
Figure 1
Diagram of sample visual stimuli (tool-object pairs) protruding to the right (upper panel) and to the left (lower panel) presented in Experiment 1 and Experiment 2.

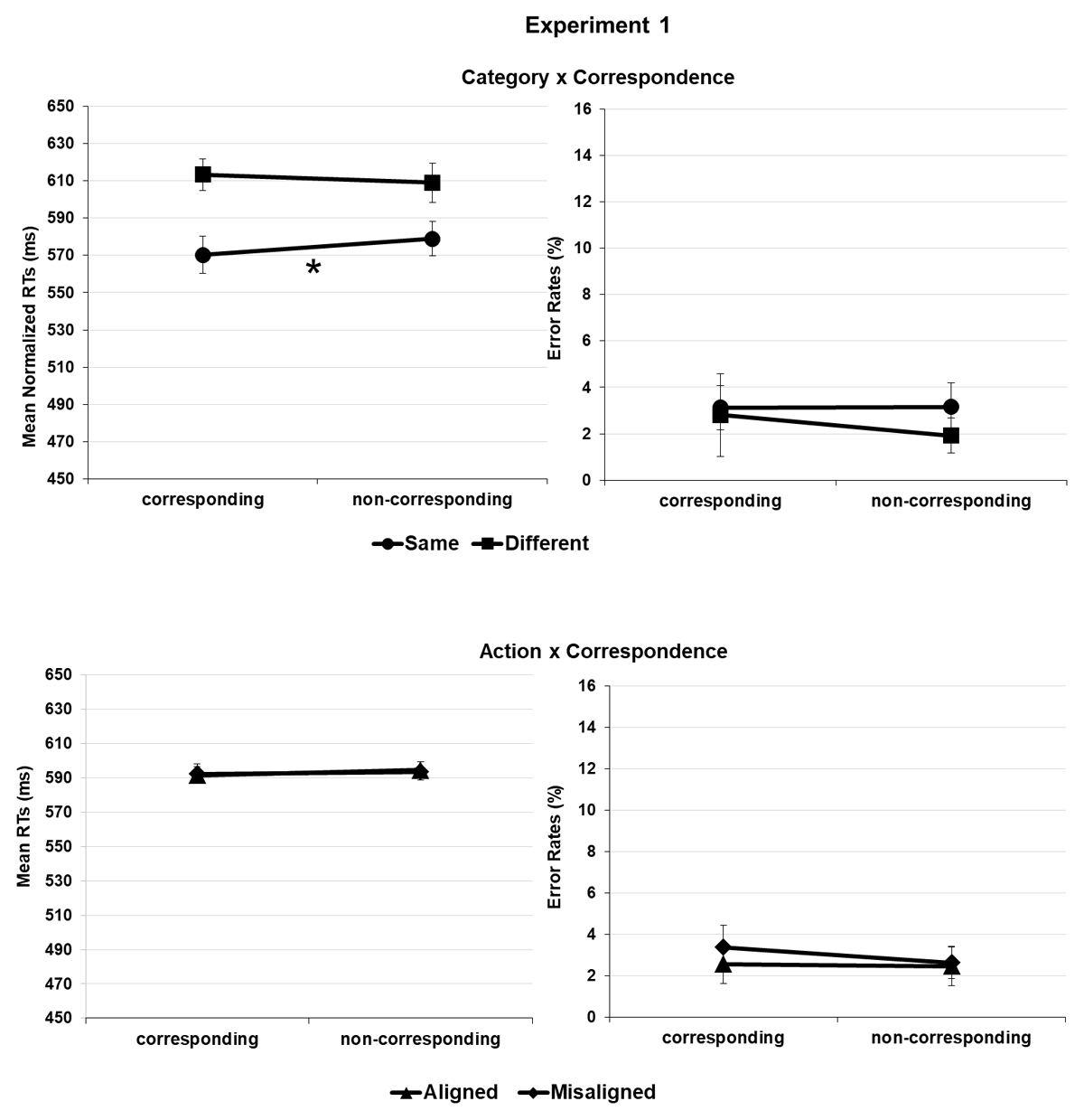
Figure 2
Experiment 1. Salient portion-to-response correspondence effect (e.g., spout plus second object location-to-response position corresponding vs. non-corresponding pairings) in the task-relevant same and different category conditions (upper panel) and in task-irrelevant alignment and misalignment for action (lower panel); mean normalized reaction times (RTs) and error rates (ERs).

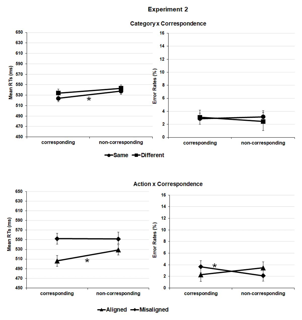
Figure 3
Experiment 2. Salient portion-to-response correspondence effect (e.g., spout plus second object location-to-response position corresponding vs. non-corresponding pairings) in the task-relevant alignment and misalignment for action (lower panel) and in task-irrelevant same and different category conditions (upper panel); mean normalized reaction times (RTs) and error rates (ERs).
Table 1
Experiment 1: Salient portion-to-response correspondence effect for RTs (milliseconds) and ERs (percentages of errors) in same and different semantic categories and aligned and misaligned conditions.
| CATEGORY | ACTION | CORRESPONDENCE | CORRESPONDENCE EFFECT | |||
|---|---|---|---|---|---|---|
| RTS | ERS | RTS | ERS | |||
| Same | Aligned | Corresponding | 569 | 2.5 | 6 | 0.4 |
| Non-corresponding | 575 | 3.0 | ||||
| Misaligned | Corresponding | 573 | 3.7 | 11 | –0.4 | |
| Non-corresponding | 584 | 3.3 | ||||
| Different | Aligned | Corresponding | 614 | 2.6 | 0 | –0.6 |
| Non-corresponding | 614 | 2.0 | ||||
| Misaligned | Corresponding | 613 | 3.0 | –10 | –1.1 | |
| Non-corresponding | 603 | 1.9 | ||||
Table 2
Experiment 2: Salient portion-to-response correspondence effect for RTs (milliseconds) and ERs (percentages of errors) in same and different semantic categories and aligned and misaligned conditions.
| CATEGORY | ACTION | CORRESPONDENCE | CORRESPONDENCE EFFECT | |||
|---|---|---|---|---|---|---|
| RTS | ERS | RTS | ERS | |||
| Same | Aligned | Corresponding | 501 | 2,1 | 23 | 1.5 |
| Non-corresponding | 524 | 3,6 | ||||
| Misaligned | Corresponding | 547 | 3,6 | 1 | –0.9 | |
| Non-corresponding | 548 | 2,7 | ||||
| Different | Aligned | Corresponding | 511 | 2,5 | 19 | 0.9 |
| Non-corresponding | 530 | 3,3 | ||||
| Misaligned | Corresponding | 556 | 3,7 | –2 | –2.2 | |
| Non-corresponding | 554 | 1,5 | ||||
