
Figure 1
The distractor stop task. A word was presented in the middle of a square. Participants had to judge whether the word referred to a natural or human-made object. On half of the trials (distractor trials), randomly generated two-letter strings appeared at random locations every 100 ms. On some trials (stop-signal trials), the square turned bold after a variable delay from the onset of the word, instructing the participants to stop their response. For display purposes, foreground and background colours are switched in this figure. In the present study, white stimuli appeared against a black background.

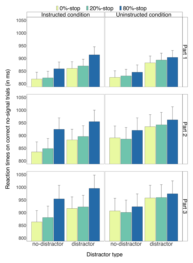
Figure 2
Reaction times on correct no-signal trials for the instructed condition (left panels) and for the uninstructed condition (right panels) as a function of part (1–3), word type (0%-stop, 20%-stop or 80%-stop words) and distractor type (distractor, no-distractor). Error bars are 95% confidence intervals.

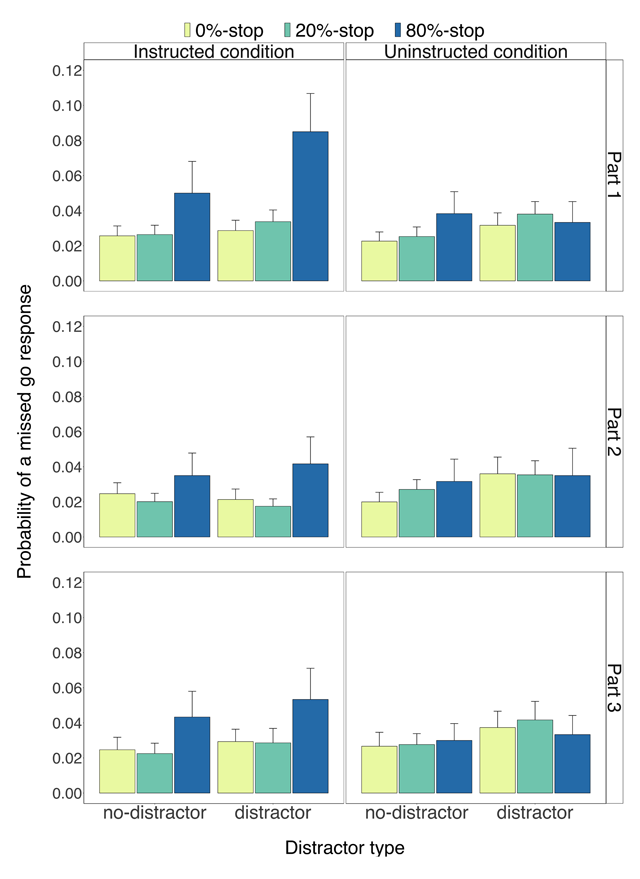
Figure 3
The probability of missed go responses for the instructed condition (left panels) and for the uninstructed condition (right panels) as a function of part (1–3), word type (0%-stop, 20%-stop or 80%-stop words) and distractor type (distractor, no-distractor). Error bars are 95% confidence intervals.

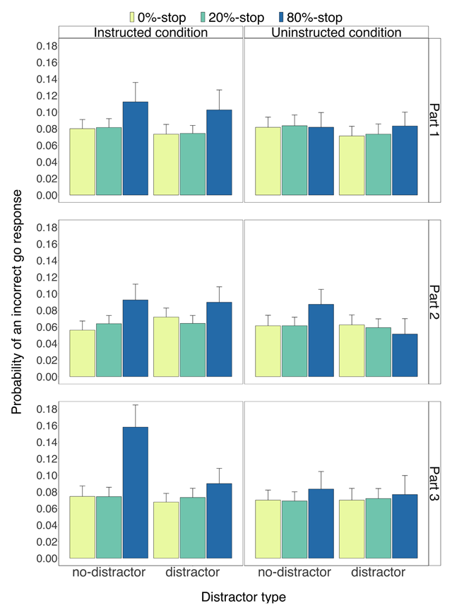
Figure 4
The probability of incorrect go responses for the instructed condition (left panels) and for the uninstructed condition (right panels) as a function of part (1–3), word type (0%-stop, 20%-stop or 80%-stop words) and distractor type (distractor, no-distractor). Error bars are 95% confidence intervals.

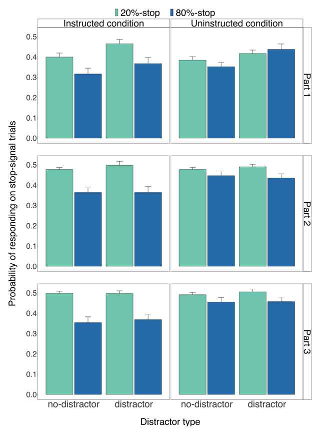
Figure 5
The probability of responding on stop-signal trials for the instructed condition (left panels) and for the uninstructed condition (right panels) as a function of part (1–3), word type (0%-stop, 20%-stop or 80%-stop words) and distractor type (distractor, no-distractor). Error bars are 95% confidence intervals.
Table 1
Overview of the ANOVA conducted on the no-signal trial data. Condition is included as a between-subjects factor, all other factors are within-subjects. In the no-signal trial RT analysis, incorrect, and missed no-signal trials were removed.
| Df1 | Df2 | Sum of squares effect | Sum of squares error | F | p | αadj | gen. η2 | |
|---|---|---|---|---|---|---|---|---|
| No-signal trials: RT | ||||||||
| Condition | 1 | 118 | 171051.50 | 94794587.10 | 0.21 | 0.645 | 0.017 | 0.002 |
| Part | 2 | 236 | 1783555.0 | 13010265.90 | 16.18 | <0.001 | 0.004 | 0.016 |
| Type | 2 | 236 | 904922.00 | 966318.40 | 110.50 | <0.001 | 0.004 | 0.008 |
| Distract | 1 | 118 | 1309571.0 | 896684.60 | 172.33 | <0.001 | 0.003 | 0.011 |
| Condition by part | 2 | 236 | 64644.43 | 13010265.90 | 0.59 | 0.492 | 0.013 | 0.001 |
| Condition by type | 2 | 236 | 246795.90 | 966318.40 | 30.14 | <0.001 | 0.004 | 0.002 |
| Condition by distract | 1 | 118 | 9326.65 | 896684.60 | 1.23 | 0.270 | 0.006 | <0.001 |
| Part by type | 4 | 472 | 41534.56 | 1219546.70 | 4.02 | 0.011 | 0.005 | <0.001 |
| Part by distract | 2 | 236 | 7617.38 | 664742.90 | 1.35 | 0.261 | 0.006 | <0.001 |
| Type by distract | 2 | 236 | 3299.20 | 387996.50 | 1.00 | 0.349 | 0.007 | <0.001 |
| Condition by part by type | 4 | 472 | 28190.83 | 1219546.70 | 2.73 | 0.052 | 0.005 | <0.001 |
| Condition by part by distract | 2 | 236 | 812.94 | 664742.90 | 0.14 | 0.857 | 0.050 | <0.001 |
| Condition by type by distract | 2 | 236 | 2398.44 | 387996.50 | 0.73 | 0.447 | 0.010 | <0.001 |
| Part by type by distract | 4 | 472 | 7405.20 | 1006301.70 | 0.87 | 0.443 | 0.008 | <0.001 |
| Condition by part by type by distract | 4 | 472 | 3603.93 | 1006301.70 | 0.42 | 0.705 | 0.025 | <0.001 |
| No-signal trials: p(miss) | ||||||||
| Condition | 1 | 118 | 0.00 | 2.56 | 0.13 | 0.724 | 0.017 | <0.001 |
| Part | 2 | 236 | 0.02 | 1.09 | 2.38 | 0.098 | 0.005 | 0.003 |
| Type | 2 | 236 | 0.10 | 0.66 | 18.03 | <0.001 | 0.003 | 0.015 |
| Distract | 1 | 118 | 0.03 | 0.23 | 16.71 | <0.001 | 0.004 | 0.005 |
| Condition by part | 2 | 236 | 0.02 | 1.09 | 2.02 | 0.138 | 0.006 | 0.003 |
| Condition by type | 2 | 236 | 0.07 | 0.66 | 11.92 | <0.001 | 0.004 | 0.010 |
| Condition by distract | 1 | 118 | 0.00 | 0.23 | 0.03 | 0.869 | 0.050 | <0.001 |
| Part by type | 4 | 472 | 0.02 | 1.07 | 1.89 | 0.146 | 0.006 | 0.003 |
| Part by distract | 2 | 236 | 0.00 | 0.28 | 1.22 | 0.296 | 0.008 | <0.001 |
| Type by distract | 2 | 236 | 0.00 | 0.37 | 0.14 | 0.760 | 0.025 | <0.001 |
| Condition by part by type | 4 | 472 | 0.01 | 1.07 | 0.83 | 0.453 | 0.010 | 0.001 |
| Condition by part by distract | 2 | 236 | 0.01 | 0.28 | 3.34 | 0.039 | 0.005 | 0.001 |
| Condition by type by distract | 2 | 236 | 0.02 | 0.37 | 6.54 | 0.007 | 0.004 | 0.003 |
| Part by type by distract | 4 | 472 | 0.00 | 0.55 | 0.59 | 0.585 | 0.013 | <0.001 |
| Condition by part by type by distract | 4 | 472 | 0.01 | 0.55 | 1.37 | 0.254 | 0.007 | 0.001 |
| No-signal trials: p(error) | ||||||||
| Condition | 1 | 118 | 0.07 | 8.00 | 0.99 | 0.321 | 0.013 | 0.004 |
| Part | 2 | 236 | 0.10 | 1.13 | 9.95 | <0.001 | 0.004 | 0.006 |
| Type | 2 | 236 | 0.23 | 1.38 | 19.83 | <0.001 | 0.003 | 0.015 |
| Distract | 1 | 118 | 0.04 | 0.40 | 10.57 | 0.001 | 0.004 | 0.002 |
| Condition by part | 2 | 236 | 0.01 | 1.13 | 0.69 | 0.499 | 0.025 | <0.001 |
| Condition by type | 2 | 236 | 0.10 | 1.38 | 8.39 | 0.002 | 0.004 | 0.007 |
| Condition by distract | 1 | 118 | 0.00 | 0.40 | 0.34 | 0.562 | 0.050 | <0.001 |
| Part by type | 4 | 472 | 0.02 | 1.43 | 1.55 | 0.204 | 0.007 | 0.001 |
| Part by distract | 2 | 236 | 0.01 | 0.70 | 1.35 | 0.260 | 0.010 | 0.001 |
| Type by distract | 2 | 236 | 0.04 | 0.64 | 7.35 | 0.003 | 0.005 | 0.003 |
| Condition by part by type | 4 | 472 | 0.01 | 1.43 | 0.94 | 0.417 | 0.017 | 0.001 |
| Condition by part by distract | 2 | 236 | 0.04 | 0.70 | 6.33 | 0.002 | 0.005 | 0.003 |
| Condition by type by distract | 2 | 236 | 0.01 | 0.64 | 1.35 | 0.257 | 0.008 | <0.001 |
| Part by type by distract | 4 | 472 | 0.04 | 1.24 | 3.56 | 0.019 | 0.006 | 0.002 |
| Condition by part by type by distract | 4 | 472 | 0.03 | 1.24 | 3.18 | 0.030 | 0.006 | 0.002 |
[i] Note: distract = distractor type; type = word type. αad = alpha-level following the sequential Bonferroni procedure to control for multiplicity. ps < αadj are highlighted in bold.
Table 2
No-signal trial RT Bayesian analysis. Bayes factors < 1 indicate that the removal of the factor or interaction had a deleterious effect on the model, whereas Bayes factors > 1 indicate that the factor or interaction could be removed without impairing the fit much.
| Omitted factor(s) | Bayes Factor | Confidence interval |
|---|---|---|
| Main analysis | ||
| Part | <0.00 | ±104.9% |
| Distract | <0.00 | ±66.33% |
| Type | <0.00 | ±89.32% |
| Condition by type | 0.01 | ±98.86% |
| Condition | 6.76 | ±65.95% |
| Condition by part | 68.63 | ±103.7% |
| Condition by distract by part by type | 268.60 | ±57.32% |
| Condition by distract by type | 387.73 | ±91.84% |
| Condition by distract | 702.78 | ±108.94% |
| Distract by part by type | 796.09 | ±63.71% |
| Part by type | 878.80 | ±88.37% |
| Distract by type | 901.37 | ±88.94% |
| Condition by part by type | 4387.12 | ±79.46% |
| Distract by part | 4814.11 | ±97.42% |
| Condition by distract by part | 88222.89 | ±108.29% |
[i] Note that ‘participant’ was included as a factor for all models, but this factor is not added to the model descriptions in the tables to reduce the amount of text. distract = distractor type; type = word type.
Table 3
Overview of the ANOVA conducted on the stop-signal data. Condition is included as a between-subjects factor, all other factors are within-subjects.
| Df1 | Df2 | Sum of squares effect | Sum of squares error | F | p | αadj | gen. η2 | |
|---|---|---|---|---|---|---|---|---|
| Main analysis | ||||||||
| Condition | 1 | 118 | 0.36 | 5.35 | 7.94 | 0.006 | 0.006 | 0.019 |
| Part | 2 | 236 | 1.04 | 4.51 | 27.13 | <0.001 | 0.004 | 0.053 |
| Type | 1 | 118 | 1.95 | 2.27 | 101.58 | <0.001 | 0.003 | 0.095 |
| Distract | 1 | 118 | 0.21 | 0.99 | 24.50 | <0.001 | 0.005 | 0.011 |
| Condition by part | 2 | 236 | 0.09 | 4.51 | 2.31 | 0.109 | 0.008 | 0.005 |
| Condition by type | 1 | 118 | 0.68 | 2.27 | 35.21 | <0.001 | 0.004 | 0.035 |
| Condition by distract | 1 | 118 | 0.00 | 0.99 | 0.07 | 0.792 | 0.013 | <0.001 |
| Part by type | 2 | 236 | 0.12 | 1.85 | 7.59 | 0.001 | 0.005 | 0.006 |
| Part by distract | 2 | 236 | 0.22 | 1.60 | 16.03 | <0.001 | 0.004 | 0.012 |
| Type by distract | 1 | 118 | 0.00 | 0.73 | 0.00 | 0.947 | 0.050 | <0.001 |
| Condition by part by type | 2 | 236 | 0.00 | 1.85 | 0.20 | 0.834 | 0.017 | <0.001 |
| Condition by part by distract | 2 | 236 | 0.00 | 1.60 | 0.17 | 0.840 | 0.025 | <0.001 |
| Condition by type by distract | 1 | 118 | 0.00 | 0.73 | 0.55 | 0.459 | 0.010 | <0.001 |
| Part by type by distract | 2 | 236 | 0.03 | 1.36 | 2.26 | 0.106 | 0.007 | 0.001 |
| Condition by part by type by distract | 2 | 236 | 0.04 | 1.36 | 3.15 | 0.045 | 0.006 | 0.002 |
[i] Note: distract = distractor type; type = word type. αad = alpha-level following the sequential Bonferroni procedure to control for multiplicity. ps < αadj are highlighted in bold.

Figure 6
Expectancy ratings for the instructed condition (left panels) and for the uninstructed condition (right panels) as a function of word type (0%-stop, 20%-stop or 80%-stop words). Note: 1 = ‘I definitely do not think this word indicates that I have to withhold my response’; 9 = ‘I definitely think this word indicates that I have to withhold my response’. Error bars are 95% confidence intervals.

Figure 7
Expectancy/RT correlations for the 80%-stop and 0%-stop words (upper panels) and the 80%-stop and 20%-stop words (lower panels) for the instructed condition (left panels) and for the uninstructed condition (right panels). The correlations in the instructed condition were reliable (ps ≤ 0.001) but the correlations in the uninstructed condition were not reliable (ps ≥ 0.501).
