Introduction
The COVID-19 pandemic restrictions limited access to fitness centers and impacted time availability for physical activity (PA). The World Health Organization recommends that adults participate in 150 minutes of moderate to vigorous intensity aerobic exercise per week to reduce the risk of chronic diseases and improve quality of life (Bull et al., 2020). PA increases self-confidence and self-efficacy (Kesaniemi et al., 2001) and is beneficial for managing anxiety, depression, and stress (Bezerra et al., 2020; Cooney et al., 2013; Wolf et al., 2021). PA also improves cardiovascular health (Peçanha et al., 2020) and strengthens immunity (Nieman and Wentz, 2019), which may provide added protection from serious complications as a result of COVID-19 (Dwyer et al., 2020; Laddu et al., 2020). Simpson and Katsanis (2020) noted that while exercise will not prevent COVID-19 infection, PA should be strongly promoted to counteract the negative effects of stress caused by COVID-19 shutdowns.
While the restrictions implemented as a result of the pandemic varied, they had a significant impact on PA worldwide. In the UK, for example, McCarthy et al. (2020) reported 63% of people decreased PA during the shutdown. In Belgium, researchers found 58% of low active adults increased physical activity more during the lockdown than those classified as high active (Constandt et al., 2020). Of individuals classified as high active before the shutdown, only 36% reported increased activity during the shutdown (Constandt et al., 2020). In Canada, Lesser and Nienhuis (2020) found that PA was strongly related to wellbeing outcomes specifically in inactive individuals. The authors noted that health promoting measures should be directed towards inactive individuals to improve wellbeing during the pandemic (Lesser and Nienhuis, 2020). Some individuals experienced more time for PA due to fewer options for social activities and reduced commuting or work time. Others took on more dependent care or work responsibilities and perhaps had less time for discretionary activity. Many people lost PA accountability due to fitness center closures and limited interactions with other people (Kinnafick et al., 2014). Fitness apps and online training websites started offering services for free or reduced cost during the COVID-19 crisis in the hopes of helping people stay active and/or encouraging new members to subscribe (Morning Consult, 2020).
Several researchers have examined the impact of life changing events (e.g. new jobs, relocation, marriage, children) on PA levels (Allender et al., 2008; Engberg et al., 2012). The emotional distress and disruption of daily routines caused by life-changing events may influence PA levels and other health related behaviors (Engberg et al., 2012). The pandemic upended daily routines and impacted lives significantly enough to interrupt existing health related behaviors. Research is still emerging on the long term effects of the pandemic on physical activity habits. As restrictions lift and daily routines move back towards pre-pandemic life, it is important to gain a better understanding of how PA habits changed when routines were disrupted and examine the long term effects of these changes on PA so health professionals may implement strategies to encourage and promote healthy behaviors (Chen et al., 2020).
PA changes were investigated in the spring of 2020 when the shutdown in the U.S. began (Mel and Stenson, 2021). Minutes of PA per week increased during the spring 2020 shutdown; however, average intensity of PA sessions decreased in part as a result of limited access to fitness facilities and fitness classes. Those exceeding the PA guidelines before the pandemic generally maintained PA levels during the shutdown, whereas those not meeting the PA guidelines prior to the shutdown increased PA and were more likely to report they would maintain their increased PA level for one year (Mel and Stenson, 2021).
The purpose of this longitudinal study was to compare participant predictions to actual changes in PA levels one year after the initial survey. The hypothesis was that regular exercisers who decreased PA from March to June 2020 would correctly predict an increase back to typical levels in June 2021. Additionally, those who were not regular exercisers and increased PA from March to June 2020 would correctly predict maintenance of their higher level of PA a year later.
Methods
Participant recruitment and study design
The current study is based on a one year follow-up survey that was conducted in June 2021. In early June 2020, a convenience sample of participants was recruited through social media platforms to complete a brief survey about their PA habits before and during the COVID-19 shutdowns in the U.S. (Mel and Stenson, 2021). The only exclusion criteria for the initial sample were individuals who did not reside in the United States from March 2020 to June 2020. At the end of the survey, participants were asked to share their email if they agreed to be contacted in June 2021 to answer a follow-up survey about their actual PA levels at that point in time. The only inclusion criteria for the subsample was participation in the initial study.
All survey questions were developed by the researchers and pilot tested with a small sample for clarity. No questions were altered as a result of pilot testing. Participants gave voluntary informed consent prior to beginning the original survey. Consent included participation in the follow up survey for those who agreed to participate. In order to begin the follow-up survey, participants were reminded of their original voluntary consent. All methods were approved by the Mercy College Institutional Review Board (IRB#20–42).
Demographic questions such as gender identity, race and ethnicity, age, state of residence, annual income, and highest level of education achieved were taken from the initial survey. Demographic questions were included to characterize participants and identify any potential relationships between demographic factors and changes in PA. Additional questions about perceived neighborhood safety and type of residence location (rural, suburban, urban) were also taken from the initial survey to identify factors that may influence outdoor exercise due to fitness center closures. In the initial survey, participants were asked how likely they were to maintain their DUR-S PA habits for one year (1 = very likely, 2 = likely, 3 = unlikely). The current survey is a follow up to compare participant predictions to actual changes in PA levels one year after the initial survey.
PRE-S was defined for participants as early March 2020 and DUR-S was defined for participants as mid-March to early June 2020. POST-S was defined as June 2021 when the one year follow up survey was conducted. For all three time periods, participants were asked to indicate the average number of days each week they participated in PA, average number of minutes per session (0, 1 = 1–30, 2 = 31–60, 3 = 61–90, 4 = 91–120, 5 = 120+ minutes), and average intensity per session (0 = no activity, 1 = very light, 2 = light, 3 = moderate, 4 = high, 5 = maximal intensity activity). For each time period, participants were asked if there was any other information they wanted to share about their PA habits during that time. Additionally, participants were asked if there were any other wellness habits they changed during the COVID-19 pause. These open-ended questions provided an opportunity for participants to elaborate on their responses.
Statistical analysis
Descriptive statistics such as mean, standard deviation, and frequencies were used to describe the survey data. Mann Whitney U tests were performed for major demographic data to examine differences between the current and original samples. Repeated measures analysis of variance were used to compare differences between PRE-S, DUR-S, and POST-S responses to questions about PA habits. Pairwise comparisons were used to determine where significant differences among the three time points occurred. Cohen’s d and partial eta squared (ηp2) were used to determine effect sizes for significant results.
Repeated measures analysis of variance were also used to compare differences between PRE-S, DUR-S, and POST-S responses for each of three groups: those who indicated they would be very likely, likely, and not likely to maintain their PA habits for one year on the initial survey. For all repeated measures analyses of variance, when the Mauchly’s test for Sphericity was significant, Greenhouse-Geisser adjusted degrees of freedom were used. Additionally, the Bonferroni procedure was used for post-hoc tests due to unequal intervals between repeated testing dates. Effect size for repeated measures ANOVAs was calculated using partial eta squared.
Participants were then categorized into one of three groups for PRE-S, DUR-S, and POST-S PA levels. Groups were defined as not meeting the PA guidelines (1), just meeting the PA guidelines (2), and exceeding the PA guidelines (3). Alignment with the PA guidelines was determined by the product of days per week of exercise and average minutes per session of exercise (Bull et al., 2020). Changes in the number of participants in each group over time were examined.
Bivariate correlations were also used to examine relationships between change in PA habits, and demographic data. Gender differences in all variables and changes over time were not examined because of the skewed sample (Table 1). Cohen’s d was interpreted using levels described by Cohen (1988). Values = 0.2 indicate small effect, values = 0.5 indicate medium effect and values = 0.8 indicate a large effect. An alpha value of 0.05 was used to evaluate significant differences. All data are reported as mean ± standard deviation unless otherwise noted. Statistical analyses were performed using SPSS 28.0 (IBM Corporation. Armonk, NY, USA).
Table 1
Participant demographic information for 350 participants.
| TOTAL SAMPLE (%) | |
|---|---|
| Gender | |
| Males | 54 (15.4%) |
| Females | 295 (84.3%) |
| Prefer not to answer or nonbinary | 1 (0.30%) |
| Race/Ethnicity | |
| Hispanic/Latino | 10 (2.9%) |
| Non-Hispanic White | 316 (90.3%) |
| Black or African- American | 4 (1.1%) |
| Asian | 11 (3.1%) |
| More than one race/ethnicity | 7 (2.0%) |
| Prefer not to answer | 2 (0.6%) |
| Age (years)a | 39.17 ± 13.45 |
| Pre BMI (kg/m2)a | 26.19 ± 5.66 |
| Post BMI (kg/m2)a | 26.34 ± 6.04 |
| Pre Weight (kg) | 73.82 ± 17.26 |
| Post Weight (kg) | 75.51 ± 17.70* |
| Most Represented States | |
| MN | 105 (30.0%) |
| NY | 38 (10.9%) |
| IA | 13 (3.7%) |
| PA | 13 (3.7%) |
| Annual Incomeb | $100,000–$140,000 |
| Education Levelc | 314 (89.7%)* |
| Type of Residence | |
| Rural | 82 (23.4%) |
| Urban | 86 (24.6%) |
| Suburban | 182 (52.0%) |
| Neighborhood Safetya,d | 1.39 ± .58 |
| Percent Very Safe or Safe | (95.7%) |
| Likelihood of Maintenance | |
| Very Likely | 126 (36.0%) |
| Likely | 135 (38.6%) |
| Not Likely | 89 (25.4%) |
[i] a (Mean ± SD).
b Annual Income is mean and median range.
c Education level is number and percent earned at least a bachelor’s degree.
d Perceived neighborhood safety on a scale of 1–5 (1 = very safe, 5 = very unsafe).
* Denotes significant difference from the initial sample (p < 0.05).
Open-ended response questions were analyzed using the thematic and content analysis method (Terry et al., 2017). Responses were read and coded independently by two researchers who identified themes based on responses to individual questions. The researchers compared their independent themes for concordance and finalized themes, which established inter-rater reliability. Open ended responses were used to support interpretation of quantitative data.
Results
Participants demographics
Demographics for the initial sample of 873 participants were previously reported (Mel and Stenson, 2021). Participants in the current study were a representative subsample consisting of 350 U.S. residents over the age of 18, from 45 U.S. states/territories (Table 1). The subsample consisted of 84.3% females, 90.3% identifying as Non-Hispanic, with an average age of 39.17 ± 13.45 years. Of the participants, 89.7% reported income greater than $45,000, and 89.7% earned a bachelor’s degree or higher. While the subsample had a significantly greater education level than the initial sample (5.3 + 1.1 vs. 5.4 + 1.0; where 5.0 = Bachelor’s degree; p = 0.048), the difference was small.
There was no significant difference between pre- and post- BMI (26.19 ± 5.66 vs. 26.34 ± 6.04, t = –.974; p = 0.330; Cohen’s d = 2.94); however, weight was significantly greater in the follow up survey (73.82 ± 17.26 Kg vs. 75.51 ± 17.70 Kg, t = –2.64; p = 0.009; Cohen d = 10.70) (Table 1). No strong significant relationships were found between pre to post change in PA habits and one year prediction (r = –0.055, p = 0.30), neighborhood safety (r = –0.058, p = 0.28), area of residence (r = –0.005, p = 0.93), age (r = –0.086, p = 0.11), and education (r = 0.14, p = 0.009).
Sample change over time
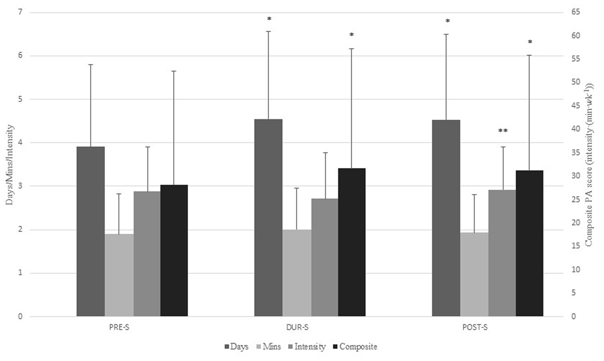
Participants (n = 350) experienced a significant change in days of PA over time (Greenhouse-Geisser = 0.94, F = 20.45; p < 0.001; ηp2 = 0.055). PRE-S days per week (3.91 ± 1.89) were significantly lower than DUR-S (4.55 ± 2.02; p < 0.001) and POST-S (4.52 ± 1.97; p < 0.001). DUR-S and POST-S days per week were not significantly different (p = 0.84). Minutes of exercise per session were not significantly different over time (F = 2.22; p = 0.11). PA intensity was significantly different over time (Greenhouse-Geisser = 0.97, F = 5.72; p = 0.004; ηp2 = 0.016). PRE-S intensity (2.88 ± 1.02) was significantly higher than DUR-S intensity (2.71 ± 1.06; p = 0.018), DUR-S intensity was significantly lower than POST-S intensity, (2.92 ± 0.98; p < 0.001) but PRE-S and POST-S intensity values were not significantly different (p = 0.546). A composite PA score was obtained by the product of days per week, range of minutes per session, and average intensity per session. Composite scores changed significantly over time (Greenhouse-Geisser = 0.95, F = 4.42; p = 0.014; ηp2 = 0.013). PRE-S composite scores (28.17 ± 24.31) were significantly lower than DUR-S (31.67 ± 25.59; p = 0.011) and POST-S scores (31.25 ± 24.54; ± = 0.007). DUR-S and POST-S composite scores were not significantly different (p = 0.753) (Figure 1).

Figure 1
Change in days of PA, minutes of PA, intensity of PA, and weekly composite PA score from PRE-S to DUR-S to POST-S.
Changes based on predicted PA maintenance
Participants (n = 126) who indicated they were very likely to maintain PA habits for one year experienced a significant change in PA over time (Greenhouse-Geisser = 0.94, F = 5.07, p = 0.008; ηp2 = 0.039). Participants significantly increased PA from PRE-S (36.35 ± 28.78) to DUR-S (43.02 ± 27.35; p < 0.001). There was no significant difference between DUR-S and POST-S (39.47 ± 26.18; p = 0.111) or PRE-S (36.35 ± 28.78) and POST-S (39.47 ± 26.18; p = 0.166) composite PA scores. Participants (n = 134) who reported they were likely to maintain PA habits for one year significantly changed PA levels over time (Greenhouse-Geisser = 0.81, F = 17.75, p < 0.001; ηp2 = 0.118). Participants increased PA from PRE-S (20.37 ± 18.41) to DUR-S (31.55 ± 21.66; p < 0.001), but did not significantly change PA from DUR-S to POST-S (27.85 ± 21.94; p = 0.079). POST-S PA was significantly greater than PRE-S PA (p < 0.001). Participants (n = 89) who indicated they were not likely to maintain their PA habit for one year experienced significant changes in PA over time (Greenhouse-Geisser = 0.92, F = 13.14, p < 0.001; ηp2 = 0.13). Participants significantly decreased PA from PRE-S (28.31 ± 21.44) to DUR-S (15.76 ± 19.46; p < 0.001), and there was a significant increase between DUR-S and POST-S (24.72 ± 22.85; p < 0.001) composite PA scores. There was no significant difference between PRE-S (28.31 ± 21.44) and POST-S (24.72 ± 22.85; p = 0.10) (Figure 2).

Figure 2
Change in weekly composite PA score for participants who indicated they were very likely, likely, or not likely to maintain their DUR-S PA habits for one year.
Changes in meeting WHO PA guidelines over time
Overall, 95 (27.2%) participants increased their PA level from PRE-S to POST-S. Of those, 25 (26.3%) went from not meeting to meeting the WHO PA guidelines and 44 (46.3%) went from not meeting to exceeding the guidelines. Together, 69 (19.7%) went from not meeting the guidelines PRE-S to meeting or exceeding them POST-S. The remaining 26 (27.4%) participants increased PA levels from meeting to exceeding guidelines (Figure 3).

Figure 3
Change in number of participants who did not meet, met, or exceeded the WHO PA guidelines PRE-S to DUR-S to POST-S.
When grouped by meeting (including exceeding) or not meeting the WHO PA guidelines, there was a significant change over time (Greenhouse-Geisser = 0.97, F = 8.64; p < 0.001; ηp2 = 0.024). There was a significant increase in participants meeting the guidelines from PRE-S (1.54 ± 0.50) to DUR-S (1.66 ± 0.47; p < 0.001) and no significant change from DUR-S to POST-S (1.63 ± 0.48; p = 0.878).
Pre-pandemic, there were 161 participants not meeting the WHO PA guidelines. Of the sample, 56.52% (n = 91) went from not meeting the guidelines PRE-S to meeting them DUR-S the shutdown. Of those, 56.04% (n = 51) continued to meet the guidelines POST-S. Overall, 42.9% of participants who were not meeting the WHO PA guidelines PRE-S reported meeting them POST-S (Figure 4). There were 189 participants who met the WHO PA guidelines PRE-S. From PRE-S to DUR-S, 25.4% (n = 48) dropped below the guidelines. Of those, 35.42% (n = 17) remained below the guidelines POST-S. Overall, 8.99% of participants who were meeting the WHO PA guidelines PRE-S reported not meeting them POST-S (Figure 5).

Figure 4
Changes in PA over time for those not meeting WHO PA guidelines pre-shutdown.

Figure 5
Changes in PA over time for those meeting WHO PA guidelines pre-shutdown.
Discussion
This study is a follow up to an initial investigation that examined changes in PA from PRE-S (early March 2020) to DUR-S (June 2020) periods. The purpose of this current study was to compare participant predictions from the DUR-S period to actual changes in PA levels one year after the initial survey (June 2021). A secondary purpose was to observe changes in PA over three time periods: PRE-S, DUR-S and POST-S. Two main findings emerged. First, individuals correctly predicted their level of PA one year after the original survey. Second, participants in the sample increased their overall weekly PA significantly from PRE-S to POST-S.
As restrictions eased in June 2020, the current study was designed to determine if the pandemic caused sufficient disruptions during the shutdown to change PA habits long-term. Shutdowns around the world and across the US varied in duration and intensity, making it difficult to compare the present findings with those other studies. Some researchers have examined post-pandemic PA changes; however, their post-shutdown time frames were much shorter (Hargreaves et al., 2021; McCarthy et al., 2020). For example, Hargreaves (2021) categorized “post-lockdown” in New Zealand as June 2020. The results of the current study are novel because participants predicted their PA levels one year away and surveyed them at the one year POST-S time period to examine their actual changes in PA.
In the present study, those who predicted they were likely or very likely to maintain DUR-S PA habits for one year significantly increased PA from PRE-S to DUR-S and correctly predicted they would maintain their higher DUR-S PA for one year. Participants who indicated they were not likely to maintain also predicted correctly. Interestingly, this group initially decreased from PRE-S to DUR-S, but returned to PRE-S PA levels one year out.
Researchers have reported contradictory findings for changes in PA as a result of the pandemic. Lesser and Neinhuis (2020) reported that more individuals who were inactive prior to the pandemic tended to decrease activity further (40.5%) than increase activity (33%). Alternatively, more individuals who were active tended to increase activity (40.3%) than decrease activity (22.4%). McCarthy et al. (2020) found a 37% decrease in PA minutes per week and an overall decrease in PA in 63% of their sample during the first week of shutdown. Ammar and colleagues (2020) reported COVID-19 shutdowns negatively affected PA in individuals around the world. This is supported by Tison et al. (2020) who looked at over 455,000 fitness tracker users worldwide to obtain changes in daily step count measurements at the start of the pandemic. The researchers found a 5.5% decrease in mean steps within the first 10 days of the pandemic and a 27.3% decrease in mean steps within 30 days. In contrast, DiRenzo (2020) reported an increase in people exercising a minimum of five times per week during the shutdown. The increase in PA during shutdown is consistent with previous findings by Stockwell et al. (2021) who conducted a systematic review of 64 studies on changes in PA during the pandemic shutdown. Stockwell et al. (2021) found increases in time spent walking and engaging in moderate PA compared to before COVID-19. These findings are also supported in the initial study which reported an overall increase in weekly dose of PA from PRE-S to DUR-S (Mel and Stenson, 2021).
Hargreaves and colleagues (2021) measured PA at an additional third time point and examined changes in PA levels pre, during and six weeks post lockdown in New Zealand. Although the lockdown periods are different, the results are similar to the present study. They reported a decreased total physical activity during and post lockdown in individuals classified as highly active. Despite decreases, participants were generally still meeting the PA guidelines. According to Hargreaves and colleagues (2021), individuals classified as moderately active before the lockdown increased overall PA during the lockdown and stayed higher than their pre lockdown levels.
In the present study, composite weekly dose of PA significantly increased from PRE-S to DUR-S and remained high POST-S. Days of PA per week increased DUR-S and were maintained at the new higher level POST-S. While intensity decreased DUR-S, participants were able to increase intensity back to PRE-S levels after one year. In the initial study, participants reported difficulty maintaining intensity due to gym closures and a lack of group and competitive activities. Some participants reported being able to return to their previous PA outlets. Others found new or alternative home-based methods to adapt/respond to the disruption by creating novel solutions which included at-home exercise equipment, online training, and new forms of activity, which then allowed them to return to their higher pre-pandemic intensity (Gardner and Rebar, 2019). In open-ended responses, two participant quotes exemplify these changes:
“Throughout COVID and being stuck at home, I thought I really loved the idea of working out at home because it was easy and convenient. Now that I am back to working out at group fitness classes, I realized how wrong I was. I love the environment of being around other people…. and there is nothing like a little friendly competition of trying to keep up with the person next to you. Not to mention, the community aspect of just being around other people.”
“got a lot of new exercise equipment. I won’t go back to gym now that I have a great home gym. Much easier to add intensity and more convenient.”
When categorized as meeting or not meeting the WHO guidelines for weekly PA, over half of those who reported not meeting the guidelines PRE-S increased PA sufficiently to meet them DUR-S. By one year post, 42.8% were still meeting the WHO PA guidelines. The results suggest a more permanent change in PA behavior as a result of major lifestyle disruptions due to the pandemic.
Major disruptions as catalysts for change have been studied in behavior modification literature. For example, a systematic review by Engberg et al. (2012) reported that “life change events” impact health habits, specifically leisure time PA. Life change events may increase or decrease PA depending on age, gender differences, type of event, and overlapping events. Currently there is little research on the pandemic as a life changing event. Given the magnitude and severity of disruption caused by the pandemic, shutdowns could have a similar effect on PA as other life change events. Engberg and colleagues (2012) reported that PA increased or decreased depending on individual situations and events. This is consistent with the results of the present study.
Wood and Neal (2016) noted that successful behavior changes come when people capitalize on major life events to adopt different routines and habits. According to their framework, the pandemic served as a cue disrupter, the first of three main habit breaking interventions. Shutdowns caused major life changes that reduced exposure to familiar cues which initiate unhealthy behaviors. The second intervention, environmental engineering, either adds friction to unhealthy behaviors or reduces friction to allow for healthy behaviors (Wood and Neal, 2016). The shutdown inherently created friction when access to gyms and fitness facilities was limited and modes of public transportation were discouraged. The pandemic also inherently reduced friction when exercise classes became more available online in people’s homes, active modes of transportation such as walking increased, and more resources were available encouraging PA and providing information for staying healthy during the shutdown. The extended duration of the pandemic created an opportunity for the third of the habit breaking interventions, vigilant monitoring. Vigilant monitoring is an opportunity to implement behavior modification strategies to maximize the potential for individuals to limit unhealthy behaviors and maintain the healthy behaviors they adopted during the shutdown (Wood and Neal, 2016).
Overall, disruptions caused by pandemic lockdowns were positive for PA change and one year maintenance of that change, suggesting participants adopted new behaviors. The pandemic provided an opportunity for participants not initially meeting the WHO PA guidelines to increase daily PA or initiate PA as a new health behavior. Because the major life disruption in this situation was health-related, the pandemic may have provided additional incentive for individuals to reassess their lifestyle habits and look to improve health-related behaviors. In examining the open-ended responses, two main themes were noted in addition to changes in PA. Participants noted overall improved nutrition and eating habits and improved self-care habits in the POST-S period. Improved lifestyle habits have a significant positive impact on overall physical and mental health, decreasing risk for chronic diseases, depression, and early mortality (Bezerra et al., 2020; Cooney et al., 2013; Nieman and Wentz, 2019; Peçanha et al., 2020; Wolf et al., 2021). Additionally, regularly active individuals may reduce their risk of major complications from COVID-19 (Laddu et al., 2020).
In order for behaviors to be adopted, chronic changes must persist for several months to years. For example, the TTM suggests that new behaviors are considered adopted and maintained if performed consistently for at least six months (Prochaska and DiClemente, 1982). According to the TTM, change also cannot happen without motivation. The pandemic seems to have provided motivation needed for many individuals to move from the first stages of the TTM (precontemplation, contemplation) to the following stages (preparation and action). Results from the current study suggest that many participants reached the maintenance phase, the final stage of the TTM. Pre-pandemic PA level plays an important role in understanding the impact of the COVID-19 restrictions on PA levels (Hargreaves et al., 2021). Regular exercisers generally have high intrinsic motivation for PA (Kinnafick et al., 2014; Rodgers et al., 2010). For many, the pandemic created a disruption in their regular routine which caused a decrease in days per week of PA and intensity during the shutdown. Since regular activity was part of their pre-pandemic routine, they may have relied on intrinsic motivation to help them return to pre-shutdown habits.
The findings from the current study have important implications for how adverse lifestyle disruptions could be leveraged for behavior modification to increase PA and improve wellbeing. The most encouraging finding is that the majority of individuals who were not meeting the WHO PA guidelines before the pandemic have sustained positive PA behavior change for one year. Additionally, participants were accurate at predicting their ability to maintain or change habits developed while restrictions were in place in the US. Although one year of maintenance indicates an adopted behavior, as the pandemic continues or other disruptions occur, relapse may be possible. If there is another major disruption, policy makers and health care advocates can leverage results of this study to create and implement policy and infrastructure to support PA adoption and maintenance and reduce the risk of relapse.
Limitations and future research
Many of the limitations of the current study are the same as those reported in the initial study (Mel and Stenson, 2021). Any changes to survey questions would not have allowed for comparisons between the three timepoints. Therefore, the results of this study are limited primarily by the subjective nature of the data. Self-report data is limited by the accuracy of participants’ perceptions. The aim was to keep the survey brief to encourage participation by a large number of individuals. To limit time to completion of the survey, minutes of exercise were reported as a range of minutes (e.g. 1–30 minutes, 31–60 minutes, etc.). The use of ranges for minutes of activity as opposed to a specific duration of PA allowed participants to easily select their average activity time per day; however, it does limit the conclusions about changes in PA duration. Similarly, the use of brief modifiers to categorize intensity may also limit findings. The results are also limited to the relatively homogenous sample, which is only a subset of the initial sample. The sample consisted of mostly white, college educated, females. Caution should be used when generalizing these results beyond college-educated white women. While the mean age and education level of participants were similar to other studies, the current sample was smaller and had a higher percentage of female participants (Antunes et al., 2020; Constandt et al., 2020; McCarthy et al., 2020). The use of social media to distribute the survey resulted in a convenience sample of participants with potential for a snowball effect of sampling. Future researchers may consider examining specific factors which influenced PA changes as a result of the pandemic in groups that increased or decreased their activity levels. A better understanding of factors that influence PA change may provide researchers and public health officials evidence-based information on which to create best practices for encouraging safe PA during prolonged disruptive events.
Conclusion
Overall, individuals correctly predicted their level of PA one year after the original survey. Participants increased their overall weekly PA significantly from PRE-S to POST-S. The pandemic caused a major life disruption which may have provided incentive for individuals to reassess their lifestyle habits and look to improve health-related behaviors. Improved lifestyle habits have a significant positive impact on overall physical and mental health, decreasing risk for chronic diseases, depression, and early mortality.
Data Accessibility Statement
The data analyzed in this study is available upon request.
Competing Interests
The authors have no competing interests to declare.
Author Contributions
A.M. and M.S. equally contributed to all aspects of the research design, data collection, data analysis and manuscript preparation.
