In recent years, energy conversion devices taking into account environmental aspects have attracted attention of numerous researchers working on improving their efficiency. Solid oxide fuel cells (SOFCs) play an important role as power sources for conversion of chemical energy directly into electrical energy from a fuel, being free from pollution and environmentally friendly in their nature. In SOFCs, an electrolyte is sandwiched between cathode and anode and is chemically stable to convert oxygen ions at cathode side by reducing oxidant and oxidation of fuel at the anode side as shown in Fig. 1a. Yttrium stabilized zirconia has been considered as a state of art oxide ion conducting electrolyte operated at higher temperatures (800 °C to 1000 °C) due to its higher ionic conductivity and ability to convert the energy with higher efficiency [1]. However, higher temperatures operation may lead to several problems for those electrolyte materials in fuel cells, such as high material cost, low performance and thermal mismatch between the interconnectors. In order to overcome these problems, the operating temperatures of the fuel cell must be reduced to intermediate temperatures (between 500 °C to 700 °C) by choosing a suitable alternative electrolyte with high ionic conduction. Lowering the operating temperatures of electrolyte will ultimately extend the lifetime of fuel cells and the replacement of expensive ceramic interconnects by stainless steel may be possible for lower temperatures operation [2]. The oxygen-ion conducting electrolytes are a good choice to achieve high ionic conductivity in solid ceramics operated at lower temperatures. For example, doped ceria, doped bismuth oxide, lanthanum gallate, barium cerate, are the best choice of electrolyte for IT-SOFCs [3–5]. The ionic conductivity in such electrolytes depends only on the operating temperature and dopant concentration. Doped ceria with fluorite structure exhibits higher ionic conductivity at lower temperatures, because the introduction of the aliovalent cation, such as gadolinium or samarium with similar ionic radius, into cerium site creates anion vacancies for the diffusion of oxygen ions through the crystal lattice according to Kroeger-Vink notation:

Solid oxide fuel cell (a) operation concept and (b) perovskite structure.
However, the doped ceria undergoes reduction process at higher temperatures which tends to release oxygen by reduction of cerium from Ce4+ ions to Ce3+ ions and increases the electronic conductivity. In addition, this type of ceria based electrolyte can have a poor mechanical strength and a low oxygen partial pressure may reduce ionic conductivity, what will result in the decrease of the open cell voltage [6]. So, an alternate electrolyte with increased ionic conductivity and voltage for larger efficiency of energy conversion during fuel cell operation is needed. Gadolinium doped barium cerate (BCG) electrolyte with perovskite structure of ABO3 group shown in Fig. 1b has been considered as one of the candidates for solid oxide fuel cell applications, because the reduction of cerium is insignificant in BCG phase and also enhances the mixed ionic conduction (H+, O2−) at low operating temperatures. So, the BCG phase will have high ionic conductivity due to the fast migration of oxide ions through BCG phase at lower operating temperatures (Fig. 1a) and also due to creation of increased number of oxygen vacancies at intermediate temperatures [7, 8].
In the present research work, gadolinium doped barium cerate electrolyte has been prepared by wet chemical method. The main advantage of chemical route is the possibility to achieve BCG nanoparticles with required orthorhombic perovskite phase. The nanosized particles can be distributed uniformly in the individual phases or form a channel of single phase enabling the ion conduction through BCG electrolyte which, in turn, increases the total conductivity in such composites [7, 9].
The solid electrolyte was sintered using a simple microwave technique in minimum soaking time. The benefit of using microwave oven is the possibility to enhance densification of the solid electrolyte in relatively shorter processing time, when compared with the conventionally sintered electrolyte [10]. The higher ionic conductivity with lower electronic conduction in solid electrolyte can be achieved in BCG nanocomposite due to minimum loss of barium content during microwave sintering that results in high open cell voltage in SOFC operated at intermediate temperatures (500 °C to 700 °C) [11, 12].
The powder samples were characterized using DSC-TGA standard instrument (SDT Q600 V8.3 Build 101 thermal analyzer) for identifying the most appropriate calcination temperature. XRD analysis was carried out using a Philips PW-1729 X-ray diffractometer to identify the phase purity of the as-prepared powder and the pellets were pressed at 14.7 MPa and sintered at 1400 °C using a microwave oven. Structural analysis was carried out with the help of Hitachi S3400N SEM analyzer and HRTEM using JEOL JEM 2100 high resolution transmission electron microscope.
The gadolinium doped barium cerate (Ce0.8Gd0.2O1.9 + xBaO (x = 0.1 and 0.4) powder has been synthesized via chemical route (co-precipitation technique). Barium nitrate (99.5 % purity) purchased from Sigma-Aldrich, and cerium nitrate hexahydrate (99.5 %), Sigma-Aldrich, Italy, were taken separately and dissolved in 30 mL of distilled water. Gadolinium oxide (99.9 %, Sigma-Aldrich, Italy) was dissolved in concentrated nitric acid by heating in a separate beaker, and stirred well until the powder got completely dissolved. The two solutions were then slowly mixed together by adding them drop by drop into ammonium hydroxide solution to form a precipitate with the pH > 11 and again stirred thoroughly at 1000 rpm in a magnetic stirrer for about 30 min. PEG (10 % polyethylene glycol) solution was added to the mixer as an excipient (filler) to reduce the agglomeration and was kept in a water bath till the gelation process was completed. The obtained precipitant gel was kept in a hot air oven for drying at 80 °C for about 8 h to 9 h [7, 13]. The flakes obtained from the mixture were calcined at 900 °C for 4 h to get the dry powder. DSC-TGA analysis was carried out for the as-prepared powder to identify the temperature of phase formation and XRD patterns were recorded for determining the crystallinity and phase purity of the as-prepared powder samples.
Green pellets were obtained from the as-prepared powder samples by uniaxial pressing at 14.7 MPa using a steel die of 12 mm diameter. Polyvinyl alcohol (PVA) was added as a binder to increase the green strength of the pellets [7, 14, 15]. The prepared pellets were taken in an alumina boat for sintering in the microwave furnace at 1400 °C for 20 min in air. The sintered pellets were then characterized using XRD, SEM, HRTEM and EDS.
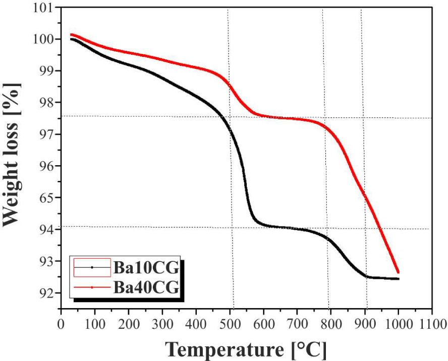
From the TGA curve in Fig. 2 it can be seen that the phase formation for BCG powder has been completed at 900 °C and the material crystallized into orthorhombic perovskite structure. Two sharp endothermic peaks are observed at 540 °C and 800 °C. The first endothermic peak may be due the combustion of residual organic species with 5.87 % weight loss and the other one is mainly due to the decomposition of barium carbonate with 1.68 % weight loss [10]. In the temperatures range of 900 °C to 1005 °C there is no sign of any weight loss, what indicates the finishing point of phase formation for the barium cerate electrolyte powder [16]. Hence, from the TGA analysis, the calcination temperature of the BCG composite electrolyte powder was identified, and further the as-prepared powder was calcined at 900 °C for 4 h to crystallize it into orthorhombic perovskite structure.

DSC-TGA curve for Ba10CG and Ba40CG calcined at 900 °C.
XRD patterns for the pellets with the composition xBaCe0.8G0.2O3−δ (BCG), sintered at 1400 °C are shown in Fig. 3. All the major reflection peaks are observed for the peaks corresponding to the characteristic interplanar spacings between (0 0 2), (0 2 2), (4 0 0), (2 1 3), (0 0 4), (6 1 1) planes and have been indexed to orthorhombic perovskite structure of barium cerate matching with the JCPDS Card No. 082-2373.

XRD patterns for (a) Ba10CG and (b) Ba40CG pellets sintered at 1400 °C.
XRD pattern for the BCG pellet with the composition Ce0.8Gd0.2O1.9 + xBaO (x = 0.1) shows that some of the peaks have lower intensity which indicates the lower degree of crystallinity of BaCeO3 that has not fully reacted with the host ceria lattice because of insufficient energy for phase formation. This may be due to the loss of barium content, when sintered at 1400 °C. But, in contrast, the XRD pattern of the BCG pellet with Ce0.8Gd0.2O1.9 + xBaO (x = 0.4) sintered at 1400 °C, has higher percentage of barium content and shows all the major reflection peaks with higher intensity, mainly at (0 0 2) plane which corresponds to orthorhombic perovskite structure [15]. Higher intensity peaks for barium cerate at x = 0.4 indicate its good crystallinity. The crystallite size for the prepared sample was calculated to be around 30 nm using Debye-Scherrer method:
The presented results confirm the phase formation in the solid solution of barium cerate and are in a good agreement with the earlier reported values and with JCPDS data presented in the literature [14, 15]. When compared with the earlier work reported by Venkatasubramanian et al. [14], sintering temperature of the pressed pellets was reduced from 1550 °C to 1400 °C using the microwave heating. Thus, the microwave sintering technique has reduced the sintering temperature of the solid electrolyte which resulted in reduced percentage of barium content loss in barium cerate.
The surface micrograph of BaCe0.8G0.2O3−δ was studied by SEM analysis using Hitachi S3400N SEM analyzer for obtaining Secondary Electron (SE) images and to know the development of the microstructures (Fig. 4). The pellet sintered at 1400 °C for x = 0.4 shows a well-developed nanograins with lower porosity which are closely packed. Such structure results in lower grain boundary resistance for a dense electrolyte with relative density of 93 %, measured by liquid displacement method, and higher ionic conductivity [15]. From the SEM results the average grain size was found to be about 0.32 µm which is in a good agreement with XRD results.

SEM images for (a) Ba10CG and (b) Ba40CG pellet sintered at 1400 °C.
As reported Venkatasubramanian et al. [14], the area of dark region increases with an increase in mole fraction of barium. In Fig. 4a, few enclosed pores on the surface may be due to the loss of barium at 10 mol.% content (x = 0.1), but in Fig. 4b, well-developed grain boundaries with the absence of pores on the surface and the presence of interlocking grains are observed. Such structure can increase the flow of oxygen ions through the lattice of barium cerate electrolyte with lower grain boundary resistance at cathode-electrolyte interface [17]. Thus, sintering of BCG nanocomposite electrolyte with the aid of microwaves results in the development of fine nanograins which enhances mobility of oxide ions and ensures high oxygen-ion conductivity.
HRTEM images of the BCG powder sample calcined at 900 °C taken using JEOL JEM 2100 high resolution transmission electron microscope, are shown in Fig. 5. It is well observed that the particle size of BCG powder is very small in nature and the size of crystalline nanoparticles is around 38 nm. The size of the crystallites in the as-prepared powder sample obtained from XRD analysis was found to be close to the value obtained from HRTEM.

High resolution TEM images for BCG powder calcined at 900 °C.
All the images show spherical structured nanoparticles with high crystallinity [11]. The selected area electron diffraction (SAED) pattern shows the perovskite phase with all major reflection peaks which were indexed, accordingly [7, 14]. It exhibits the superimposition of all the bright reflection spots, such as (0 0 2), (0 2 2), (4 0 0), (2 1 3), (0 0 4), (6 1 1), corresponding to orthorhombic phase with equal lattice arrangement of BCG nanoparticles [15].
The stoichiometric phase and the presence of Ba, Ce, and Gd precursor elements were identified and confirmed qualitatively by EDS analysis as shown in Fig. 6. The co-precipitation method used to prepare the solid solution resulted in complete precipitation of Gd in BaCeO3 phase [7, 14]. The presence of Cu in EDX may be due to the grid in TEM analyzer.

Energy dispersion spectra of BCG powder calcined at 900 °C.
Gadolinium doped barium cerate electrolyte has been successfully synthesized via wet chemical technique and its sintering temperature has been reduced by using microwave technique. The structural analysis of the powder samples prepared by this method and calcined at 900 °C has shown the desired orthorhombic perovskite structure. HRTEM results gave the approximate particle size of 38 nm. The microstructural investigation revealed that the sample sintered at 1400 °C showed well-developed grains with few pores on the surface. Hence, the microwave assisted sintering of BCG electrolyte has been successful in producing orthorhombic perovskite phase at 900 °C. It is noteworthy to underline that the sintering temperature of barium cerate electrolyte has been reduced from 1550 °C to 1400 °C with the minimum soaking time of 20 min. Therefore, this relatively simple technique for synthesis of BCG nanocomposite electrolyte can be useful in solid oxide fuel cell applications.