Figure 1

Figure 2

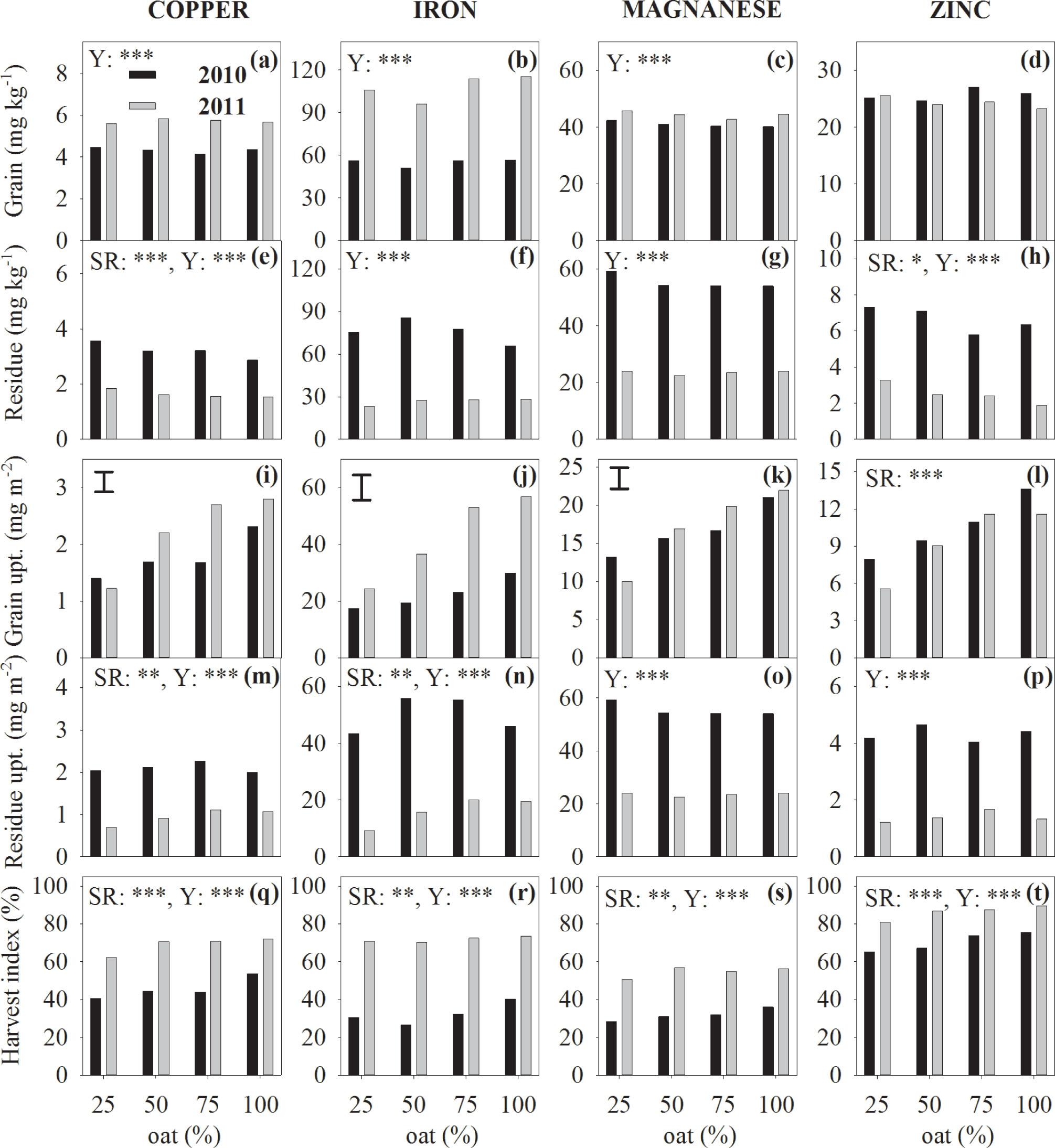
Figure 3

Concentrations and uptake of micronutrients in grain and residue of oat and pea as well as nutrient harvest indices as affected by N fertilizer level (means over sowing ratios and years)Tabelle 2_ Konzentrationen und Aufnahme von Mikronährstoffen in das Korn und die Ernterückstände von Hafer und Erbse sowie die Nährstoff-Ernteindices, beeinflusst durch das N-Düngeniveau (Mittelwerte über die Mischungsverhältnisse und Jahre)
| Fertilization | Concentration (mg · kg–1) | Uptake (mg · m–2) | Nutrient harvest index | |||||||
|---|---|---|---|---|---|---|---|---|---|---|
| Grain | Residue | Grain | Residue | (%) | ||||||
| (g N · m–2) | Oat | Pea | Oat | Pea | Oat | Pea | Oat | Pea | Oat | Pea |
| Copper | ||||||||||
| 0 | 4.60c | 7.64b | 2.11c | 5.08b | 1.61b | 1.52a | 1.18c | 1.06b | 58.6a | 59.5a |
| 6 | 4.92b | 8.53a | 2.36b | 5.57b | 2.09a | 1.65a | 1.54b | 1.27ab | 57.4a | 57.6a |
| 12 | 5.53a | 8.89a | 2.82a | 7.11a | 2.31a | 1.62a | 1.89a | 1.42a | 55.8a | 49.2b |
| Iron | ||||||||||
| 0 | 84.6a | 47.1a | 43.4b | 196a | 29.8a | 8.8a | 23.8c | 39.4a | 55.4a | 23.0a |
| 6 | 75.7a | 47.1a | 50.8b | 224a | 32.2a | 10.2a | 33.9b | 40.5a | 51.2b | 20.0ab |
| 12 | 84.0a | 46.8a | 59.9a | 177a | 35.7a | 9.6a | 41.5a | 38.6a | 49.5b | 18.5b |
| Manganese | ||||||||||
| 0 | 43.8a | 13.4a | 39.8a | 49.2a | 15.4b | 2.66a | 21.5b | 9.12a | 44.3a | 23.0a |
| 6 | 42.4a | 13.3a | 37.2a | 51.0a | 17.4a | 2.58a | 24.7b | 9.48a | 44.3a | 20.8ab |
| 12 | 41.7a | 13.4a | 41.4a | 46.2a | 17.9a | 2.62a | 28.4a | 8.45a | 41.1b | 19.4b |
| Zinc | ||||||||||
| 0 | 23.3b | 28.9b | 4.18b | 8.0b | 8.1b | 6.01a | 2.22b | 1.68b | 78.9a | 78.7a |
| 6 | 24.4b | 33.9a | 4.42ab | 10.9a | 10.4a | 6.65a | 2.95a | 2.21ab | 78.7a | 73.8b |
| 12 | 27.3a | 35.9a | 5.14a | 12.4a | 11.3a | 6.44a | 3.41a | 2.23a | 77.1a | 69.7b |
Land equivalent ratio (LER) of residue yields and residue nutrient yields (LERNutr ) of oat–pea intercrops as affected by intercropping ratio, N fertilizer level, and yearTabelle 4_ Flächenäquivalenz des Ernterückstandserträge (LER) und der Nährstofferträge in den Ernterückständen (LERNutr ) der Hafer-Erbsen-Gemenge, beeinflusst durch das Mischungsverhältnis, das N-Düngeniveau und das Jahr
| Residue yield | Nutrient residue yield | ||||||||||||||
|---|---|---|---|---|---|---|---|---|---|---|---|---|---|---|---|
| LER | Partial LER | LERNutr | Partial LERNutr | ||||||||||||
| Oat + pea | Oat | Pea | Oat + pea | Oat | Pea | ||||||||||
| Cu | Fe | Mn | Zn | Cu | Fe | Mn | Zn | Cu | Fe | Mn | Zn | ||||
| Sowing ratio (%) | |||||||||||||||
| (oat:pea) | |||||||||||||||
| 75:25 | 1.08a | 1.01a | 0.07c | 1.13a | 1.20a | 1.11a | 1.17a | 1.09a | 1.11a | 1.02a | 1.11a | 0.06c | 0.09c | 0.09c | 0.06c |
| 50:50 | 1.07a | 0.90a | 0.18b | 1.15a | 1.30a | 1.13a | 1.24a | 0.97ab | 1.04a | 0.88ab | 1.08a | 0.17b | 0.25b | 0.26b | 0.16b |
| 25:75 | 1.06a | 0.70a | 0.36a | 1.23a | 1.21a | 1.24a | 1.33a | 0.86b | 0.74b | 0.75b | 0.96a | 0.37a | 0.47a | 0.49a | 0.37a |
| Fertilization (g N · m–2) | |||||||||||||||
| 0 | 1.12a | 0.87a | 0.25a | 1.25a | 1.24a | 1.17a | 1.35a | 1.02a | 0.92a | 0.82b | 1.13a | 0.22a | 0.31a | 0.36a | 0.22a |
| 6 | 1.01a | 0.84a | 0.17b | 1.03b | 1.26a | 1.00b | 1.21a | 0.86b | 0.98a | 0.76b | 1.01a | 0.19a | 0.28a | 0.24b | 0.20a |
| 12 | 1.08a | 0.91a | 0.18b | 1.24a | 1.21a | 1.31a | 1.19a | 1.05a | 0.99a | 1.07a | 1.00a | 0.18a | 0.22a | 0.24b | 0.19a |
| Year | |||||||||||||||
| 2010 | 1.10a | 0.93a | 0.17b | 1.25a | 1.34a | 1.22a | 1.20a | 1.08a | 1.14a | 0.98a | 1.00a | 0.17b | 0.20b | 0.24b | 0.19a |
| 2011 | 1.05a | 0.81b | 0.23a | 1.09b | 1.13b | 1.10a | 1.30a | 0.87b | 0.78b | 0.79b | 1.09a | 0.22a | 0.34a | 0.31a | 0.21a |
| ANOVA GLM | |||||||||||||||
| SR | *** | *** | ** | ** | ** | *** | *** | *** | *** | ||||||
| F | *** | ** | ** | * | ** | ** | |||||||||
| Y | * | ** | ** | * | *** | *** | ** | * | ** | * | |||||
| SR × Y | * | ** | |||||||||||||
Long-term average monthly temperature and precipitation (1980–2009) and deviations during the 2010 and 2011 growing seasons Tabelle 1_ Langjährige durchschnittliche monatliche Temperatur und durchschnittlicher monatlicher Niederschlag (1980–2009) und die Abweichungen in den Vegetationsperioden 2010 und 2011
| Temperature (°C) | Precipitation (mm) | |||||
|---|---|---|---|---|---|---|
| Mean | Deviations | Mean | Deviations | |||
| 2010 | 2011 | 2010 | 2011 | |||
| March | 5.8 | 0.5 | 0.5 | 38.5 | –33.3 | –10.1 |
| April | 10.7 | 0.2 | 2.6 | 35.3 | 23.1 | –2.8 |
| May | 15.6 | –0.3 | 0.3 | 56.1 | 58.6 | –12.5 |
| June | 18.5 | 0.7 | 1.7 | 72.3 | 11.4 | –8.0 |
| July | 20.8 | 1.8 | –0.5 | 59.1 | 12.8 | –4.3 |
Land equivalent ratio (LER) of grain yields and grain nutrient yields (LERNutr) of oat–pea intercrops as affected by intercropping ratio, N fertilizer level, and yearTabelle 3_ Flächenäquivalenz der Kornerträge (LER) und Nährstofferträge im Korn (LERNutr ) der Hafer-Erbsen-Gemenge, beeinflusst durch das Mischungsverhältnis, das N-Düngeniveau und das Jahr
| Grain yield | Nutrient grain yield | ||||||||||||||
|---|---|---|---|---|---|---|---|---|---|---|---|---|---|---|---|
| LER | Partial LER | LERNutr | Partial LERNutr | ||||||||||||
| Oat + pea | Oat | Pea | Oat + pea | Oat | Pea | ||||||||||
| Cu | Fe | Mn | Zn | Cu | Fe | Mn | Zn | Cu | Fe | Mn | Zn | ||||
| Sowing ratio (%) (oat:pea) | |||||||||||||||
| 75:25 | 0.93a | 0.89a | 0.05c | 0.92a | 0.95a | 0.92a | 0.98a | 0.87a | 0.89a | 0.87a | 0.93a | 0.05c | 0.05c | 0.06c | 0.05c |
| 50:50 | 0.91a | 0.77a | 0.13b | 0.93a | 0.83a | 0.93a | 0.91a | 0.79a | 0.69b | 0.78b | 0.78b | 0.14b | 0.13b | 0.13b | 0.14b |
| 25:75 | 0.85a | 0.53b | 0.32a | 0.86a | 0.84a | 0.90a | 0.87a | 0.53b | 0.53c | 0.55c | 0.55c | 0.33a | 0.32a | 0.31a | 0.32a |
| Fertilization (g N·m–2) | |||||||||||||||
| 0 | 0.98a | 0.77a | 0.21a | 0.98a | 0.94a | 1.04a | 1.04a | 0.75a | 0.70a | 0.81a | 0.83a | 0.22a | 0.21a | 0.25a | 0.21a |
| 6 | 0.92a | 0.77a | 0.15b | 0.89a | 0.93a | 0.93b | 0.92b | 0.73a | 0.79a | 0.76a | 0.78ab | 0.16b | 0.15b | 0.14b | 0.15b |
| 12 | 0.79b | 0.65a | 0.14b | 0.85a | 0.74b | 0.78c | 0.80c | 0.70a | 0.62a | 0.63b | 0.66b | 0.15b | 0.13b | 0.12b | 0.14b |
| Year | |||||||||||||||
| 2010 | 0.85b | 0.72a | 0.13b | 0.86a | 0.86a | 0.89a | 0.86b | 0.72a | 0.70a | 0.74a | 0.72a | 0.15b | 0.13b | 0.16a | 0.15b |
| 2011 | 0.94a | 0.74a | 0.20a | 0.94a | 0.88a | 0.94a | 0.98a | 0.74a | 0.71a | 0.73a | 0.78a | 0.21a | 0.20a | 0.17a | 0.19a |
| ANOVA GLM | |||||||||||||||
| SR | *** | *** | *** | *** | *** | *** | *** | *** | *** | *** | |||||
| F | ** | * | *** | *** | ** | * | ** | *** | *** | * | |||||
| Y | ** | * | ** | * | |||||||||||
| SR × Y | * | ** | * | * | ** | * | |||||||||