Correction
It came to the author’s attention that in the simulations presented by Vandierendonck (2021) an incorrect formula was used in the calculations of the integrated speed-accuracy measure BIS (Liesefeld & Janczyk, 2019). The pooled standard deviation over trials, conditions, and subjects was used instead of the standard deviation over subjects after aggregating trial and condition data per subject and for the speed data only correct instead of all RTs were used. A recalculation shows that in all four simulation studies the correct values tended to differ from the ones in the publication. In the present article, the correct outcomes for the BIS measure in each study are reported. The data and the scripts for these calculations are available at https://doi.org/10.5281/zenodo.5493844.
Study 1: Balanced Speed and Accuracy Effects
The correct BIS means of the cells of the design are shown in Figure 1 as a function of percentage of errors (PE level, the four panels in the figure) and SAT size (the x-axis in each panel); within each panel the means are shown as a function of the 2 (Test condition) × 3 (directions of SAT) on the y-axis.

Figure 1
Sample Means in Study 1 as a function of Test × SAT Settings × SAT size (x-axis in each panel) × PE level (panels from left to right) for correct BIS. The curves within each panel show the cell means of the Test × SAT Settings combinations. Legend: open circles for control condition and closed circles for experimental condition; red solid lines for speed stress, blue dashes for neutral SAT, and green dotted lines for accuracy stress.
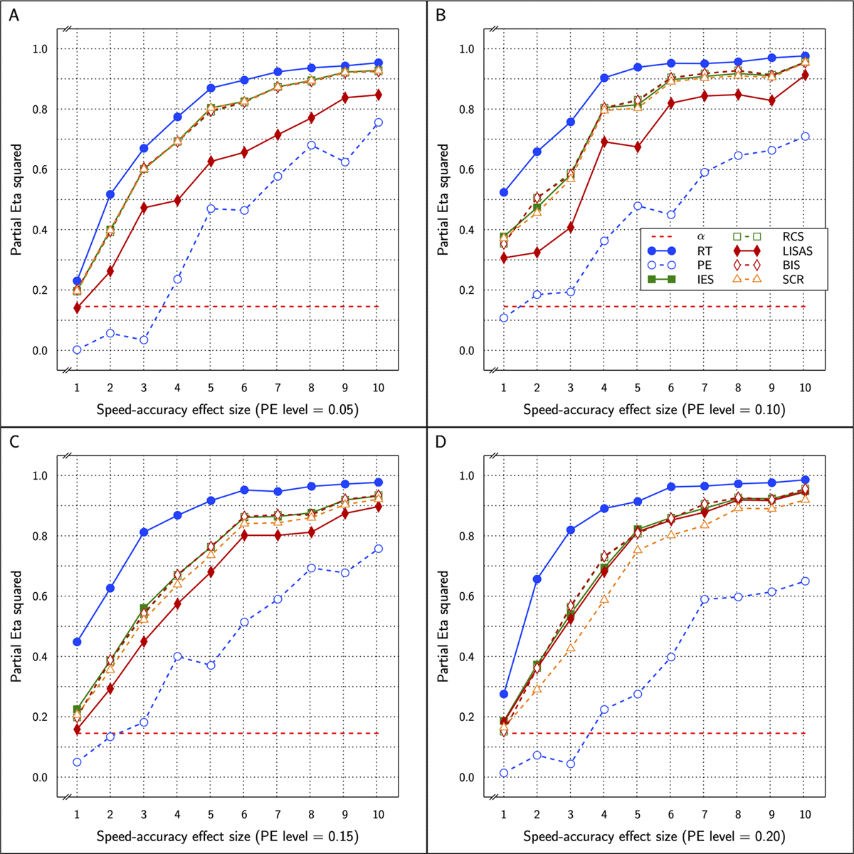
The Test effect on the corrected BIS measures (henceforth, BISc) was significant in all 40 replications (4 PE levels × 10 SAT size steps) and the (partial eta-squared) values ranged between 0.613 and 0.740 (compared to 0.652–0.712 for the original values which also attained significance in all 40 cases). The results of BISc and all the other measures in the study are shown in Figure 2 as a function of SAT size in four panels, one per PE level.

Figure 2
Estimated effect size (ηp2) of the Test effect as a function of the variation in PE (panels A to D) and in SAT size for RT and PE for the five combined measures in Study 1.
Similarly, the SAT effect on BISc was significant in 5 of the 40 replications with between 0.014 and 0.131 (originally 0 of 40 replications were significant and varied between 0.016 and 0.057. Figure 3 shows these findings for all the measures per PE level and SAT size.

Figure 3
Estimated effect size (ηp2) of SAT Settings as a function of PE level and SAT strength for RT and PE and the five combined measures in Study 1. The dashed line (labeled α) represents the significance threshold for these data.
Study 2: SAT Effects based on the Drift-Diffusion Model
Recalculation of BISc in the second study revealed also small differences compared to the incorrect calculations. The means are displayed in Figure 4.

Figure 4
Sample Means in Study 2 as a function of Test × SAT Settings × SAT size (x-axis in each panel) × PE level (panels from left to right) for BISc. The curves within each panel show the cell means of the Test × SAT Settings combinations. Legend: open circles for control condition and closed circles for experimental condition; red solid lines for speed stress, blue dashes for neutral SAT, and green dotted lines for accuracy stress.
As with the original results, the Test effect was significant in all 40 replications (PE level × SAT size) with varying from 0.518 to 0.739 (0.518 to 0.712 in the original results). Figure 5 displays the test effect for all measures in the study as a function of PE level (4 panels) and SAT size within each panel.

Figure 5
Estimated effect size (ηp2) of the Test effect as a function of the variation in PE (panels A to D) and in SAT size for RT and PE for the five combined measures in Study 2.
Whereas the SAT effect was significant in 39 out of 40 replications in the original calculations, the corrected calculations yielded 40 significant SAT effect sizes with ranging from 0.152 to 0.956 (0.141 to 0.955 for the original outcomes). The correct effect sizes of all the measures in the study are displayed in Figure 6.

Figure 6
Estimated effect size (ηp2) of SAT Settings as a function of PE level and SAT strength for RT and PE and the five combined measures in Study 2. The dashed line (labeled α) represents the significance threshold for these data.
Study 3: Reactive Speed-Accuracy Modulations
In the third study, the basic design was different and crossed a Test effect with conditions without and conditions with SAT. This design was also replicated over 4 PE levels and 10 SAT sizes. The means for BISc are displayed in Figure 7, one panel per PE level.

Figure 7
Sample Means in Study 3 as a function of Test × SAT Settings × SAT size (x-axis in each panel) × PE level (panels from left to right) for correct BIS. The curves within each panel show the cell means of the Test × SAT Settings combinations. Legend: Blue for SAT-absent conditions, red for SAT-present conditions; open circles for control condition, closed circles for experimental condition.
As in Studies 1 and 2, the Test effect on the correct and the incorrect calculations were very similar: in both the test effect was significant in all 40 replications with varying from 0.364 to 0.739 in the correct calculations compared to a range between 0.341 and 0.731 in the incorrect analyses. Figure 8 shows the correct outcomes for all the measures in the study.

Figure 8
Estimated effect size (ηp2) of the Test effect as a function of the variation in PE (panels A to D) and in SAT size for RT and PE for the five combined measures in Study 3.
The SAT effect of BISc was significant in 31 of the 40 replications with varying between 0.001 and 0.962 which is very similar to the outcomes of the incorrect values which were significant in 29 out of 40 cases and varying between 0.001 and 0.960. The correct values are shown with the outcomes of the other measures in Figure 9.

Figure 9
Estimated effect size (ηp2) of SAT Settings as a function of PE level and SAT strength for RT and PE and the five combined measures in Study 3. The dashed line (labeled α) represents the significance threshold for these data.
Study 4: Discontinuous Speed-Accuracy Trade-off
In this study a discontinuous model of speed-accuracy trade-off was tested by varying the SAT target levels that had to be achieved. The basic 2 (Test) × 5 (Targets) design was replicated in 2 PE levels × 5 Target size steps. The BISc means are displayed in Figure 10.

Figure 10
Sample Means in Study 4 as a function of Test × SAT Targets × SAT size (x-axis in each panel) × PE level. The row of panels shows the BISc means with respect to PE level × Test, such that the two panels on the left show the control and the experimental condition means at PE level 0.05, and the two panels on the right show the control and experimental condition means at PE level 0.10. Legend: open circles for control condition and closed circles for experimental condition; red solid lines for 75%, orange dashed lines for 80%, yellow dotted lines for 85%, green dashed lines for 90%, and dark green solid lines for 95% target.
The Test effect on the correct calculations was significant in 10 out of 10 replications with values between 0.495 and 0.800 which mimicked the outcomes of the original calculations which were also significant in 10 cases with between 0.404 and 0.787. The correct Test effect values are displayed in Figure 11.

Figure 11
Estimated effect size (ηp2) of the Test effect as a function of the variation in PE (panels A and B) and in SAT size for RT and PE and for the five combined measures in Study 4.
Similarly, for the SAT effects, the correct calculations were significant in all 10 cases with values between 0.755 and 0.901 compared to values between 0.726 and 0.943 for the incorrect calculations. The correct results are shown in Figure 12.

Figure 12
Estimated effect size (ηp2) of SAT Settings as a function of PE level and SAT strength for RT and PE and the five combined measures in Study 4. The dashed line (labeled α) represents the significance threshold for these data.
Discussion
In all the studies, the recalculations of BIS yielded outcomes that were in the same range as the original calculations with the incorrect formula. Therefore, the discussion of the original outcomes is equally applicable to the recalculated outcomes and the conclusions formulated by Vandierendonck (2021) remain valid.
Competing interests
The author has no competing interests to declare.
