Tabelle 1
Vergleich Datenschutzgesetze.
| THEMA | ZÜRICH | BERN | AARGAU | ST. GALLEN |
|---|---|---|---|---|
| Geltungsbereich | § 1 Abs. 1§ 2 | Art. 4 Abs. 1 | § 4 Abs. 1 | Art. 2 Abs. 1 |
| Zweckbindung | § 9 | Art. 5 | § 9 | Art. 4 |
| Aufsicht | § 30 Abs. 1 | Art. 32 | § 15 | Art. 27 |
| Aktualität | 1. Juni 2020 | 1. Juni 2024 | 1. Juni 2018 | 25. Juni 2019 |

Abbildung 1
Massnahmen zur Datensicherheit in Anlehnung an DSB Kt. ZH.
Tabelle 2
Deskriptive Beschreibung des Gesamtsamples.
| PROFIL | KATEGORIE | PROZENT | N |
|---|---|---|---|
| Kanton | Aargau | 14,11% | 23 |
| Basel-Land | 5,52% | 9 | |
| Bern | 17,18% | 28 | |
| Freiburg | 0,61% | 1 | |
| Glarus | 1,23% | 2 | |
| Graubünden | 2,45% | 4 | |
| Luzern | 6,75% | 11 | |
| Nidwalden | 1,23% | 2 | |
| Obwalden | 0,61% | 1 | |
| Sankt Gallen | 8,59% | 14 | |
| Schaffhausen | 2,45% | 4 | |
| Schwyz | 3,07% | 5 | |
| Solothurn | 5,52% | 9 | |
| Thurgau | 6,75% | 11 | |
| Uri | 1,84% | 3 | |
| Wallis | 1,84% | 3 | |
| Zug | 1,23% | 2 | |
| Zürich | 19,02% | 31 | |
| Anzahl Einwohnende | <1000 | 16,56% | 27 |
| 1001–6000 | 53,37% | 87 | |
| 6001–10000 | 14,72% | 24 | |
| 10001+ | 15,34% | 25 | |
| Funktion | Datensicherheitsverantwortliche/r | 3,68% | 6 |
| Gemeindeschreiber/in oder Stv. | 63,19% | 103 | |
| IT-Verantwortliche/r | 20,25% | 33 | |
| Sonstiges | 11,66% | 19 | |
| keine Antwort | 1,23% | 2 | |
| Gesamt | 100,00% | 163 |
Tabelle 3
Ergebnisse strategische und taktische Massnahmen.
| FRAGE | JA | NEIN | WEISS NICHT | GESAMT | ||||
|---|---|---|---|---|---|---|---|---|
| PROZENT | n | PROZENT | n | PROZENT | n | N | ||
| A1.1 | Leitlinie | 48,77% | 79 | 43,83% | 71 | 7,41% | 12 | 162 |
| A1.2 | Allgemeine Richtlinie | 71,78% | 117 | 25,15% | 41 | 3,07% | 5 | 163 |
| A1.3 | Schutzbedarfsanalyse | 28,40% | 46 | 61,73% | 100 | 9,88% | 16 | 162 |
| A1.4 | Technische Richtlinie | 50,00% | 81 | 40,12% | 65 | 9,88% | 16 | 162 |
| A1.5 | Weisung zur Datens. | 64,81% | 105 | 31,48% | 51 | 3,70% | 6 | 162 |
| A1.6 | Sensibilisierungsunterl. | 63,98% | 103 | 32,92% | 53 | 3,11% | 5 | 161 |
| A1.7 | Berechtigungskonzept | 64,20% | 104 | 30,25% | 49 | 5,56% | 9 | 162 |
| A1.8 | Notfallkonzept | 44,44% | 72 | 48,77% | 79 | 6,79% | 11 | 162 |
[i] A1 Verfügen Sie über folgende Unterlagen zur Sicherstellung der Datensicherheit? Sofern eine Richtlinie mehrere Themengebiete abdeckt, bitte alle betroffenen Unterlagen mit ‹ja› beantworten.
Tabelle 4
Ergebnisse operative Massnahmen.
| FRAGE | JA | NEIN | WEISS NICHT | GESAMT | ||||
|---|---|---|---|---|---|---|---|---|
| PROZENT | n | PROZENT | n | PROZENT | n | N | ||
| A2.1 | Nutzungsweisungen | 65,64% | 107 | 32,52% | 53 | 1,84% | 3 | 163 |
| A2.2 | Betriebsdokumentation | 37,04% | 60 | 56,79% | 92 | 6,17% | 10 | 162 |
| A2.3 | Checklisten | 45,06% | 73 | 51,23% | 83 | 3,70% | 6 | 162 |
| A2.4 | HO-Weisung | 48,15% | 78 | 48,77% | 79 | 3,09% | 5 | 162 |
| A2.5 | Richtl. Aufbewahrungsfr. | 75,46% | 123 | 22,09% | 36 | 2,45% | 4 | 163 |
| A2.6 | Vertragsmanagement | 61,35% | 100 | 31,29% | 51 | 7,36% | 12 | 163 |
[i] A2 Verfügen Sie über folgende Unterlagen zur Sicherstellung der Datensicherheit? Sofern eine Richtlinie mehrere Themengebiete abdeckt, bitte alle betroffenen Unterlagen mit ‹ja› beantworten

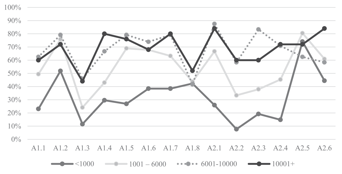
Abbildung 2
Gruppenvergleich Einwohnende: strategische, taktische und operative Massnahmen.
Tabelle 5
Gruppenvergleich Einwohnende: strategische, taktische und operative Massnahmen.
| MASSNAHMEN (STRATEGISCH, TAKTISCH, OPERATIV) | ||||
|---|---|---|---|---|
| UNTER 6000 | (N) | ÜBER 6000 | (N) | |
| IN PROZENT | IN PROZENT | |||
| Anzahl umgesetzter Massnahmen | 52,17% | (780) | 71,34% | (468) |
| Anzahl nicht umgesetzter Massnahmen | 47,83% | (715) | 28,66% | (188) |
| Anzahl Daten | 1495 | 656 | ||
| Chi-Quadrat-Wert | 68,77 | |||
| Total Anzahl Daten | 2151 | |||
[i] * p < 0,05, ** p < 0,01, *** p < 0,001. x2 = 68,77, N = 2151, p = 1,104E-16. Die totale Anzahl der Daten entspricht dem Produkt der Anzahl der Fragen in Frageblock A (A1.1–A2.6) mal der Anzahl der mit ‹Ja› oder ‹Nein› beantworteten Teilnehmenden (N = 2151).
Tabelle 6
Ergebnisse technische Massnahmen.
| B1 | ||||||||
|---|---|---|---|---|---|---|---|---|
| FRAGE | JA | NEIN | WEISS NICHT | GESAMT | ||||
| PROZENT | n | PROZENT | n | PROZENT | n | N | ||
| B1.1 | Backup-Prozess | 85,28% | 139 | 8,59% | 14 | 6,13% | 10 | 163 |
| B1.2 | Softwareupdates | 94,48% | 154 | 4,29% | 7 | 1,23% | 2 | 163 |
| B1.3 | Virenschutz | 92,02% | 150 | 4,29% | 7 | 3,68% | 6 | 163 |
| B1.4 | VPN | 61,96% | 101 | 26,99% | 44 | 11,04% | 18 | 163 |
| B1.5 | Separates WLAN | 81,60% | 133 | 17,79% | 29 | 0,61% | 1 | 163 |

Abbildung 3
Gruppenvergleich Einwohnende: technische Massnahmen.
Tabelle 7
Gruppenvergleich Einwohnende: technische Massnahmen.
| MASSNAHMEN (TECHNISCH) | ||||
|---|---|---|---|---|
| UNTER 6000 | (N) | ÜBER 6000 | (N) | |
| IN PROZENT | IN PROZENT | |||
| Anzahl umgesetzter Massnahmen | 83,95% | (455) | 94,07% | (222) |
| Anzahl nicht umgesetzter Massnahmen | 16,05% | (87) | 5,93% | (14) |
| Anzahl Daten | 542 | 236 | ||
| Chi-Quadrat-Wert | 14,90 | |||
| Total Anzahl Daten | 778 | |||
[i] * p < 0,05, ** p < 0,01, *** p < 0,001. x2 = 14,90, N = 778, p = 0,00011. Die totale Anzahl der Daten entspricht dem Produkt der Anzahl der Fragen in Frageblock A (B1.1–B1.5) mal der Anzahl der mit ‹Ja› oder ‹Nein› beantworteten Teilnehmenden (N = 778).
Tabelle 8
Ergebnisse Schulungen, Sensibilisierungen und Audits.
| FRAGE | KATEGORIE | PROZENT | N | |
|---|---|---|---|---|
| C1 | Wie regelmässig schulen/sensibilisieren Sie Ihre Mitarbeitenden hinsichtlich der Datensicherheit | 0–2 Monate | 4,29% | 7 |
| 3–6 Monate | 19,63% | 32 | ||
| 7–12 Monate | 33,74% | 55 | ||
| 13+ Monate | 39,26% | 64 | ||
| keine Antwort | 3,07% | 5 | ||
| C2 | Wann haben Sie das letzte Mal Ihre IT hinsichtlich der Datensicherheit EXTERN überprüfen lassen? In den letzten… | 0–6 Monate | 37,42% | 61 |
| 7–12 Monate | 16,56% | 27 | ||
| 13–24 Monate | 16,56% | 27 | ||
| 25+ Monate | 23,31% | 38 | ||
| keine Antwort | 6,13% | 10 | ||
| C3 | Wann haben Sie das letzte Mal Ihre IT hinsichtlich der Datensicherheit INTERN überprüft? In den letzten… | 0–6 Monate | 40,49% | 66 |
| 7–12 Monate | 20,86% | 34 | ||
| 13–24 Monate | 11,66% | 19 | ||
| 25+ Monate | 19,63% | 32 | ||
| keine Antwort | 7,36% | 12 | ||
| C4 | Wie werden Mitarbeitende hinsichtlich des Datenschutzes/der Datensicherheit geschult? | Richtlinien | 65,03% | 106 |
| E-Learnings | 42,94% | 70 | ||
| Schulungen vor Ort | 26,38% | 43 | ||
| in jeder Abteilung unterschiedlich | 19,63% | 32 | ||
| nichts davon | 12,27% | 20 | ||
| Weiteres | 10,43% | 17 | ||
| Gesamt | 100,00% | 163 | ||
Tabelle 9
Ergebnisse Art und Weise der Cyberangriffe (1).
| FRAGE | KATEGORIE | PROZENT | N | |
|---|---|---|---|---|
| D1 | Auf welche Art und Weise denken Sie, führen Hacker Cyberangriffe durch? | freies Textfeld | 66,87% | 109 |
| keine Antwort | 33,13% | 54 | ||
| Gesamt | 100,00% | 163 | ||
Tabelle 10
Ergebnisse Art und Weise der Cyberangriffe (2).
| ART | PROZENT | N |
|---|---|---|
| Phishing-Mails | 63% | 78 |
| Social Engineering | 11% | 13 |
| DOS | 4% | 5 |
| Undefiniert | 22% | 27 |
| Gesamt | 100% | 123 |
Tabelle 11
Ergebnisse Cyberangriffe.
| FRAGE | KATEGORIE | PROZENT | N | |
|---|---|---|---|---|
| D2 | Wurde Ihre Verwaltung bereits Opfer eines Cyberangriffs? | Ja | 9,20% | 15 |
| Nein | 90,18% | 147 | ||
| Keine Antwort | 0,61% | 1 | ||
| D2.1 | Falls ja: Haben Sie die Datenschutzstelle des Kantons über den Cyberangriff informiert? | Ja | 1,84% | 3 |
| Nein | 7,36% | 12 | ||
| Keine Antwort | 90,80% | 148 | ||
| Gesamt | 100,00% | 163 | ||

Abbildung 4
Einschätzung der Datensicherheit in öffentlichen Verwaltungen.
Tabelle 12
Ergebnisse Interaktion Kanton.
| FRAGE | KATEGORIE | PROZENT | N | |
|---|---|---|---|---|
| E1 | Nutzen Sie die Vorlagen (Richtlinien, Analysen etc.) der kantonalen Datenschutzstelle? | ja | 9,20% | 15 |
| ja, überwiegend | 49,69% | 81 | ||
| ja, teilweise | 26,99% | 44 | ||
| nein | 11,04% | 18 | ||
| es werden keine angeboten | 0,61% | 1 | ||
| keine Antwort | 2,45% | 4 | ||
| E2 | Informieren Sie sich aktiv über Neuigkeiten und Sicherheitshinweise der kantonalen Datenschutzstelle? | <1× im Monat | 37,42% | 61 |
| alle 2–6 Monate | 16,56% | 27 | ||
| alle 7–12 Monate | 16,56% | 27 | ||
| alle 13+ Monate | 23,31% | 38 | ||
| keine Antwort | 6,13% | 10 | ||
| E3 | Fühlen Sie sich genügend unterstützt durch die kantonale Datenschutzstelle in Bezug auf den Datenschutz und die Datensicherheit? | ja | 40,49% | 66 |
| eher ja | 20,86% | 34 | ||
| eher nein | 11,66% | 19 | ||
| nein | 19,63% | 32 | ||
| keine Antwort | 7,36% | 12 | ||
| Gesamt | 100,00% | 163 | ||
Tabelle 13
Gruppenvergleich Einwohnende: Zufriedenheit der Unterstützung durch Kanton.
| ZUFRIEDENHEIT MIT DER UNTERSTüTZUNG DURCH KANTON | ||||
|---|---|---|---|---|
| UNTER 6000 | (N) | ÜBER 6000 | (N) | |
| IN PROZENT | IN PROZENT | |||
| Eher ja/ja | 69,09% | (76) | 72,92% | (35) |
| Eher nein/nein | 30,91% | (34) | 27,08% | (13) |
| Anzahl Daten | 110 | 48 | ||
| Chi-Quadrat-Wert | 0.23 | |||
| Total Anzahl Daten | 158 | |||
[i] * p < 0,05, ** p < 0,01, *** p < 0,001. x2 = 0,23, N = 158, p = 0,629. Die totale Anzahl der Daten entspricht der Summe der Anzahl an Antworten in Frageblock E3 abzüglich der Anzahl ‹keine Antwort› (N = 158).
