
Figure 1
Distributions of each subject’s overall mean score and standard deviation, for each of the ratings collected in this study.

Figure 2
Boxplots illustrating the distributions of the split–half reliability scores over 1,000 random replicates.

Figure 3
Distributions of the perceptual strength scores on the five senses.
Table 1
Perceptual strength across the five modalities for the words included in the database.
| Modality | Mean | SD | Min | Max |
|---|---|---|---|---|
| Visual | 3.83 | 1.17 | 0.54 | 5.00 |
| Auditory | 1.33 | 1.44 | 0 | 5.00 |
| Haptic | 1.95 | 1.71 | 0.03 | 4.97 |
| Gustatory | 0.98 | 1.37 | 0 | 5.00 |
| Olfactory | 0.94 | 1.28 | 0 | 4.97 |

Figure 4
Distributions of modality exclusivity scores, computed separately for words with a different dominant sense. Box width is proportional to the number of words that fall into each of the five categories.

Figure 5
Density plots illustrating the distributions of the main lexical and perceptual strength features of the words included in the database. The blue vertical line represents the mean.

Figure 6
Spider plots illustrating the perceptual strength scores on the five senses for some example words, each of which is deemed representative of its class (vision unimodal for “bright”, vision multimodal for “strange”, audition unimodal for “silent”, audition multimodal for “suave”, touch for “soft”, smell for “perfumed”, taste for “disgusting” and abstract for “metaphysical”).
Table 2
Correlation matrix between all variables included in the database. Significant correlations are bolded (p < .001). Abbreviations refer to the following variables: Maximal Perceptual Strength (MPS), Summed Perceptual Strengths (SPS), Modality Exclusivity, Contextual Diversity (CD), Subtlex-IT Frequency (Zipf), Neighborhood Size (N), Orthographic Levenshtein Distance 20 (OLD20), Familiarity (Fam), Age of Acquisition (AoA), Context Availability (CA).
| Variables | Vision | Audition | Touch | Olfaction | Taste | MPS | SPS | Entropy | ME | Length | CD | Zipf | N | OLD20 | Fam | AoA | CA |
|---|---|---|---|---|---|---|---|---|---|---|---|---|---|---|---|---|---|
| Vision | – | –0.46 | 0.34 | –0.31 | –0.3 | 0.48 | 0.1 | –0.3 | 0.25 | ||||||||
| Audition | –0.46 | – | –0.22 | –0.16 | –0.18 | –0.24 | 0.02 | 0.19 | –0.21 | ||||||||
| Touch | 0.34 | –0.22 | – | –0.12 | 0.04 | 0.19 | 0.61 | 0.35 | –0.46 | ||||||||
| Olfaction | –0.31 | –0.16 | –0.12 | – | 0.76 | –0.04 | 0.55 | 0.52 | –0.46 | ||||||||
| Taste | –0.3 | –0.18 | 0.04 | 0.76 | – | 0 | 0.64 | 0.54 | –0.51 | ||||||||
| MPS | 0.48 | –0.24 | 0.19 | –0.04 | 0 | – | 0.17 | –0.46 | 0.47 | ||||||||
| SPS | 0.1 | 0.02 | 0.61 | 0.55 | 0.64 | 0.17 | – | 0.7 | –0.75 | ||||||||
| ME | –0.3 | 0.19 | 0.35 | 0.52 | 0.54 | –0.46 | 0.7 | – | –0.96 | ||||||||
| Entropy | 0.25 | –0.21 | –0.46 | –0.46 | –0.51 | 0.47 | –0.75 | –0.96 | – | ||||||||
| Length | –0.05 | 0.08 | –0.1 | –0.06 | –0.1 | –0.06 | –0.12 | –0.07 | 0.05 | – | –0.28 | –0.37 | –0.6 | 0.78 | –0.23 | 0.3 | –0.21 |
| CD | 0.05 | 0.16 | 0.06 | 0.04 | 0.01 | –0.06 | 0.16 | 0.19 | –0.19 | –0.28 | – | 0.68 | 0.54 | –0.41 | 0.4 | –0.46 | 0.31 |
| Zipf | 0.08 | 0.15 | 0.1 | 0.06 | 0.07 | –0.07 | 0.23 | 0.26 | –0.26 | –0.37 | 0.68 | – | 0.52 | –0.57 | 0.79 | –0.64 | 0.67 |
| N | 0.11 | –0.01 | 0.09 | 0 | 0.04 | 0.04 | 0.12 | 0.07 | –0.07 | –0.6 | 0.54 | 0.52 | – | –0.63 | 0.38 | –0.44 | 0.33 |
| OLD20 | –0.04 | –0.05 | –0.11 | –0.04 | –0.11 | 0 | –0.19 | –0.19 | 0.17 | 0.78 | –0.41 | –0.57 | –0.63 | – | –0.42 | 0.43 | –0.38 |
| Fam | 0.13 | 0.06 | 0.14 | –0.04 | 0.07 | –0.06 | 0.19 | 0.2 | –0.21 | –0.23 | 0.4 | 0.79 | 0.38 | –0.42 | – | –0.66 | 0.85 |
| AoA | –0.31 | 0.04 | –0.2 | 0.02 | –0.06 | –0.4 | –0.25 | 0.05 | –0.04 | 0.3 | –0.46 | –0.64 | –0.44 | 0.43 | –0.66 | – | –0.77 |
| CA | 0.26 | 0.01 | 0.22 | –0.02 | 0.11 | 0.25 | 0.29 | 0.08 | –0.09 | –0.21 | 0.31 | 0.67 | 0.33 | –0.38 | 0.85 | –0.77 | – |

Figure 7
The words included in the database, as represented by points in the space defined by the first two Principal Components of the unrotated PCA.

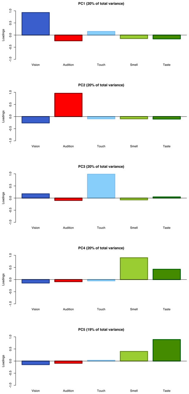
Figure 8
Loadings on the five modalities by five Principal Components when a Varimax rotation is applied to PCA to maximise component interpretability.
