Wheat yield is a complex trait influenced by the genetic composition of the plant, the environmental conditions, and the interaction between genotype and environment (Guberac et al., 2008). Wheat yield is conventionally expressed in terms of three components, the spike number per unit area, the grain number per spike, and the grain weight, and there is a consistent negative correlation between these yield components (Bavec et al., 2002; Slafer, 2003). Wheat crops generally respond to increased N rates with higher tiller density and spike density, more grains per spike, and a reduced thousand-kernel weight (TKW) (Bruckner and Morey, 1988). The negative impact of N-fertilization on the TKW probably resulted from the negative correlation between the yield components (Donaldson et al., 2001). The efficiency of fertilizers in terms of yield surpluses is better in favorable years with good water supplies (Wardlaw and Moncur, 1995; Neugschwandtner et al., 2015b). Yield components are further influenced by sowing date (Neugschwandtner et al., 2015a), by N fertilization, and in intercrops by sowing ratios (Neugschwandtner and Kaul, 2014).
Harvest index (HI) is a genetically determined trait and also depends on environmental conditions and the adaptation of the given genotype. Different opinions exist regarding the impact of N fertilization strategy on HI (Sticksel et al., 2000). Data in the literature show that the effect of N fertilizer on HI increases with N-fertilizer application until the optimum N supply is reached, after which it decreases. However, the optimum N dose required to achieve maximum HI is debatable. Nevertheless, there is broad agreement that excess N application causes a decline in HI (Webb et al., 1998).
Ziadi et al. (2010) found a strong positive correlation between the nitrogen (N) doses and the chlorophyll content of the flag leaf (SPAD (soil plant analysis development) index). The determination of leaf chlorophyll content with a chlorophyll meter accurately indicated plant N status, allowing N fertilizer requirements to be accurately determined (Peltonen et al., 1995). The SPAD index was found to be the most reliable index of wheat N status for modeling purposes (Vidal et al., 1999).
With global warming, winter wheat growth conditions and production potential are changing; thus adjustments are necessary to optimize input levels under new environments (Lazauskas et al., 2012).
The objective of the present work was to study in a long-term experiment (i) the effect of N fertilization and genotype on the yield and yield components of winter wheat and (ii) the relationship between grain yield and yield-determining factors in different years.
The effect of nitrogen fertilization on the yield and yield components of various wheat cultivars was studied in a small-plot long-term experiment with two factors arranged in a split-plot design in four replications. The experiment was carried out in the years 2006/2007, 2007/2008, and 2008/2009 at the Agricultural Institute of the Centre for Agricultural Research in Martonvásár. Seeds were sown on 19 October 2006, 17 October 2007, and 16 October 2008. In the long-term crop rotation experiment, the crop sequence was pea, winter wheat, maize, and spring barley. The dose of N fertilizer formed the main plot and the wheat cultivar the subplots. The doses of N fertilizer (calcium ammonium nitrate) were 0, 80, 160, and 240 kg N · ha–1 (designated as N0, N80, N160, and N240, respectively) and were applied in two splits: one-third before sowing and the other two-third in early spring at tillering. All the plots were given the same doses of phosphorus and potassium (120 kg · ha–1 of each). The three Martonvásár wheat genotypes sown in the subplots were Mv Toborzó (extra early), Mv Palotás (early), and Mv Verbunkos (mid-early). The soil properties in the 0- to 20-cm layer were determined at the end of the experiment (Table 1). The ploughed layer of the chernozem soil, a humus-containing loam, was slightly acidic, with moderate supplies of phosphorus and good supplies of potassium. The NO2+NO3 nitrogen content of the soil increased in response to N fertilization and was significantly higher in the N240 treatment than in N0. By the ammonium acetate-lactate (AL) method, the P2O5 content of the soil was 236–282 mg · kg–1 and the AL-K2O content was 205–233 mg · kg–1; no significant differences were observed between the N treatments.
Effect of N treatment on the soil properties in the 0- to 20-cm layer at the end of the experiment
Tabelle 1. Einfluss der N-Düngung auf die Bodeneigenschaften in der Tiefe von 0–20 cm am Ende des Versuches
| N fertilization | Humus content | pH value | Total N | AL-P2O5(1) | AL-K2O(2) |
|---|---|---|---|---|---|
| kg · ha–1 | [%] | (KCl) | [mg · kg–1] | [mg · kg–1] | [mg · kg–1] |
| 0 | 2.74a | 6.86ab | 7.88b | 282.0a | 205.0a |
| 80 | 2.94a | 6.55b | 9.94ab | 236.3a | 221.5a |
| 160 | 2.81a | 7.02a | 11.18ab | 247.8a | 206.3a |
| 240 | 2.96a | 6.76ab | 13.32a | 259.5a | 233.3a |
The rainfall quantity and the temperature during the growing season (September–July) for each year are shown in Figure 1. In the dry year of 2007, the total rainfall during the growing season was only at one-third (200 mm) compared to 2008 and 2009 (638 and 617 mm, respectively). The rainfall distribution was also unfavorable in 2007, while in 2008 and 2009, both the quantity and distribution of the rainfall were satisfactory (with the exception of the lack of rain in April 2009). The mean temperature during the growing season was higher in 2007 (12°C) than in the other two years (10°C), which could be attributed partly to the very mild winter.
Figure 1
Monthly precipitation and mean air temperature at the experimental site (2007–2009)
Abbildung 1. Monatliche Niederschlagsmengen und Durchschnittstemperaturen am Versuchsstandort (2007–2009)

The leaf chlorophyll index of the flag leaves (SPAD) was measured during flowering with the aid of an SPAD 502 chlorophyll meter (Minolta Corp., Tokyo, Japan), which records optical density measurements at two wavelengths and converts them into digital signals and then into an SPAD index (Minolta, 1989).
Harvest was performed on 2 July 2007, 30–31 July 2008, and 10–13 July 2009. The number of spikes per square meter, the grain number per spike, the TKW, and the HI were determined on plant samples taken from a 1-m row (45–55 plants) before harvest. TKW was determined by counting and weighing 200-kernel samples. HI was calculated as the ratio of the grain yield to the total aboveground biomass and expressed as a percentage.
The statistical analysis of the data was performed using the GenStat 16 program. Correlation analysis was used to determine the relationship between grain yield, grain number, TKW, SPAD, and HI. The correlations between the yield, as dependent variable, and the two yield components (grain number per square meter and TKW), as independent variables, were determined for each year, cultivar, and N treatment using linear regression analysis for two independent variables. Linear regression analysis was also used to reveal the relationship between yield and HI and between yield and SPAD index.
The effect of N fertilization and the cultivar on the yield was significant in all the years. The results of analysis of variance are presented in Table 2. The interaction between N and cultivar was not significant in any of the years. The grain yields for the N treatments and cultivars in each year are illustrated in Figure 2. In all the years, the in 2007 (6.25 and 6.21 t · ha–1, respectively) and for Mv yield was lowest in treatment N0 (averaging 5.45 t · ha–1), Verbunkos in 2008 and 2009 (7.63 and 7.51 t · ha–1, re-with a significant increase in the N80 treatment in 2007 spectively). Averaged over the treatments, the grain yield and 2008 (6.45 and 7.99 t · ha–1, respectively) and in the was significantly higher in 2008 and 2009 (7.28 and 7.11 N160 treatment in 2009 (7.44 t · ha–1). Higher N doses had no further significant yield-increasing effect. The effect of the cultivar on the yield was significant in all three years, with the highest yields for Mv Palotás and Mv Verbunkos in 2007 (6.25 and 6.21 t · ha–1, respectively) and for Mv Verbunkos in 2008 and 2009 (7.63 and 7.51 t · ha–1, respectively). Averaged over the treatments, the grain yield was significantly higher in 2008 and 2009 (7.28 and 7.11 t · ha–1, respectively) than in 2007 (6.11 t · ha–1).
Figure 2
Effect of N fertilization and genotype on the grain yield of wheat for each N treatment and cultivar in the three years (vertical lines in the columns represent LSD5%)
Abbildung 2. Einfluss der N-Düngung und des Genotyps auf den Kornertrag von Weizen für jede N-Stufe und Sorte in den drei Versuchsjahren (vertikale Linien in den Spalten repräsentieren LSD5%)

Analysis of variance for the two-factor, split-plot experiment
Tabelle 2. Varianzanalyse für den zwei-faktoriellen Versuch mit Split-Plot-Design
| Factor | d.f. | 2007 | 2008 | 2009 | |||
|---|---|---|---|---|---|---|---|
| MS | F-value | MS | F-value | MS | F-value | ||
| Replication | 3 | 4.1269 | 7.90 | 0.4331 | 1.08 | 1.2185 | 1.74 |
| Fertilization | 3 | 7.9836 | 15.28(3) | 21.4013 | 53.59(4) | 7.2848 | 10.39(5) |
| Residual (a) | 9 | 0.5225 | 4.28 | 0.3993 | 1.82 | 0.7009 | 3.87 |
| Variety | 2 | 0.6941 | 5.68(6) | 1.5543 | 7.06(7) | 2.8560 | 15.78(8) |
| Fertilization × Variety | 6 | 0.1252 | 1.03(9) | 0.1691 | 0.77(10) | 0.2666 | 1.47(11) |
| Residual (b) | 24 | 0.1221 | 0.2200 | 0.1810 | |||
| Total | 47 | 0.981 | 1.670 | 0.925 | |||
Significance levels
The effect of N fertilization and genotype on the yield components (spike number per square meter, grain number per spike, and TKW) for the three years is presented in Table 3. Nitrogen fertilization had a significant effect on the spike number per square meter, the grain number per spike (except in 2007), and the TKW. The spike number per square meter and the grain number per spike were highest in treatments N160 and N240, while TKW dropped significantly in the N160 and N240 treatments. The cultivar effect was significant in 2007 and 2008 for the spike number per square meter and in all the years for the grain number per spike and the TKW. The spike number of Mv Toborzó (639) was greater than that of Mv Palotás (607) or Mv Verbunkos (603). Among the cultivars, Mv Verbunkos had the highest grain number per spike (31.6), followed by Mv Palotás (28.2) and Mv Toborzó (21.7). The highest TKW was recorded for Mv Toborzó (52.5 g). The spike number per square meter was considerably higher in the dry year of 2007 (693) than in 2008 and 2009 (596 and 560, respectively). At the same time, the grain number per spike was almost three times higher in 2008 and 2009 (35.5 and 33.4 grains per spike, respectively) than in 2007 (12.6 grains per spike). TKW was higher in 2007 (47.8 g) than in 2008 (44.0 g) or 2009 (44.7 g).
Effect of N fertilization on the yield components of wheat cultivars (2007–2009)
Tabelle 3. Einfluss der N-Düngung auf die Ertragskomponenten der Weizensorten (2007–2009)
| N dose | 2007 | 2008 | 2009 | ||||||
|---|---|---|---|---|---|---|---|---|---|
| Toborzó | Palotás | Verbunkos | Toborzó | Palotás | Verbunkos | Toborzó | Palotás | Verbunkos | |
| Spike number per square meter | |||||||||
| N0 | 655.8 | 620.8 | 639.0 | 493.8 | 512.8 | 487.5 | 469.0 | 415.2 | 425.5 |
| N80 | 685.0 | 674.5 | 644.0 | 583.2 | 614.2 | 527.0 | 521.0 | 535.2 | 543.8 |
| N160 | 745.0 | 703.8 | 693.2 | 689.0 | 570.8 | 715.8 | 610.2 | 697.2 | 560.0 |
| N240 | 823.8 | 699.2 | 726.5 | 753.2 | 612.2 | 593.2 | 643.2 | 624.8 | 680.8 |
| LSD values | |||||||||
| N | 77.59(12) | 62.12(13) | 38.16(14) | ||||||
| V | 46.13(15) | 31.62(16) | 40.10(17) | ||||||
| N×V | 102.66(18) | 76.67(19) | 73.14(20) | ||||||
| Grain number per spike | |||||||||
| N0 | 10.72 | 12.35 | 13.05 | 14.65 | 20.62 | 22.30 | 14.23 | 21.23 | 21.20 |
| N80 | 8.72 | 14.75 | 15.02 | 28.12 | 39.32 | 46.10 | 28.53 | 36.92 | 37.30 |
| N160 | 8.45 | 14.35 | 14.80 | 34.72 | 46.35 | 48.92 | 32.92 | 38.62 | 46.20 |
| N240 | 8.20 | 14.45 | 16.47 | 32.32 | 41.70 | 50.62 | 38.42 | 37.72 | 47.02 |
| LSD values | |||||||||
| N | 1.525(21) | 2.865(22) | 2.870(23) | ||||||
| V | 1.180(24) | 2.539(25) | 2.143(26) | ||||||
| N×V | 2.345(27) | 4.832(28) | 4.314(29) | ||||||
| Thousand kernel weight (g) | |||||||||
| N0 | 56.20 | 44.87 | 46.07 | 53.10 | 42.27 | 40.05 | 54.67 | 45.05 | 41.45 |
| N80 | 54.82 | 44.32 | 43.57 | 54.60 | 42.80 | 42.10 | 53.05 | 45.32 | 40.70 |
| N160 | 53.12 | 47.25 | 45.82 | 50.05 | 38.82 | 39.40 | 49.57 | 41.22 | 38.30 |
| N240 | 52.20 | 43.92 | 40.97 | 50.22 | 37.37 | 37.30 | 48.82 | 39.60 | 38.30 |
| LSD values | |||||||||
| N | 1.704(30) | 1.235(31) | 2.886(32) | ||||||
| V | 1.559(33) | 0.980(34) | 1.981(35) | ||||||
| N×V | 2.941(36) | 1.930(37) | 4.124(38) | ||||||
Significance levels
The HI was significantly influenced by the N treatments in all three years and by the cultivar in 2008 and 2009 (Table 4). In 2009, the N treatment × cultivar interaction was also significant. The value of HI rose in response to N treatment and was highest in the N160 treatment (43.8%). Among the cultivars, Mv Palotás achieved a HI of 43.3%, with values of 42.8% for Mv Verbunkos and 40.6% for Mv Toborzó. HI was highest in 2009 (43.9%), while the values in 2007 and 2008 were similar to each other (41.8 and 41.2%, respectively).
Effect of N treatments on the harvest index (HI %) of the wheat cultivars (2007–2009)
Tabelle 4. Einfluss der N-Düngung auf den Harvestindex (HI %) der Weizensorten (2007–2009)
| N dose | 2007 | 2008 | 2009 | ||||||
|---|---|---|---|---|---|---|---|---|---|
| Toborzó | Palotás | Verbunkos | Toborzó | Palotás | Verbunkos | Toborzó | Palotás | Verbunkos | |
| N0 | 38.50 | 38.75 | 36.75 | 38.50 | 41.25 | 40.00 | 40.75 | 43.25 | 44.00 |
| N80 | 39.25 | 43.50 | 42.00 | 40.00 | 43.00 | 42.00 | 41.50 | 44.75 | 42.75 |
| N160 | 44.25 | 46.00 | 43.00 | 40.75 | 42.75 | 42.75 | 41.50 | 47.00 | 45.75 |
| N240 | 42.00 | 41.50 | 44.00 | 40.25 | 41.50 | 41.50 | 40.25 | 46.50 | 49.25 |
| LSD values | |||||||||
| N | 2.112(39) | 1.160(40) | 1.560(41) | ||||||
| V | 1.727(42) | 1.627(43) | 1.392(44) | ||||||
| N×V | 3.369(45) | 2.829(46) | 2.644(47) | ||||||
Significance levels
The SPAD index exhibited significant differences as the result of N treatment in all three years (Table 5), being lowest in the N0 treatment (45.1). The value was significantly higher in the N80 treatment (54.2) in 2007 and in the N80 and the N160 treatment in 2008 and 2009 (53.8). The cultivar effect was also significant in all three years. Averaged over N treatments and years the highest chlorophyll content was recorded for Mv Verbunkos, with a SPAD index of 52.8, followed by Mv Palotás (51.5) and Mv Toborzó (50.7). The mean SPAD index was 52.9 in 2007, 51.0 in 2008, and 51.1 in 2009.
Effect of N fertilization on the chlorophyll content (SPAD index) of the flag leaf in the individual wheat cultivars (2007–2009)
Tabelle 5. Einfluss der N-Düngung auf den Chlorophyllgehalt (SPAD Index) des Fahnenblattes der Weizensorten (2007–2009)
| N dose | 2007 | 2008 | 2009 | ||||||
|---|---|---|---|---|---|---|---|---|---|
| Toborzó | Palotás | Verbunkos | Toborzó | Palotás | Verbunkos | Toborzó | Palotás | Verbunkos | |
| N0 | 43.45 | 45.08 | 45.28 | 45.80 | 45.85 | 46.85 | 46.67 | 42.82 | 43.77 |
| N80 | 51.78 | 54.63 | 56.10 | 48.90 | 49.45 | 50.52 | 51.07 | 49.95 | 53.10 |
| N160 | 53.58 | 57.10 | 57.60 | 52.08 | 54.25 | 55.12 | 53.57 | 52.82 | 54.90 |
| N240 | 54.00 | 58.25 | 58.23 | 52.90 | 54.53 | 55.35 | 54.23 | 53.80 | 56.62 |
| LSD values | |||||||||
| N | 2.896(48) | 0.443(49) | 1.290(50) | ||||||
| V | 1.260(51) | 0.606(52) | 0.874(53) | ||||||
| N×V | 3.381(54) | 1.056(55) | 1.830(56) | ||||||
Significance levels
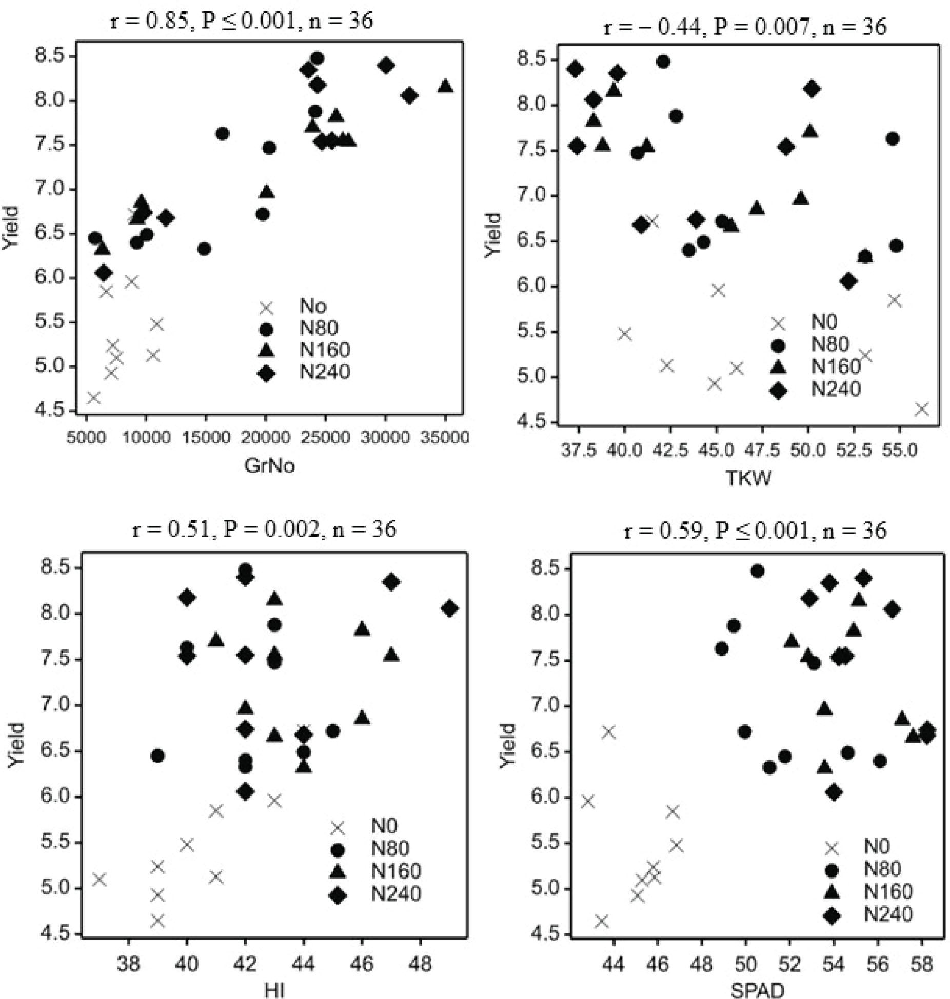
The correlations between the yield and the grain number, TKW, HI, and SPAD index are illustrated for each N treatment in Figure 3, which shows that there was a highly significant (P<0.001) positive correlation between the yield and the grain number per square meter (r=0.85) and between the yield and the SPAD index (r=0.59). A negative correlation was detected between the yield and the TKW (r=–0.44), and a positive correlation between the yield and the HI (r=0.51), significant at the P<0.01 level.
Figure 3
Correlation between yield (t · ha–1) and grain number per square meter (GrNo), yield and thousand kernel weight (TKW), yield and harvest index (HI), and yield and chlorophyll content of the flag leaf (SPAD)
Abbildung 3. Korrelation zwischen dem Ertrag (t ·ha–1) und der Kornzahl pro m2 (GrNo), dem Ertrag und dem Tausendkorngewicht (TKW), dem Ertrag und dem Ernteindex (HI) und dem Ertrag und dem Chlorophyllgehalt des Fahnenblattes (SPAD)

Regression analysis was performed to find regression between two yield components on the yield for each N treatment. Significant relationships were found in the case of N fertilization but not for year or cultivar. Averaged over the three years, the effect of N fertilization was not significant in the control (N0) treatment but was significant in all the other N treatments (Table 6).
Results of regression analysis for two independent variables (grain number per square meter, thousand kernel weight) on the yield of winter wheat for each N treatment
Tabelle 6. Ergebnisse der Regressionanalyse von zwei unabhängigen Variablen (Kornzahl pro m2, Tausendkorngewicht) auf dem Ertrag von Winterweizen für jede N-Stufe
| Parameter | N0 | N80 | N160 | N240 | ||||
|---|---|---|---|---|---|---|---|---|
| Estimate | t-value | Estimate | t-value | Estimate | t-value | Estimate | t-value | |
| Constant | 6.05 | 1.07(57) | 5.21 | 2.49(58) | 6.67 | 6.69(59) | 5.81 | 4.00(60) |
| Grain number | 5.702 × 10−5 | 0.22(61) | 9.86 × 10−5 | 3.04(62) | 5.45 × 10-5 | 5.20(63) | 8.26 × 10−5 | 4.62(64) |
| TKW | −0.023 | −0.29(65) | 0.006 | 0.17(66) | −0.011 | −0.60(67) | −0.06 10–2 | −0.02(68) |
| R2% = 15.8 | R20/0% = 54.9 | R20/0% = 88.6 | R20/0% = 76.9 | |||||
| F-value <1 | F-value = 5.87(69) | F-value = 32.08(70) | F-value = 14.32(71) | |||||
Significance levels
In the N0 treatment, neither of the yield components had a significant effect. The grain number per square meter had a significant effect in plots with N fertilizer application, but the effect of TKW was not significant in any of the N treatments. Of the two yield components, the grain number per square meter had a decisive effect on the yield, based on the standardized regression coefficient (β) (data not shown). The adjusted R² values indicated that 54.9% of the variance in yield could be attributed to the two yield components in the N80 treatment, 88.6% in the N160 treatment, and 76.9% in the N240 treatment (Table 6).
Linear regression analysis showed that the SPAD index was responsible for 92.4% of the yield variance in the dry year of 2007 (at the P<0.001 level) but only 60.5% in 2008 and 61.5% 2009 (at the P<0.01 level) when conditions were more favorable. Averaged over the three years, the HI explained 23.4% of the yield variability at the P<0.05 level.
In the dry year, higher rates of N fertilizer had no yield-enhancing effect. Even in favorable years, the maximum yield was already obtained with low to medium N rates (80 or 160 kg · ha–1), while the highest dose (240 kg · ha–1) did not lead to further yield increases in any of the years. A substantial year effect was observed for the yield components. The spike number per square meter was considerably higher in the dry year than that in the favorable years. The mild weather in the winter and early spring of 2007 had a stimulating effect on vegetative development and spike formation. However, the greater spike number did not result in a higher yield level, as the drought that began in spring greatly reduced the number of grains per spike. This was in agreement with the findings of Jamieson et al. (1995), who reported that drought during flowering led to poorer seed setting and, consequently, a lower grain number per spike. Changes in one yield component can be compensated by the others, which results in minimum change in grain yield (Beuerlein and Lafever, 1989). Under drought stress conditions in 2007, spike number and TKW moderated to a certain extent the crop losses arising from the lower grain number per spike. As also reported by other authors (Bavec et al., 2002; Slafer, 2003), a negative correlation was found between the yield components grain number and TKW.
TKW was determined primarily by the genotype, in agreement with data in the literature (Avecedo et al., 2002). In the present work, the extra early cultivar (Mv Toborzó) had the greatest TKW. Nevertheless, the year also influences the TKW, with the highest value in the dry year. N fertilization also had a significant effect on the TKW, which was highest in the unfertilized control and declined as the N dose increased. In the work of White and Wilson (2006) both N fertilization and cultivar were found to have a significant effect on the HI, though no interaction was found between the two factors. This was confirmed in the present work, as N fertilization had a significant effect on HI in all three years, while the cultivar effect was only significant in the favorable years, and an interaction between the two factors was found in 2009. Correlation analysis revealed a positive correlation between the grain yield and HI. Sticksel et al. (2000) applied N doses of 110, 140, and 170 kg·ha–1, and they reported the highest HI value for winter wheat in the 110 kg ·ha–1 N treatment, while in the present work, a significant increase in HI was detected up to a nitrogen rate of 160 kg ·ha–1, and the value only declined at the highest dose of 240 kg ·ha–1. The present finding that N fertilization had a significant effect on the SPAD index during flowering contradicted the results of Szabó (2014) but was in agreement with those of Ziadi et al. (2010). The cultivar also had a significant effect on the SPAD index in all the years, confirming the findings of Szabó (2014). In agreement with earlier data in the literature (Slafer et al., 1994; Sayre et al., 1997), a close positive correlation was detected between the yield and the grain number per square meter and a negative correlation between the yield and the TKW. The results of correlation analysis were confirmed by regression analysis. These new data on the N fertilizer responses of wheat genotypes could be used in various yield simulation models.
Each plot was given 120 kg · ha–1 of each P2O5 and K2O fertilizer.
Each plot was given 120 kg · ha–1 of each P2O5 and K2O fertilizer.
P<0.001
P<0.001
P<0.01
P<0.01
P<0.01
P<0.001
= nonsignificant
= nonsignificant
= nonsignificant
P<0.05
P<0.001
P<0.001
P<0.05
P<0.01
= nonsignificant; V = variety
= nonsignificant; V = variety
P<0.001
P<0.05
= nonsignificant; V = variety
P<0.001
P<0.001
P<0.001
P<0.001
P<0.001
P<0.05
= nonsignificant; V = variety
P<0.05
P<0.01
P<0.001
P<0.01
P<0.001
P<0.001
P<0.001
= nonsignificant; V = variety
= nonsignificant; V = variety
= nonsignificant; V = variety
P<0.001
P<0.05
P<0.01
= nonsignificant; V = variety
P<0.05
P<0.001
= nonsignificant; V = variety
= nonsignificant; V = variety
P<0.05
P<0.001
P<0.001
P<0.001
P<0.001
P<0.001
P<0.001
= nonsignificant; V = variety
= nonsignificant; V = variety
P<0.01
= nonsignificant; TKW = thousand kernel weight.
P<0.05
P<0.001
P<0.01
= nonsignificant; TKW = thousand kernel weight.
P<0.05
P<0.01
P<0.01
= nonsignificant; TKW = thousand kernel weight.
= nonsignificant; TKW = thousand kernel weight.
= nonsignificant; TKW = thousand kernel weight.
= nonsignificant; TKW = thousand kernel weight.
P<0.05
P<0.001
P<0.01