteristics of the study groups
| Variables* | n | % | Hip type | p-value | ||
|---|---|---|---|---|---|---|
| Gender | Male | 86 | 46.7 | Type I (n = 124) | Type II (n = 60) | |
| Female | 98 | 53.3 | ||||
| Mode of delivery | Vaginal birth | 71 | 38.6 | 48 (38.7%) | 23 (38.3%) | 1,000 |
| Caesarean section | 113 | 61.4 | 76 (61.3%) | 37 (61.7%) | ||
| Positive family history for DDH** | No | 168 | 91.3 | 114 (91.9%) | 54 (90%) | 0.781 |
| Yes | 16 | 8.7 | 10 (8.1%) | 6 (10%) | ||
| Breech presentation | No | 172 | 93.5 | 113 (91.1%) | 59 (98.3%) | 0.107 |
| Yes | 12 | 6.5 | 11 (8.9%) | 1 (1.7%) | ||
| Reduced amniotic fluid at delivery*** | No | 157 | 85.3 | 103 (83.1%) | 54 (90%) | 0,269 |
| Yes | 27 | 14.7 | 21 (16.9%) | 6 (10%) | ||
| Clinical examination at birth**** | Negative | 178 | 96.7 | 120 (96.8%) | 58 (96.7%) | 1,000 |
| Positive | 6 | 3.3 | 4 (3.2%) | 2 (3.3%) | ||
| Gestational age at delivery (weeks) | Mean ± SD (min–max) | 38.4 ± 1.5 (33–41) | 7.83 ± 1.93 | 7.40 ± 1.78 | 0.378a | |
| Birth weight (g) | 3,129.2 ± 415.4 (1,880–4,250) | 3,146.94 ± 439.66 | 3,092.52 ± 360.66 | 0.406 | ||
| Age at examination (weeks) | 7.61 ± 1.91 (5.57–14.57) | 7.83 ± 1.93 | 7.40 ± 1.78 | 0.148a | ||
DDH – developmental dysplasia of the hip
Values of quantitative variables are presented using means ± standard deviation, while qualitative variables are presented using frequencies (n) and percentages (%)
Includes parents, siblings, and grandparents
Information retrieved by parents
Refers to an increased range of motion, asymmetric thigh skinfolds, and limited abduction. Information was retrieved from the medical file of the neonate/infant and refers to the clinical examination directly after birth
Mann-Whitney test
Intra-observer reliability was excellent for all the measurements/ratios. Inter-observer reliability for the measurement of B and the calculated E/D and (C–F)/D ratios was good; and for the measurements of A, C, D, E, F, and the calculated F/D ratio was excellent (Tab. 2).
Intra-observer and Inter-observer reliability analysis of the absolute values and the ratios of the measurements
| ICC | 95% CI | p-value | ||
|---|---|---|---|---|
| A | Intra-observer | 0.983 | 0.96–0.99 | <0.0005 |
| Inter-observer | 0.902 | 0.78–0.95 | <0.0005 | |
| B | Intra-observer | 0.964 | 0.92–0.98 | <0.0005 |
| Inter-observer | 0.860 | 0.71–0.93 | <0.0005 | |
| C | Intra-observer | 0.992 | 0.98–1.00 | <0.0005 |
| Inter-observer | 0.914 | 0.82–0.96 | <0.0005 | |
| D | Intra-observer | 0.989 | 0.98–1.00 | <0.0005 |
| Inter-observer | 0.944 | 0.88–0.97 | <0.0005 | |
| E | Intra-observer | 0.992 | 0.98–1.00 | <0.0005 |
| Inter-observer | 0.900 | 0.79–0.95 | <0.0005 | |
| F | Intra-observer | 0.991 | 0.98–1.00 | <0.0005 |
| Inter-observer | 0.929 | 0.83–0.97 | <0.0005 | |
| F/D | Intra-observer | 0.988 | 0.98–1.00 | <0.0005 |
| Inter-observer | 0.922 | 0.82–0.97 | <0.0005 | |
| E/D | Intra-observer | 0.983 | 0.97–0.99 | <0.0005 |
| Inter-observer | 0.869 | 0.73–0.94 | <0.0005 | |
| (C–F)/D | Intra-observer | 0.980 | 0.96–0.99 | <0.0005 |
| Inter-observer | 0.801 | 0.59–0.91 | <0.0005 | |
ICC – intraclass correlation coefficient
Intra-rater reliability of Examiner 1 was evaluated with the ICC (3,1). Inter-rater reliability was evaluated with the ICC (2,1).
ICC (2.1): Two-way random effects, absolute agreement, single measurement
ICC (3,1): Two-way mixed effects, absolute agreement, single measurement
The comparative analysis of the measurements and calculated ratios between type I and type II hips is summarized in Tab. 3.
Comparison of measurements and calculated ratios between the two hip types
| Variables (mm)* | Hip type | p-value | |
|---|---|---|---|
| I (n = 124) | II (n = 60) | ||
| A** | 7.13 ± 0.78 | 6.67 ± 0.73 | <0.005 |
| B** | 4.36 ± 0.51 | 4.39 ± 0.45 | 0.693 |
| C** | 12.69 ± 1.03 | 12.78 ± 1.02 | 0.554 |
| D** | 15.02 ± 1.04 | 15.08 ± 1.05 | 0.714 |
| F** | 6.43 ± 0.88 | 5.51 ± 0.68 | <0.005 |
| E** | 8.70 ± 0.91 | 8.08 ± 0.78 | <0.005 |
| PFD*** | 2.60 ± 0.50 | 2.90 ± 0.47 | <0.005 |
| A/B | 1.66 ± 0.30 | 1.54 ± 0.24 | 0.020a |
| C/D | 0.85 ± 0.05 | 0.85 ± 0.03 | 0.731 |
| F/D | 0.43 ± 0.04 | 0.37 ± 0.04 | <0.005 |
| E/D | 0.58 ± 0.05 | 0.54 ± 0.05 | <0.005 |
| (C–F) / D | 0.42 ± 0.07 | 0.48 ± 0.04 | <0.005 |
Values of quantitative variables are presented using the mean ± standard deviation
Refer to Image 1 for explanation
Pubofemoral distance
Mann-Whitney test
The bony part of the acetabulum, evaluated both by the Distances A and F, was significantly wider in type I hips, compared to type II hips. The part of the femoral head which lies medially to the silhouette of the os ilium (Distance E) was also significantly wider in type I hips, compared to type II hips. In contrast, Pubofemoral Distance (PFD) was significantly larger in type II hips, compared to type I hips (all p-values <0.05). The F/D ratio and E/D ratio were significantly higher in type I hips, compared to type II hips (all p-values were <0.05). The (C–F)/D ratio was significantly higher in type II hips, compared to type I hips (p-value <0.05).
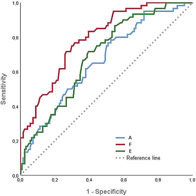
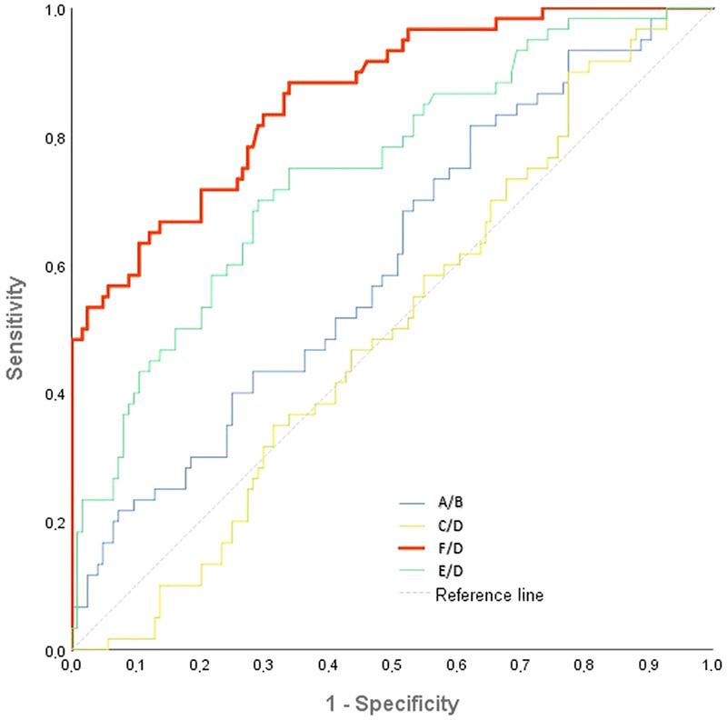
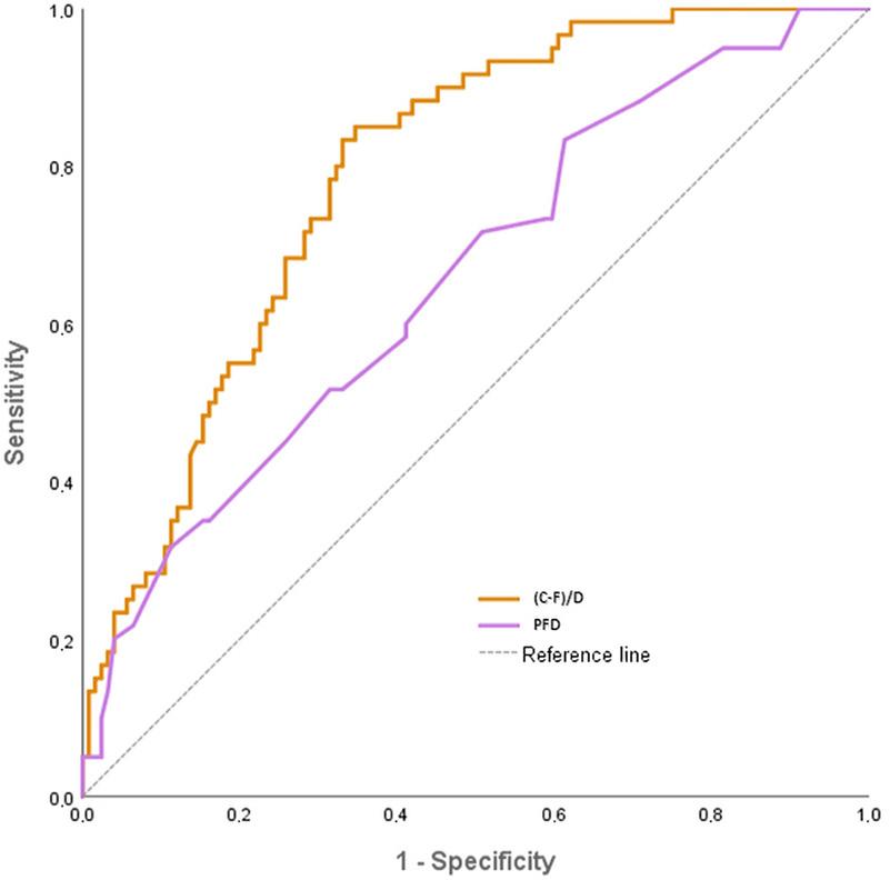
The statistical power of the measured distances and calculated ratios in differentiating between type I and type II hips are demonstrated in Tab. 4 and in Fig. 3, Fig. 4, and Fig. 5.
ROC analysis of the statistically important measurements, the calculated ratios and PFD, as discriminators between type I and type II hips
| AUC | SE | 95% CI | p-value | Cut-off point | Sensitivity | Specificity | PPV | NPV | ||
|---|---|---|---|---|---|---|---|---|---|---|
| A* | 0.662 | 0.042 | 0.58 | 0.74 | <0.005 | 7.010 | 75% | 50% | – | – |
| F* | 0.792 | 0.033 | 0.73 | 0.86 | <0.005 | 5.905 | 75% | 70% | 55% | 85% |
| E* | 0.691 | 0.039 | 0.61 | 0.77 | <0.005 | 8.47 | 72% | 60% | – | – |
| A/B** | 0.606 | 0.044 | 0.52 | 0.69 | 0.020 | 1.61 | 68% | 48% | – | – |
| C/D** | 0.502 | 0.043 | 0.42 | 0.59 | 0.965 | 0.86 | 58% | 45% | – | – |
| F/D** | 0.863 | 0.028 | 0.81 | 0.92 | <0.005 | 0.400 | 83% | 71% | 60% | 88% |
| E/D** | 0.747 | 0.038 | 0.67 | 0.82 | <0.005 | 0.555 | 70% | 71% | 53% | 83% |
| (C–F)/D*** | 0.790 | 0.033 | 0.73 | 0.86 | <0.005 | 0.450 | 82% | 67% | 54% | 88% |
| PFD*** | 0.658 | 0.043 | 0.57 | 0.74 | <0.005 | 2.88 | 52% | 68% | – | – |
AUC – area under the curve; SE – standard error; CI – confidence interval
Smaller values of the test result variable indicate stronger evidence favoring type II hips
Larger values of the test result variable indicate stronger evidence favoring type II hips
Smaller values of the test result variable indicate stronger evidence favoring type I hips

ROC analysis of the statistically important measurements (A, F, E) as discriminators between type I and type II hips

ROC analysis of the calculated ratios (indices) A/B, C/D, F/D, E/D as discriminators between type I and type II hips

ROC analysis of (C–F)/D index and PFD as discriminators between type I and type II hips
The highest value of the area under the curve (AUC) was found for F [AUC: 0.792, sensitivity: 75%, specificity: 70%, positive predictive value (PPV): 55%, negative predictive value (NPV): 85%]. A multiple logistic regression model with enter method of demographic and clinical variables combined with F measurement was employed to examine the impact of F as a discriminator between type I and type II hips, adjusted for demographic and clinical variables. Lower values of F [OR (95% CI): 7.78 (3.6–17.0); p <0.0005] were associated with type II hips (Tab. 5).
Multiple logistic regression analysis
| OR1 | 95% CI | p-value | ||
|---|---|---|---|---|
| F | ||||
| >5.91 | 1.00 | – | – | <0.0005 |
| <5.91 | 7.78 | 3.57 | 17.00 | |
| F/D | ||||
| >0.40 | 1.00 | – | – | <0.0005 |
| <0.40 | 10.64 | 4.84 | 23.43 | |
| (C–F)/D | ||||
| <0.450 | 1.00 | – | – | <0.0005 |
| >0.450 | 10.15 | 4.53 | 22.74 | |
OR – odds ratio; CI – confidence interval
Adjusted for mode of delivery, gestational age at delivery, reduced amniotic fluid at delivery, family history, clinical examination, birth weight, and age at the time of examination
Statistical analysis of the calculated ratios proved that the most important predictive variables for Graf type II hips were:
F/D [AUC (95% CI): 0.863(0.81–0.92); p <0.005 with a cut-off point of 0.400 that maximizes sensitivity (83%) and specificity (71%)], and (C–F)/D [AUC (95% CI): 0.790 (0.73–0.86); p <0.005 with a cutoff point of 0.450 that maximizes sensitivity (82%) and specificity (67%)].
A multiple logistic regression model with enter method of demographic and clinical variables combined with the F/D and (C–F)/D ratios was employed to examine their impact as discriminators between type I and type II hips, adjusted for demographic and clinical variables. Lower values of the F/D ratio [OR (95% CI): 10.64 (4.8–23.4); p <0,0005] and higher values of the (C–F)/D ratio [OR (95% CI): 10.15 (4.5–22.7); p <0.0005] were associated with type II hips (Tab. 5).
Based on the results of the current study, the measurement with the best performance as a discriminative index between type I and type II hips was the width of the bony part of the acetabular roof (F). Neonates/infants with an F measurement <5.91 mm carry a 7.8 times higher probability to have type II hips, compared to the neonates/infants with an F measurement >5.91 mm. Consequently, the F measurement offers a quick and reliable discriminator between type I and type II hips, despite the limitation that, being a linear measurement, this width is expected to be age-dependent and thus bound to change, as the age, measured in weeks, increases.
On the other hand, simultaneous growth of linear measurements is more likely not to affect the calculated ratios/indexes of the hip joint. The index with the best performance was the F/D ratio. With a cutoff value of 0.400, the sensitivity and specificity were significantly high (83% and 71%, respectively). A calculated OR of 10.64 strongly favors the diagnosis of type II hip, when the F/D ratio is <0.40 (10.6 times higher probability for this hip to be type II hip over type I hip). Consequently, according to our statistical analysis, the F/D ratio may be used as a valuable complementary index to aid the differentiation between type I and type II hips, when this is important for decision management (for example, doubts by inexperienced operators, no possibility for re-examination, regardless of reasons).
Remarkable performance was also documented for the (C–F)/D ratio: with a cut-off value of 0.450, the sensitivity and specificity were significantly high (82% and 67%, respectively). A calculated OR of 10.15 strongly favors the diagnosis of type II hips, when the (C–F)/D ratio is >0.450 (10.15 times higher probability for this hip to be type II hip over type I hip), thus offering another valuable supportive index for the differentiation between type I and type II hips.
It should be emphasized that all our measurements were performed on the “standard plane”, as defined by Graf(7). “Out-of-plane” measurements were only used for the measurement of PFD, the performance of which, in our study, was poor: with a cut-off value of 2.88 mm, sensitivity was 52% and specificity was 68%. Consequently, the utility of PFD to differentiate between type I and type II hips is very limited and not recommended.
The main limitation of our study was the fact that patients in our cohort were mostly younger than 12 weeks and older than six weeks of age. Consequently, we are not sure whether our calculations would be valid in different age groups. However, this is not a significant limitation, since the age group which we studied actually forms the “target group” of the technique. Despite the limited number of examinations, our statistical analysis firmly proved that our sample was adequate to draw safe conclusions. Further studies are required for the evaluation of the prognostic value of the measurements/indices, both for borderline and dysplastic hips.
In conclusion, the width of the bony part of the acetabular roof (F), the F/D ratio (width of the bony part of the acetabular roof/width of the femoral head), and the (C–F)/D ratio (width of the cartilaginous part of the acetabular roof, including the labrum/width of the fem-oral head) are newly introduced indices on Graf’s “standard scan plane” images, which further quantify the differentiating features between type I and type II hips. They reflect numerically the relative proportions of the bony and the cartilaginous parts of the acetabular roof and may be employed as useful additional indices for the differentiation between centered hips, requiring treatment or reexamination, and immature hips, which may be safely discharged. These indices may be used to increase the diagnostic certainty of the examiner, especially in borderline cases and, consequently, limit unnecessary re-examinations or treatment.