Most commentators agreed that the 2008 global economic crisis was the worst since the Great Depression (Crotty, 2009; Kirman, 2010). This still enduring crisis extends across an ample front: While it emerged as a financial crisis, it has since become a general economic crunch; it consequently has affected unemployment, producing in turn a social and ultimately a political crisis in several countries. Its prevalence resides in the fact that “It is a crisis which is simultaneously individual, national and global” (Rudd, 2009, p. 20). Despite the common characteristics of all major downturns, the current crisis challenged economists themselves (e.g., Bresser-Pereira, 2010; Hadjimichalis, 2011), who failed to forecast it, and questioned the current macroeconomic models, which frequently use very unrealistic assumptions in their predictions. Kirman (2010) argued to drop the idea of a rational individual in favor of analyzing “economy as a complex adaptive system, and take the network structure that governs interaction into account” (p. 498). It is important to underline that there is no clear separation between financial markets and the ‘real economy’. Consequently, in this enlarged, interdependent view of the actors involved in the economic situation, the contribution of social psychology becomes crucial: It may enable us to understand how laypeople living in countries affected by the crisis to different degrees make sense of the crisis and react to it.
If making sense of the crisis was difficult even for experts, the same was true for non-specialists, who have been facing its consequences since years. Papastamou and colleagues (2018) depicted a picture of such interpretations considering the causes and the measures to exit the crisis in three different European countries – Greece, Italy and France. Following this work, in the current paper we will try to answer whether laypeople’s understandings were affected by their political self-positioning and their own financial vulnerability. In particular, we are interested to investigate whether people positioning themselves in the middle or at the ends of the political spectrum interpret the crisis in the same way and their political reactions to it.
The economic crisis and its lay representations
In periods of negative and unexpected events, with dramatic confusion and complexity, as the one we are facing due to the crisis, people are motivated to look for explanations accounting for why the event occurred (Försterling, 2001; see also O’Connor, 2012) or to take action in order to overcome the negative situation (Chryssochoou, Papastamou, & Prodromitis, 2013). In the last past years, the interest in the way laypeople understand and represent economic issues has increased more and more. Darriet and Bourgeois-Gironde (2015) have even proposed that lay economic representations should play a major role in economic theoretical modeling. Indeed, the perception is itself a significant economic factor that should be considered in economic analysis. The literature has shown that, generally, there is a discrepancy between public opinion and the economists, ascribing a different relative importance to the economic factors (Gangl, Kastlunger, Kirchler, & Voracek, 2012; Leiser, Bourgeois-Gironde, & Benita, 2010). Blendon et al. (1997), for instance, found that the public had a more negative picture of the financial health of their family than economists. Furthermore, experts associate abstract terms to the crisis more often than laypeople, whereas the public described the crisis in more concrete terms and with moral concerns (Gangl et al. 2012).
In the socio-psychological literature, lay understanding of economics relies on the social representation perspective mainly based on the work of Moscovici (1988). This theoretical framework is designed to capture the shared, common-sense and everyday representations, ideas, opinions, attitudes through which people orient themselves in the world. A previously unfamiliar phenomenon becomes part of the social world of a group and coordinates its actions (Wagner et al., 1999). Recently, Galli et al. (2010) investigated the verbal production of three different socio-economic categories – bankers, small merchants, and economy students – associated with the word “economic crisis”. They found a slightly different lay representation in different countries: Among others, in Greece, it was based on the concepts of ‘poverty’ and ‘unemployment’; in Italy, is was centered on ‘unemployment’, ‘poverty’, and ‘money’. In a French sample, Roland-Lévy, Boumelki and Guillet (2010) found that laypeople differ in their notions of the crisis depending on being or not afraid of its consequences. Leiser and colleagues (2010) showed that laypeople explained a crisis in two cognitively distinct, alternative ways: either the economic crisis is pictured as being due to human frailty, or it derives from the failure of the economic system.
All these studies allow initial conclusions about how individuals perceive and understand the crisis (see Papastamou et al., 2018). However, other relevant questions still need to be answered. It can be assumed that subgroups in the population may have their own notion of the crisis. For instance, research has shown that factors such as education, income or job security may affect laypeople’s outlook (e.g., Allen, Ng, & Leiser, 2005; Bastounis, Leiser, & Roland-Levy, 2004; Walstad & Rebeck, 2002). In the current study, we focused our attention on the role of a) one’s own political self-positioning and b) the feelings of being vulnerable, on lay representations of the economic crisis, and we consider the effects of these two factors on perceptions of causes of the crisis, strategies to overcome the crunch, and intentions to take part in political participation activities.
Shaping effects of left-right political orientation and vulnerability
Political ideology, in the terms of Erikson and Tedin (2003), may be defined as a “set of beliefs about the proper order of society and how it can be achieved” (p. 64). Although the debate on the structure and dimensionality of political ideology is still alive (e.g., Duckitt, 2001; Feldman, 2003; Jost, Federico & Napier, 2009), here we refer to the traditional notion of a single left-right dimension. Several theorists argued that the left-right dimension can be considered as an instrument that people may use to place and orient themselves in the political realm and to reduce its complexity: That is, people’s locations on this dimension indicate their ideological, political orientation (Feldman, 2003; Gunther & Kuan, 2007; Huber & Inglehart, 1995; Knutsen, 1998).
The left-right distinction has been used since the French Revolution where, in the French Assembly, the faction supporting the status quo sat on the right side of the hall whereas its opponents sat on the left. In other countries, the terms ‘liberal’ and ‘conservative’ are used in place of ‘left’ and ‘right. The dichotomy expresses the ideological divide concerning preferences for advocating versus resisting social change and rejecting versus accepting inequality (Jost, Federico et al., 2009; Jost, Krochik, Gaucher, & Hennes, 2009). Specifically, in the economic-hierarchical domain, right-wing attitudes refer to adherence to capitalist ideology, private initiative, and unrestricted competition among individuals. Notwithstanding that the socio-political environment has changed much in recent decades and some authors has challenged its validity in the contemporary political realm, the left-right distinction still “appears to offer both sense and shape to an otherwise complex political reality” (Mair, 2007, p. 208; see also Corbetta, Cavazza, & Roccato, 2009). Additionally, although citizens are far from perfectly using the left-right distinction in abstract ideological terms, they seem to be able to intentionally use broad stems that explain and justify different circumstances of social and political affairs (e.g., Goren, 2004; Jost, Federico et al., 2009; Rathbun, 2007).
One of the most evident consequence of ideological self-positioning is its influence on evaluations of political and socio-economic issues. Wood and Vedlitz (2007), for instance, found in a sample of US citizens that political orientation affected their concern for investing in different policies: Conservatives tended to care more about government spending in defense and security, whereas liberals tended to be more concerned about spending in education, health and social welfare. Substantial research has shown differences also in dealing with uncertainty and fear or justifying the existing societal structure (e.g., Jost, Glaser, Kruglanski, & Sulloway, 2003; Roccato, Vieno, & Russo, 2013; Schlenker, Chambers, & Le, 2012; Van Lange, Bekkers, Chirumbolo, & Leone, 2011). Furthermore, Poeschl and colleagues (2017, this issue) found political self-positioning to be a good predictor of the perceived efficacy of the political participatory activities to deal with the crisis, whereas Chryssochoou and colleagues (2013) showed its effect on intentions to take action.
In the current study, we first hypothesized that political self-positioning on the left-right scale may affect the socio-political representation of the crisis by affecting the causes judged as responsible for the economic crunch and the strategies to be adopted by the countries in order to overcome the downturn. Thus, we expected that some issues will be considered as causes of the crisis (such as attributing the crisis to the nature of the financial and political system) irrespective of political self-positioning because they appear as truisms, whereas others might be supported by left-wing positioned people more than right-wing positioned ones (see for instance the crisis as produced by a system that exacerbates inequalities; see e.g., Jost, Federico et al., 2009; Jost, Krochik, et al., 2009). We also investigated the effect of self-positioning on the type of strategies that are considered important to overcome the crisis. We expected that the strategies related to the respect of finance and austerity policies should be endorsed more by right-wingers than left-wingers, whereas the contrary was expected for management strategies linked to exit from the Eurozone, or a crisis’ management measure that should restrain national austerity and improve conditions for vulnerable groups.
We were also interested in the effects of political self-positioning on political participation activities undertaken in the context of an economic crisis. Brady (1999) refers to political participation as “action by ordinary citizens directed toward influencing some political outcomes” (p. 737; see also Teorell, Torcal, & Montero, 2007; Verba, Schlozman, & Brady, 1995). In this definition, as Ekman and Amnå (2012) noticed, the focus is on manifest and observable actions that people – ordinary citizens – voluntarily take part in with the deliberate attempt to influence others, people in power, in order to make a difference. In their literature review, Ekman and Amnå also developed a theoretical distinction proposing different typologies of political participation. Among them, they describe activism as extra-parliamentary political activities that do not relate directly with political parties or actors. Legal forms of activism include participation in demonstrations, strikes and other protest actions, which are more collective in nature. More individual-level forms of activism include signing or collecting petitions, handing out political leaflets, or boycotting products and brands. Some other forms of activism include unlawful activities, including civil disobedience, violent confrontation with political opponents or the police, violent protests or riots. Previous research reported mixed results concerning the effect of left-right self-positioning on political participation: Some authors have shown that unconventional and illegal form of protests are more frequent among left extremists than right-wingers (e.g., Dalton, 2014; Garelli, Palmonari, & Sciolla, 2006, Italian context), some others did not confirm this prediction (e.g., Rudig & Karyotis, 2014, Greek context) or found a very inconsistent relationship between political ideology and legal form of activism (e.g., Dalton, 2014).
We believe that these inconsistencies suggest that the relationship between political orientation and political opinions (about the crisis’ causes and its management) and participation may not be simply linear. Indeed, as recently shown by Van Prooijen, Krouwel, Boiten, and Eendebak (2015), people positioned at the ends of the political scale were more likely to experience negative emotions and derogation of outgroup in condition of fear more than people positioned at the center (describing a quadratic effect of political ideology), over and above the linear effect (describing the so-called ‘rigidity of the right’). Similar results were found by Van Prooijen, Krouwel and Pollet (2015), which described a curvilinear quadratic relationship between political ideology and endorsement of beliefs in financial conspiracy theories that were more endorsed by people at the political poles than by those at the center of the scale.
Drawing from these results, we set to investigate both the linear and the curvilinear (quadratic) relationship between political self-positioning and causes of the crisis, strategies to manage it and political participation, thinking that in times of crisis left and right wing self-positioned people may differ from those who positioned themselves in the center.
We also considered the role of the perceived vulnerability due to the threatening situation of economic crisis, as influencing representations of the crisis. Vulnerability refers to the perception of a precarious existence (Staerklé, Delay, Gianettoni, & Roux, 2007), which may undermine people’s possibility to make plans and to envision the future. Albeit close to the concept of financial threat (cf. Lemoine, Darriet, Kmiec, & Roland-Lévy, 2017, this issue), which assesses the negative feelings and emotions deriving from the crisis, vulnerability considers the perceived trajectories of being helpless and in need of help. Castel (2003) noticed that social vulnerability, based on a real – or not – material precariousness, makes some people more suspicious and less tolerant, thus weakening social ties, which should specifically ensure the continuity and stability of daily life (Castel, 2003; Likki & Staerklé, 2014).
Becker, Wagner, and Christ (2011) have discussed how economic and financial crises may elicit a kind of unspecific threat because generally ordinary people have difficulties to clearly understand all their complexity. In this situation, people may be motivated to join protest movements to cope with the threat, with the risk of exacerbating intergroup tensions. Chryssochoou and colleagues (2013) found that feelings of vulnerability affected intentions to take action against the crisis in a Greek sample. Here, we expected to replicate the results of Chryssochoou and colleagues, by confirming the effects of vulnerability in motivating political participation, in all its forms. Additionally, we explored how vulnerability would be a predictor, along with political ideology, also of causes’ attributions and crisis’ management strategies. To our knowledge, the past literature has overlooked this theme.
As a final hypothesis, we predicted that endorsement of different causes’ attributions and management strategies would be additional determinants, along with political ideology and vulnerability effects, of political activism. That is, the way in which people understand and explain the crisis may motivate to act.
All our hypotheses were tested considering data from Greek and Italian respondents, to check for possible contextual country differences. The data were collected as part of an ampler project carried out between end of 2011 and 2012, described by Papastamou et al. (2018; see also Chryssochoou et al., 2013) and involving also France and Portugal (see Poeschl et al., 2017).
Method
Participants and procedure
Participants were recruited mainly using a snowball sampling procedure in both countries, by enrolling first university students, who were asked to participate themselves in the study and then to recruit other adults (for additional information, see also Papastamou et al., 2018). For Italians, the questionnaire was available both in paper mode and as on-line web survey implemented with SurveyMonkey (2012). In the latter case, participants were contacted through online social networks, such as Facebook and emails. Respondents were asked to answer a questionnaire in their mother tongue about their opinions on the ongoing economic crisis and were informed about the study’s privacy and confidentiality policies, which included the possibility of withdrawing from the research at any time during the session.
The original convenience sample was composed of 1248 adults. Because of several missing values mainly due to people refusing to express their political orientation (one of our key variable), we focused our attention on the sub-sample that answered to all the variables of interest, 856 participants (44.2% males; mean age = 37.07, SD = 14.06): 529 Greeks (51.8% males, 48.2% females; mean age = 40.26, SD = 14.81, range 18–83 years) and 327 Italians (31.8% males, 68.2% females; mean age = 31.90, SD = 12.37, range 18–65 years). The proportion of males was significantly higher in the Greek sample, χ2(1) = 76.45,p < .001; additionally, the Greek sample was a bit older that the Italian one, t(774.56) = 8.97, p < .001. Finally, participants in both samples were quite well educated (at least some years of university: 52.6% in the Greek sample and 63% in the Italian one).
Measures
The original survey was composed of several parts concerning different aspects of the ongoing economic crisis (see Papastamou et al., 2018). In this article, we will focus only on a subset of variables. Along with respondents’ gender, age and education, we considered the following variables.
Political orientation was measured by asking participants to position themselves on a 10-point scale ranging from 1 (extreme left) to 10 (extreme right) (see Kroh, 2007).
Economic vulnerability. Six items were used to measure the perception of being materially vulnerable in the future (adapted from Staerklé et al., 2007; see also Likki & Staerklé, 2014; Poeschl, Valentim, & da Silva, 2015). They were introduced by the statement “How likely do you think that in one or two years you will…” e.g., “Not being able to pay the bills”. Participants answered on a 7-point scale, anchored by very unlikely (1) to very likely (7). An Exploratory Factor Analysis (EFA) revealed the unidimensionality of economic vulnerability: factor loadings ranged .54–.81 in the whole sample (.45–.83 in the Greek sample, .64–.86 in the Italian one). The explained variance was 52% in the total sample (48% in the Greek sample, 59% in the Italian one). Alpha was .81 (.77 in the Greek sample, .86 in the Italian one).
Causes of the crisis. Participants answered on a 7-point disagreement (1)/agreement (7) scale to 24 items described by Papastamou et al. (2018). Such items were designed, after brainstorming among the research group members and informal consultation of the press, to measure the attribution of the crisis to different causes. The scale is composed of six factors: 1) depletion of resources and the nature of the capitalistic system (eight items e.g., “Production aging made Europe more vulnerable to crisis”); 2) finance system, with banking and financial speculations (five items e.g., “Bad investments of banks”); 3) obscure power conspiracy (three items e.g., “The crisis is part of a larger plan to create a global system”); 4) inequality system (three items e.g., “Unequal distribution of wealth”); 5) overconsumption (three items e.g., “Consumptions beyond their means”); 6) political system, describing decline of politics (two items e.g., “Incompetence of political systems”). Papastamou and collaborators verified the 6-factor solution with confirmatory factor analysis (CFA) and the factorial invariance between the Greek and Italian samples, using structural equation modeling (SEM).1 In the current study, we relied on this structure; alphas ranged between .67 and .80 in the whole sample (.63 < α < .81 for the Greek sample and .62 < α < .78 for the Italian one).
Strategies of crisis’ management. We used ten 7-point disagreement (1)/agreement (7) items see Table 1, measuring possible strategies that should be adopted by countries to overcome the economic crisis. They were designed after considering the solutions depicted in the media. Three factors were hypothesized and confirmed by Papastamou et al. (2018) with SEM2 : conforming to European Union (EU) requests (e.g., “Applying austerity measures”); rationalization of the public sector (e.g., “Diminishing bureaucracy”); and EU exit (e.g., “Exit the Eurozone”, which for the Greek sample was called ‘Grexit’). We also relied on such a structure: Alphas ranged between .60 and .75 in the whole sample (.58 < α < .71 for the Greek sample and .52 < α < .72 for the Italian one).
Table 1
Descriptive Statistics of Sub- and Total Samples, Differences among Means.
| Greek sample | Italian sample | Total sample | |||||
|---|---|---|---|---|---|---|---|
| M | SD | M | SD | p | M | SD | |
| Political orientation | 4.45 | 2.22 | 4.92 | 2.56 | .005 | 4.63 | 2.37 |
| Economic vulnerability | 5.06 | 1.28 | 4.46 | 1.30 | <.001 | 4.83 | 1.32 |
| Cause1. Decadence of capitalism | 3.93 | 1.13 | 4.01 | 1.01 | .358 | 3.96 | 1.08 |
| Cause2. Finance system | 5.27 | 1.03 | 5.26 | .86 | .888 | 5.27 | .96 |
| Cause3. Conspiracy | 5.32 | 1.33 | 3.56 | 1.37 | <.001 | 4.65 | 1.59 |
| Cause4. System inequality | 5.18 | 1.38 | 5.14 | 1.12 | .618 | 5.17 | 1.29 |
| Cause5. Overconsumption | 4.93 | 1.41 | 3.99 | 1.22 | <.001 | 4.57 | 1.41 |
| Cause6. Political system | 6.28 | 1.03 | 6.03 | .98 | <.001 | 6.18 | 1.02 |
| Strategy1. Conforming EU requests | 2.44 | 1.10 | 3.44 | .98 | <.001 | 2.82 | 1.16 |
| Strategy2. Public sector rationalization | 5.65 | 1.23 | 5.21 | 1.04 | <.001 | 5.49 | 1.18 |
| Strategy3. EU Exit | 3.68 | 1.66 | 2.70 | 1.26 | <.001 | 3.30 | 1.59 |
| Activity1. Illegal activism | 2.28 | 1.25 | 1.46 | .86 | <.001 | 1.97 | 1.19 |
| Activity2. Legal activism | 4.07 | 1.42 | 3.16 | 1.51 | <.001 | 3.72 | 1.52 |
| Activity3. Economic resistance | 3.40 | 1.45 | 2.77 | 1.42 | <.001 | 3.16 | 1.47 |
| Activity4. Protectionism | 5.28 | 1.78 | 3.37 | 1.95 | <.001 | 4.55 | 2.07 |
[i] Note. Political orientation is on a 10-point scale, all the other variables on 7-point scales.
Political participation activities. We measured the intentions to participate in a list of 26 political activities (both individual and collective, see Appendix), derived from Chryssochoou et al. 2013 (see also Poeschl et al., 2015). The list was introduced by the statement: “In the context of the actual economic crisis, are you willing to participate in each of the following activities?” Respondents answered on a 7-point scale, from not at all (1) to extremely (7). The items represented different types of political participation as a form of reaction toward the economic downturn: illegal reactions (e.g., ‘Attacking people in demonstration’); legal activism (e.g., ‘Signing petitions’); other forms of the participation such as finance resistance (e.g., ‘taking money abroad’) and protectionism (e.g., ‘boycotting foreigner products’). EFA was applied to this scale, in order to determine the number of factors to retain.3 We performed a Parallel Analysis (O’Connor’s, 2000), that implies a Monte Carlo simulation process. ‘Expected’ eigenvalues are obtained by simulating normal random samples that parallel the observed data in terms of sample size and number of variables. The eigenvalue corresponding to the 95th percentile of the eigenvalues’ distribution derived from the random data was used as criterion. Parallel analyses supported a four-factor solution: The fourth eigenvalue (1.53) was larger than the corresponding 95th percentile random data eigenvalue (1.25). The four-factor solution in the total sample was replicated also in the sub-samples divided by country (see Appendix). Specifically, 10 items loaded on the factor of participation through ‘illegal activism’, 10 on the factor of ‘legal activism’, four in the factor of ‘economic resistance’ and finally two items on the factor describing ‘protectionism’ for the national products. The variance explained by the violent illegal participation was higher in the Italian sample (30%) compared to the Greek one (12%). When considering civic engagement, the opposite was true (27% for the Greek sample and 18% for the Italian one). Alphas ranged between .69 and .89 in the whole sample (.62 < α < .78 for the Italian sample and .63 < α < .81 for the Greek one).
Results
Descriptive statistics. For each scale, we computed a composite score, based on the items’ mean; Table 1 presents the descriptive statistics in the total and sub-samples. The Italian sample declared to be a bit more centrist than the Greek one on the political orientation scale, which was slightly more left-wing oriented. Greeks perceived themselves as more vulnerable than Italians from an economic viewpoint, resembling the harsher economic situation in Greece. Concerning the determinants of the crisis, there is agreement about the causes in both samples: t-tests from the theoretical mid-point (4) revealed that the crisis is attributed to the nature of the finance system, the system inequality, and the political system, but also to the conspiracy of obscure powers (ps < .001). Concerning the latter two causes, they are endorsed more by Greeks than Italians (p < .001; for details, see Papastamou et al., 2018).
When considering the strategies to manage the crisis, both sub-samples indicated the public sector rationalization as the key measure that should be adopted (both means were higher than the theoretical mean, 4, ps < .001). The other two management strategies were less preferred; moreover, the Greek respondents were more inclined to favor solutions such as the Grexit than Italians, whereas the latter preferred to adhere more to the European Union rules compared to Greeks (ps < .001). Finally, in general the level of political participation was not high and was significantly inferior to the mid-point (4) for all the political activities (ps < .001, t-tests), expect for protectionism, which was significantly higher in the Greek sub-sample (p < .001). Generally, Greeks reported stronger intentions to act than Italians (ps < .001).
Table 2 displays correlations among key variables; with the exceptions of few cases, as can been noticed, both political ideology and economic vulnerability correlated with all the key dependent variables. Additionally, the causes generally correlated to each other as well as management strategies did.
Table 2
Correlations among Key Variables.
| 1 | 2 | 3 | 4 | 5 | 6 | 7 | 8 | 9 | 10 | 11 | 12 | 13 | 14 | 15 | |
|---|---|---|---|---|---|---|---|---|---|---|---|---|---|---|---|
| 1. Political ideology | 1 | ||||||||||||||
| 2. Economic vulnerability | –.08** | 1 | |||||||||||||
| 3. Cause1. Depletion of resources | .17*** | .03 | 1 | ||||||||||||
| 4. Cause2. Finance system | –.09** | .05 | .45*** | 1 | |||||||||||
| 5. Cause3. Conspiracy Theories | –.07* | .19*** | .36*** | .30*** | 1 | ||||||||||
| 6. Cause4. Inequality system | –.27*** | .07* | .31*** | .40*** | .32*** | 1 | |||||||||
| 7. Cause5. Overconsumption | .06 | .07* | .38*** | .36*** | .33*** | .25*** | 1 | ||||||||
| 8. Cause6. Political system | .07* | .13*** | .30*** | .38*** | .31*** | .29*** | .29*** | 1 | |||||||
| 9. Strategy1. Conforming EU requests | .21*** | –.15*** | .10** | –.06 | –.34*** | –.19*** | –.02 | –.12*** | 1 | ||||||
| 10. Strategy2. Public sector rationalization | .10** | .03 | .10** | .26*** | .13*** | .01 | .24*** | .23*** | .03 | 1 | |||||
| 11. Strategy3. EU exit | –.14*** | .20*** | .07* | .01 | .36*** | .21*** | .08* | .07* | –.27*** | –.12*** | 1 | ||||
| 12. Activity1. Illegal activism | –.18*** | .26** | .01 | .01 | .33*** | .11** | .11** | .02 | –.21*** | –.13*** | .43*** | 1 | |||
| 13. Activity2. Legal activism | –.39*** | .19*** | –.01 | .13*** | .31*** | .24*** | .08* | .08* | –.26*** | .04 | .33*** | .42*** | 1 | ||
| 14. Activity3. Economic resistance | .09** | .25*** | .11** | .04 | .24*** | –.01 | .16*** | .09** | .01 | .04 | .29*** | .40*** | .22*** | 1 | |
| 15. Activity4. Protectionism | .07* | .20*** | .15*** | .06 | .36*** | .03 | .21*** | .23*** | –.20*** | .25*** | .27*** | .21*** | .31*** | .23*** | 1 |
[i] * p ≤ .05. ** p < .01. *** p ≤ .001.
Regression analyses
We then performed a series of regression analyses, on the total sample, in order to identify the significant predictors of the causes, strategies, and political activities. For the causes and the strategies, we employed the same model: In the first step, we considered demographics as determinants: country, gender and age. In a second step, we added our key predictors: the linear effect of political ideology, its quadratic effect and the economic vulnerability.4 Following recommendations for quadratic regression analyses by Cohen, Cohen, West and Aiken (2003), we mean-centered political ideology and computed the quadratic term based on this mean-centered variable.
Causes of the economic crisis. Concerning the perceived causes of the crisis, in the first model considering the demographics (Table 3, Model 1), results showed the effects of country of residence; Greeks considered obscure power conspiracy, overconsumption and political system as causes of the crisis more than Italians. Additionally, gender effects emerged: Women considered decadence of the capitalistic system, the financial and political systems, as reasons of the downturn more than men. Moreover, age effects emerged: Older people considered all the causes as more central than younger people. The addition of the key variables in Model 2 (Table 3) revealed as expected the predictive effect of economic vulnerability on all causes except for overconsumption. A more complex picture emerged for political orientation. There is no effect, linear nor quadratic, of political ideology on three causes: the financial system, obscure power conspiracy and the political system. Those causes are considered as generators of the crisis, independently from the left/right political self-positioning. On the contrary, political ideology exerted both linear and quadratic effect on causal attribution to overconsumption. Analysis of the slopes (Figure 1) showed that this cause is attributed more by centrists than people self-positioned to both left and right poles of the scale (the quadratic effect was negative). When the dependent variable was the cause ‘inequality system’, results showed in line with literature (Jost, Federico et al., 2009; Jost, Krochik et al, 2009) that the leftists considered the presence of a system of inequalities as a cause of the crisis more than right-wingers (negative linear effect). However, centrists tended to adopt this cause much less than both leftists and right-wingers (marginal positive quadratic effect). Finally, a linear effect of political self-positioning pointed out that the attribution of the crisis to resources depletion was mainly endorsed by right-wingers.5
Table 3
Predictors of the Causes of the Crisis: Regression Analyses.
| Causes of the crisis | |||||||
|---|---|---|---|---|---|---|---|
| Model | Resources depletion | Finance system | Obscure power conspiracy | Inequality system | Over-consumption | Political system | |
| Β | Β | Β | Β | Β | Β | ||
| 1 | Country (0 = Italy; 1 = Greece) | –.03 | –.03 | .50*** | –.03 | .31*** | .12*** |
| Gender (0 = female; 1 = male) | –.16*** | –.08* | –.02 | –.05 | –.02 | –.08* | |
| Age | .11*** | .19*** | .13*** | .18*** | .07* | .07* | |
| R2 | .04*** | .04*** | .30*** | .03*** | .11*** | .02*** | |
| 2 | Country (0 = Italy; 1 = Greece) | –.051 | –.07 | .46*** | –.07* | .29*** | .08* |
| Gender (0 = female; 1 = male) | –.17*** | –.06 | –.01 | –.02 | –.02 | –.07* | |
| Age | .17*** | .21*** | .17*** | .18*** | .10** | .12** | |
| Political ideology (linear effect) | .22** | –.06 | –.01 | –.27*** | .14*** | .10 | |
| Political ideology (quadratic effect) | –.06 | .01 | .03 | .06° | –.11** | .02 | |
| Economic vulnerability | .08* | .10** | .13*** | .11** | .03 | .14*** | |
| R2 | .08*** | .05*** | .31*** | .11*** | .13*** | .05*** | |
| Δ R2 | .04*** | .01*** | .01*** | .08*** | .02*** | .03*** | |
[i] ° p < .07. * p ≤ .05. ** p < .01. *** p ≤ .001.

Figure 1
Graphic representation of the linear and quadratic (dashed lines) effects of political ideology on the crisis cause ‘Overconsumption’.
Note. Political ideology was measured on a 10-point scale, where 1 = extreme left and 10 = extreme right; the quadratic term was mean-centered. The cause was measured on 7-point scale.
Strategies to manage the economic crisis. Table 4 summarizes the findings of the regression analyses concerning the strategies to manage the crisis. In Model 1 effects of country of belonging emerged. Greeks considered policies of public sector rationalization and exit the Eurozone as more useful than Italians. The latter preferred more than Greeks to conform to the European Union requests. Neither age nor gender effects were found apart from a positive age effect on public sector rationalization.
Table 4
Predictors of the Strategies of the Crisis Management: Regression Analyses.
| Strategies of crisis management | ||||
|---|---|---|---|---|
| Model | Conforming EU requests | Public sector rationalization | EU Exit | |
| Β | Β | Β | ||
| 1 | Country (0 = Italy; 1 = Greece) | –.40*** | .13*** | .30*** |
| Gender (0 = female; 1 = male) | –.04 | .01 | .05 | |
| Age | –.04 | .19*** | –.02 | |
| R2 | .18*** | .07*** | .09*** | |
| 2 | Country (0 = Italy; 1 = Greece) | –.39*** | .10** | .26*** |
| Gender (0 = female; 1 = male) | –.05 | .01 | .07* | |
| Age | –.02 | .24*** | –.01 | |
| Political ideology (linear effect) | .23*** | .18*** | –.17*** | |
| Political ideology (quadratic effect) | –.19*** | –.10** | .16*** | |
| Economic vulnerability | –.06* | .07* | .15*** | |
| R2 | .24*** | .10*** | .15*** | |
| Δ R2 | .06*** | .03*** | .06*** | |
[i] * p ≤ .05. ** p < .01. *** p < .001.
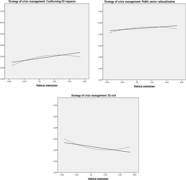
The addition of the key independent predictors in Model 2 (Table 4) revealed the predictive effect of economic vulnerability on all the strategies, showing a moderate negative effect on conformism to EU requests. Results also showed significant effects – both linear and quadratic – of political ideology on all the strategies. Analyses of the slopes (Figure 2) showed that for both the strategies that deal with austerity measures (conforming to EU requests and public sector rationalization), these were more endorsed the more one positioned oneself towards the right. However, the quadratic effects indicated that those positioned at the center endorsed these harsh strategies more than those positioned at the ends of the political spectrum. An opposite pattern was found for the exit from the Eurozone, which was less viewed as a good strategy by those positioned in the center than those choosing the two poles of the political scale (Figure 2, at the bottom).6

Figure 2
Graphic representations of the linear and quadratic (dashed lines) effects of political ideology on the strategies of crisis management ‘Conforming to EU requests’ (on top left), ‘Public sector rationalization’ (on top right), and ‘European Union Exit’ (at the bottom).
Note. Political ideology was measured on a 10-point scale, where 1 = extreme left and 10 = extreme right; the quadratic term was mean-centered. Causes were measured on 7-point scale.
Political participation activities. A final set of analyses considered the four types of political participatory actions as dependent variables. Along with the two models including demographics and then the key predictors as done for the previous sets of analyses, we add a third step, in which all the causes and the strategies were added as predictors. The hypothesis was indeed that such set of beliefs may work as additional motivators of the political action.
Results of Model 1 (Table 5) showed that in general Greeks are more prone to react to the crisis than Italians. Additionally, men and the youngest were more incline to violent forms of participation, whereas women and the oldest to legal ones. The addition of key predictors in Model 2 (Table 5) showed that economic vulnerability was a good and consistent determinant of political action, impacting on all forms of participation. Findings depicted a different picture for political ideology. On the one hand, political self-positioning had only a linear effect on the activity of economic resistance (negative) and on protectionism (positive). On the other hand, political participation had both linear and quadratic effects on legal and illegal form of activism. When looking at the slopes (Figure 3), concerning the violent form of participation, those at both ends of the spectrum were keener to endorse such activities than those positioning themselves at the center. The linear effect of political ideology was negative and much stronger on legal activism: more right-wing oriented people reported less intention to engage in these activities. However, the quadratic effect revealed that people at the poles were more inclined to take part in civic engagement activities.7
Table 5
Predictors of the Political Participation Activities: Regression Analyses.
| Political participation activities | |||||
|---|---|---|---|---|---|
| Model | Illegal activism | Legal activism | Economic resistance | Protectionism | |
| Β | Β | Β | Β | ||
| 1 | Country (0 = Italy; 1 = Greece) | .35*** | .28*** | .24*** | .46*** |
| Gender (0 = female; 1 = male) | .14*** | –.07* | .07* | –.08* | |
| Age | –.15*** | .10** | –.17*** | .02 | |
| R2 | .15*** | .10*** | .07*** | .21*** | |
| 2 | Country (0 = Italy; 1 = Greece) | .30*** | .21*** | .19*** | .43*** |
| Gender (0 = female; 1 = male) | .17*** | –.03 | .08* | –.08* | |
| Age | –.14*** | .09** | –.10** | .08* | |
| Political ideology (linear effect) | –.24*** | –.37*** | –.09** | .14*** | |
| Political ideology (quadratic effect) | .19*** | .08* | .04 | .01 | |
| Economic vulnerability | .17*** | .14*** | .21*** | .13*** | |
| R2 | .24*** | .24*** | .12*** | .24*** | |
| Δ R2 | .09*** | .14*** | .05*** | .03* | |
| 3 | Country (0 = Italy; 1 = Greece) | .19*** | .11* | .09* | .32*** |
| Gender (0 = female; 1 = male) | .16*** | –.06° | .08* | –.07* | |
| Age | –.14*** | .06 | –.12*** | .02 | |
| Political ideology (linear effect) | –.20*** | –.30*** | –.06 | .09* | |
| Political ideology (quadratic effect) | .15*** | .04 | .04 | .01 | |
| Economic vulnerability | .13*** | .09** | .16*** | .07* | |
| Resources depletion | .01 | –.07° | .02 | .10* | |
| Finance system | .01 | .04 | .01 | –.07* | |
| Obscure power conspiracy | .16*** | .12** | .15*** | .06 | |
| Inequality system | –.02 | .08* | –.09* | –.05 | |
| Overconsumption | .04 | –.02 | .07 | –.02 | |
| Political system | –.04 | –.01 | .02 | .11** | |
| Conforming EU request | .05 | –.02 | .16*** | –.02 | |
| Public section rationalization | –.12*** | .05 | .01 | .18*** | |
| EU exit | .25*** | .19*** | .23*** | .17*** | |
| R2 | .34*** | .30*** | .21*** | .32*** | |
| ΔR2 | .10*** | .06*** | .09*** | .08*** | |
[i] ° p < .07. * p ≤ .05. ** p < .01. *** p < .001.

Figure 3
Graphic representations of the linear and quadratic effects (dashed lines) of political ideology on the political participation activity ‘Illegal activism’ (on the left side) and ‘Legal activism’ (on the right side).
Note. Political ideology was measured on a 10-point scale, where 1 = extreme left and 10 = extreme right; the quadratic term was mean-centered. Causes were measured on 7-point scale.
In Model 3 (Table 5), causes and strategies were used as additional predictors of political participation, after taking into account the demographics, vulnerability and political self-positioning. The most consistent effects were: a) among the causes, the belief that the crisis is due to a conspiracy; b) among the strategies, the exit the Eurozone that motivated positively both illegal and legal forms, and economic resistance. Crisis attribution to the system inequality promoted legal activism and inhibited economic resistance. Protectionism was influenced by a variety of causes (positively by resources depletion and the failure of the political system, negatively by finance system) and strategies (positively by EU exit and public sector rationalization). It is worthwhile noticing that overconsumption didn’t impact at any the political participatory activities.
Discussion
With the present research, we expanded the work by Papastamou and colleagues (2018), by explaining lay representations of the recent economic downturn in the light of political self-positioning and feelings of vulnerability. We investigated two contexts, Greece and Italy, which were hit by the crisis to a different extent. According to Meadway (2013), during the economic downturn the burden of the private (mainly finance) sector crisis became a burden for public finances, i.e., a problem of all the society and citizens. This situation has forced some European countries to accept severe programs of fiscal austerity and structural reforms. A situation of inequalities was thus exacerbated because assistance and protection of vulnerable groups diminished resulting in high social costs (Leahy et al., 2015). Cavero and Poinasamy (2013) reported how the impact of austerity measures in Greece – the EU country that suffered the most – have led an ample part of the population in dire conditions. They also reported how the already fragile Italian economic situation became more severe with the crisis, and that the austerity measures applied were unsuccessful in generating economic growth or reducing debt.
This threatening situation has made the feelings of material economic vulnerability salient. Our results confirmed the consistent role of this factor in lay representations of the crisis and political participation. In all the cases, with the exception of overconsumption, economic vulnerability was positively linked to causal attributions about the crisis (see Becker et al., 2011), depicting a negative vision of the world (see Staerklé et al., 2007). This effect was in some cases amplified by the local conditions and situation: Indeed, vulnerable Greeks, compared to vulnerable Italians, attributed more the crisis to an obscure power conspiracy and to the failure of the political system. Vulnerability also affected opinions about the policies to be used to overcome the crunch: It was positively linked to public sector rationalization and the choice to exit the Eurozone (especially for more self-perceived vulnerable Greeks), and negatively with a conformist strategy towards the austerity imposed by the EU. Vulnerability was finally a positive drive of all investigated forms of political participation. This is particularly important, because threatening situations may also elicit passive reactions, such as depression (cf. Chryssochoou et al., 2013). It is interesting to note that self-perceived vulnerable Greeks intended, more than self-perceived vulnerable Italians, to engage in illegal forms of participation, perhaps due to the harsher condition in their country. In this study, we focused our attention on a subjective indicator of material vulnerability. Future research should also consider the conjoint effect of subjective and objective indicators of vulnerability (i.e., using a number of indicators including not only income, but for instance unavailability of alternative resources), to detect whether an objective vulnerable economic condition has a similar or different effect on lay representations (for an example of the differential effect of subjective and objective indicators in the economic inequalities domain see Willis, Rodríguez-Bailón, López-Rodríguez, & García-Sánchez, 2015). Future research should also investigate how vulnerability may relate to grievances and relative deprivation (Pettigrew, 2002; Walker & Smith, 2002) in explaining lay representations and political participation (see Chryssochoou et al., 2013).
At a more descriptive level, findings revealed that all the proposed crisis’ causes are regarded as valid explanations of the economic situation, showing an overall complex – nor simplified, but neither correct per se (see Gangl et al., 2012) – understanding of what happened. The peculiarity of this lasting hard situation may have given a chance for people to learn about the situation. Differences between Greek and Italian participants reflect contextual factors to some degree (cf. Prodromitis et al., 2017). It is worthwhile to note, for instance, that Greeks endorsed crisis attributions to conspiracy theories to a much higher degree than Italians. Conspiracy theories may be conceptually defined as the tendency to explain prominent political and societal events as due to a plot by hidden, powerful agents to achieve malevolent aims through systematic deception of the public (e.g., Swami & Furnham, 2014; Zonis & Joseph, 1994) and may serve to make sense of threatening situations (e.g., van Prooijen, Krouwel, & Pollet, 2015). As noted by Knight (2013), especially in Greece, “austerity measures create[d] tangible sense of destitution and persecution” (p. 149), augmenting the gap between political rhetoric and the social reality experienced by ordinary people (see also Pelkmans & Machold, 2011; Sutton, 2003). As a consequence the appeal of conspiracy theories increased.
This observation might also partially explain why we did not replicate the findings by van Prooijen, Krouwel and Pollet (2015), where conspiracy theories were endorsed mainly by extremists compared to moderates, depicting a positive curvilinear effect. In our results, there was no significant correlation between political self-positioning and attribution to conspiracy theories: In the context of this specific economic crisis, we may argue that this sense of ‘persecution’ is not linked to individual political ideology, but maybe to one’s feeling of being ordinary people oppressed by powerful (international) politics (Pelkmans & Machold, 2011). In this way, the belief that malevolent ‘unknown others’ oppress people becomes a shared representation among the non-elites, independently of their political view. Another interesting result about the endorsement of conspiracy beliefs is that it is a motivator of political participation (illegal and legal activism, and economic resistance), also beyond the effects of ideology and personal vulnerability. Thus, our results show a possible positive effect of conspiracism as an engine to social change attempts. It is worthwhile noting that this contrasts previous research showing that conspiracy theorizing decreases civic engagement (e.g., Jolley & Douglas, 2014). Such different findings may be due to the subjective high relevance and importance of the immediate economic crisis consequences for the individuals in our study.
Our findings highlighted the role of the left–right dimension for individuals’ ability to orient themselves in economics and politics (Kroh, 2007). Concerning the causes of the crisis, the lack of effects on conspiracy theories, and on the failures of the financial and political systems may simply reflect a diffuse very negative representation of the reality that is shared across the whole political spectrum. Instead, the effects of political self-positioning on attribution to inequality system and overconsumption (Figure 1) are better represented when considering both linear and curvilinear associations (see van Prooijen, Krouwel, Boitenet al., 2015). Specifically, centrists and right-wingers share a lower attribution of the crisis to a system of inequality which is endorsed by leftists. There is a tendency for this cause to be less endorsed by centrists. On the contrary, when it comes to overconsumption, those who positioned themselves as centrists endorsed this cause more than people positioned at the ends of the political spectrum. Thus, it seems that people who position themselves in the center consider that the crisis is less due to systemic inequalities and attribute it to more individually oriented causes with a blaming connotation such as overconsumption.
A curvilinear relationship was also the best way to describe the relationships between political ideology and the support for crisis management strategies. People self-positioned at both left and right poles were less inclined than centrists to accept austerity, which increases population’s vulnerability (Cavero & Poinasamy, 2013). Thus, conforming to EU requests and public sector rationalization were less judged as useful to solve the crisis. On the contrary, left- and right-wingers – more than centrists – considered it useful to exit the Eurozone, confirming previous research on Euroscepticism (Lubbers & Scheepers, 2010; Steenbergen, Edwards, & De Vries, 2007). The opinions of the centrists conform more to the European Union dictate of austerity. It is noteworthy that those considered moderates politically were expressing political views in accordance with individualistic values and harsher views towards vulnerable groups. Future research should investigate whether, in expressing their opinions, centrists take into account the difficulties that austerity brings to some groups.
Our results showed that centrists endorsed harsher austerity measures and were less engaged to take part in conflictual action than people self-positioned at the left or right pole. Considering these findings, one could argue that in time of crisis, centrists do not behave as moderates, they appear more as conformists and less keen to change the situation. Indeed, recent research has deeply questioned that self-positioning on the left-right spectrum as centrist is equal to representing oneself as a moderate – that is, the genuine mid-point location between left and right ideology (Rodon, 2015; Scholtz & Zuell, 2016). Indeed, being moderate may sometimes reflect the lack of political sophistication and/or individuals’ voting patterns – namely, result of parties’ ideological distribution on the left-right scale (Rodon, 2015). Future research in this domain might better investigate what motivates (e.g., fear) respondents’ self-positioning on the left-right spectrum. For instance, it might be worthwhile testing the presence of a motivated social cognition (Jost, Krochik, et al., 2009), according to which threatening situations lead to a shift of right-wingers to more progressive policies and centrists to more conservative shifts. It could also be that the effects we observed on centrists, were the result of the ideology of a class that aspires to social mobility and see itself as exonerated from the consequences of austerity reserved to undeserving others.
Respondents showed, in general, quite low intentions to act against the crisis. However, it is worthwhile noticing that Greeks who were under harsher conditions, expressed higher intentions compared to Italians. Political orientation was also a consistent predictor of all the four types of political participation. Its linear effect revealed that in general right-wingers are less prone to take action than left-wingers in order to change the society. However, the curvilinear effect established a more nuanced picture. While for legal activities the quadratic effects were quite smoothed (but significant), when considering violent forms of participation, the curvilinear effect showed that people self-positioned at the center differentiate themselves from those at the poles. These results partially disconfirm previous research depicting leftists as more prone to violent reactions to promote social change than right-wingers (Dalton, 2014), or suggesting no relation between these two variables (Rudig & Karyotis, 2014).
It is important to clarify that here we measured political ideology as a self-positioning variable with a single item. If the intention is to measure ideology more broadly one should definitively use multi-item and/or multi-dimension scales (Jost, Federico et al., 2009). Additionally, it would be interesting to relate political orientation with party identification, since in multi-party systems it is observed that the distinction between left-right contents is not so clear and both conservative and progressive parties might share worldview or values that support the actual socio-economic system (see Corbetta et al., 2009; Mair, 2007). In any case, dissatisfaction with policies and blurred boundaries between left and right might increase support for populists and far right movements. Thus, more research is needed on these topics.
To conclude, we believe that our results, despite limitations, illustrated how social psychology may be useful to depict the socio-political lay interpretations of threatening and complex situations such as the economic crisis and how these interpretations may fuel people’s reactions to overcome the situation.
Notes
[6] The 6-factor structure was also confirmed for an additional French sample, that was not considered in our study, since not all the key variables were collected in that country.
[7] The 3-factor solution was also confirmed in a French sample (see Papastamou et al, 2018).
[8] While for the crisis’ causes and strategies we relied on the CFA based on a 3-country sample (Greece, Italy, and France) described by Papastamou and colleagues (2018), for political participation we preferred an EFA approach, because we did not hypothesize an a priori factor structure.
[9] For the sake of simplicity, here we present the results by including directly the quadratic effect of political orientation in the second step along with its linear effect. We then performed an additional check, by adding the quadratic effect alone in a third step. In this case, findings did not change: the quadratic effect, when significant, contributed significantly also to the increment of explained variance.
[10] As an additional check with explorative purposes, we built the 2-way and 3-way interaction terms between the key variables (political orientation and vulnerability) and country. We then added them in each regression model (Model 3). For the sake of parsimony, we only report the significant effects. A significant interaction country × vulnerability (Βst = .27, p = .024) was found on crisis caused by ‘obscure power conspiracy’ which was more endorsed by vulnerable Greeks than Italians. For the cause ‘inequality system’, we found an interaction country × political orientation (Βst = –.22, p < .001), endorsed more by Italian right-wingers than Greek right-wingers. Finally, we found a country × vulnerability effect on the political system as cause (Βst = –.38, p = .009), endorsed less by vulnerable Italians than Greeks. No other significant interactions were found.
[11] Also for the strategies, we checked the 2-way and 3-way interaction terms’ effects with explorative purposes. We found a significant interaction effect of country × political orientation (Βst = .16, p = .002) for conformism to EU requests; Βst = .21, p < .001 for public sector rationalization), indicating that this linear effect was mainly driven by Greek respondents. In the case of the strategy of public sector rationalization, we found a significant interaction involving country × political orientation quadratic (Βst = –.19, p = .001): the decomposition revealed that a negative quadratic effect was greater for Greeks than Italians. Finally, when the strategy considered was exit the Eurozone, an interaction country × political orientation emerged (Βst = –.35,p < .001): The decomposition of the effect, showed that linear effects in the two subsamples were in opposite directions, resembling the national local political debate to exit or not the Eurozone, by political parties of both sides. In predicting this strategy, we also found a country × vulnerability interaction (Βst = .45, p < .001), indicating a greater value for Grexit for more vulnerable Greek participants.
[12] Before proceeding with Model 3 (Table 5), for explorative purposes we checked the 2-way and 3-way interaction terms’ effects, as we did for the causes and the strategies. We found significant interactions effect country × political orientation (Βst = –.14, p = .006, indicating stronger intentions of Greek leftists than Italian leftists to engage in violent action) and country × vulnerability interaction (Βst = .48, p < .001, indicating stronger intentions of Greek more vulnerable respondents than Italian ones). However, the former effect disappeared when considering the additional variables of Model 3.
Additional Files
The additional files for this article can be found as follows:
Additional file 1: Appendix. Factor Loadings for Exploratory Factor Analyses of the Political Participation Intentions, for the Sub- and Total Samples. https://doi.org/10.5334/irsp.95.s1
Acknowledgements
We would like to thank Giorgio Brioschi, Elena Scorza and Rita Scorza and for their helping with data collection.
Competing Interests
The authors have no competing interests to declare.
