Introduction
Satellite infrastructure provides countless invaluable global services, like weather forecasting, navigation, communication, and the Internet. However, our growing use of space-based infrastructure presents issues as Earth’s orbits become increasingly congested with satellites and associated debris pollution. As Earth’s orbits become more crowded, the chances of damaging collisions between objects increase. Debris is initially produced as a byproduct from the upper stages of satellite launch vehicles. They can also be created in-orbit from defunct satellites, broken satellite pieces, and collisions with other debris (Morin & Richard, 2021). Because of the extremely high velocities of orbital debris, even small objects can cause catastrophic damage to orbiting infrastructure. Low Earth Orbit (LEO), an orbital band extending from Earth’s surface to an altitude of 2000 km, is particularly crowded with space debris (IADC, 2007). The European Space Agency (ESA) estimates that there are approximately 39,000 pieces of debris orbiting Earth (ESA Space Debris Office, 2023), with much of this in LEO. In fact, the amount of debris could reach a critical limit resulting in Kessler Syndrome, where orbital collisions produce fragments that initiate a runaway feedback loop of continual debris collisions and fragmentation (Kessler et al., 2010; Kessler & Cour-Palais, 1978). Such a scenario could render many potential orbits unusable, or at least highly dangerous to navigate due to self-propagating collisions and dense debris congestion.
A significant challenge with addressing debris pollution is that Earth’s orbits can be considered a global commons that is vulnerable to resource overexploitation. Orbital space is a limited natural resource under an open-access regime (Bradley & Wein, 2009; Jain & Rao, 2022). In other words, LEO is an exhaustible (i.e., one person’s use of the resource takes away from another person’s ability to consume it) and non-excludable resource (i.e., it is costly for one user to impede another from using the good). Diverse stakeholders using the orbital commons produce space debris as an externality or byproduct of their operations. This inherently global yet disconnected nature of space activities presents collective action challenges. Although the consequences of debris collisions can affect all, a majority of debris is produced by just a few countries. Further, there is little incentive for individual actors to take on the costs of debris removal or mitigation. Indeed, several studies have linked Ostrom’s work on global commons to orbital space, emphasizing that the global scale and diffuse responsibilities make management both urgent and complex (Adilov et al., 2015; Bongers & Torres, 2023a).
Despite these tangible collective risks, growing economic opportunities and a lack of binding legal agreements contribute to the growth of space debris (Rao & Rondina, 2022; Yap & Truffer, 2021). One study projected approximately 1,400 satellites to be launched annually until 2030 (Peeters et al., 2020), a substantial addition to the around 10,000 satellites already in orbit (ESA Space Debris Office, 2023). Space-based industries have evolved from being funded and run by governments in the 1950s to 1970s, to a second phase in which commercial space businesses become more prominent, including a more recent third phase since 2000 in which private space companies fund their activities with venture capital (Peeters, 2021). This so-called New Space Age is characterized by high concentration of private space actors and new arrangements between public and private entities (Peeters, 2021). Technological advances like cheaper production of small satellites combined with low barriers to entry for launching have contributed to an increasing number of launches. At the same time, more nations are establishing space agencies (Kommel et al., 2020). As the landscape of actors grows, so do the potential sources of space debris. However, governance overseeing the activities of these new arrangements does not adequately contain debris externalities (Mendenhall, 2018). As we enter a time with booming space industries, we must consider how we interact with the orbital environment to sustain a relatively debris-free operable environment.
Recognizing this, multi-pronged solutions have been called for around monitoring, mitigation, and removal of debris (Morin & Richard, 2021). Monitoring capabilities have significantly improved in recent years. Monitoring debris and satellites is crucial for adapting to increasingly crowded orbits, allowing operators to enhance space situational awareness to avoid collisions and plan orbital routes (Drmola & Hubik, 2018). Diverse mitigation measures to reduce the creation of space debris have been proposed with varying levels of adoption by national space agencies. Satellite in-orbit operational strategies like utilizing less crowded orbital routes, adjusting satellite attitudes, and even performing avoidance maneuvers are common (Drmola & Hubik, 2018). Simultaneously, more effort is going into minimizing the debris produced per launch and enforcing stricter end-of-life-removal standards. Limiting launch rates is also a mitigation strategy, although perhaps less feasible in this current New Space Age. However, studies have shown that even if all future launches were subject to mitigations, it may not be enough to prevent debris accumulation (Klima et al., 2018). In response, active space debris removal is emerging as a technological solution from the private sector (Klima et al., 2018). Active debris removal entails manually disposing of debris, commonly by lowering the altitude of the debris so that it burns up in Earth’s atmosphere. While active debris removal may be integral to sustainable orbits, purely technological solutions are unlikely to fully address the issue (Rao et al., 2020). Despite this, holistic strategies for monitoring, mitigation, and removal efforts have yet to be defined or adopted. A combination of approaches will likely be needed to sustain clear orbits and avoid “tipping points” like Kessler Syndrome. Acknowledging this need for an integrated response, our study develops a simple mathematical model of the relative effectiveness of debris mitigation and removal actions. We discuss policy strategies under realistic governance factors by linking to an existing natural resource management framework (i.e., social-ecological systems, described below), while providing simple and clear modeling approaches that can be useful for communicating in policy and education contexts.
Space Debris in a Social-Ecological System
Social-ecological systems can be useful for describing environmental outcomes such as the management of space debris. The framework has been used to understand how interactions between resource systems, resource units, users, and governance systems can influence collective action and sustainable natural resource use in environmental commons (Ostrom, 2009). While often applied to local and regional-scale instances (e.g., small-scale fisheries, community-based forestry), the framework has also been used to study cooperation in larger-scale international systems, for example, the ozone layer and Atlantic bluefin tuna (Cox, 2014; Fleischman et al., 2014). More recently, social-ecological studies have examined outer space by describing lunar resources through this framework (Kuhn et al., 2022). By identifying the characteristics that lend themselves to self-organization, we can consider the potential of stakeholders to collaboratively deal with space debris. Space debris is an issue at all orbital levels and of specific relevance to LEO. The resource units are empty or usable orbits for satellites. The externality affecting this system is debris, produced and managed by the system’s users and governance system. The users range from national governments to corporations focused on space exploration to space debris cleanup. A governance system includes formal and informal arrangements used by actor(s) to interact with a resource (international agreements; national policies; private sector rules). The Outer Space Treaty and the Liability Convention are two such international agreements.
All social-ecological systems exhibit complex dynamics (Ostrom, 2009; Preiser et al., 2018), where interactions within and between the Resource, User, and Governance subsystems can lead to surprising outcomes. Kessler Syndrome is arguably the most notable tipping point in the orbital commons. Tipping points in social-ecological systems represent inflection points where small quantitative changes induce a non-linear response driven by positive feedback, producing a qualitatively different state (Folke et al., 2004; Lenton, 2013; Milkoreit et al., 2018; Scheffer et al., 2012). Even incremental additions of space debris could lead to a scenario where space-based services are compromised, future space operations are more difficult, and governance strategies have to focus on reversing the effects of Kessler Syndrome rather than avoiding it. Such nonlinear dynamics can be crucial turning points for the trajectories of social-ecological systems (Mathias et al., 2020). Modeling key aspects affecting debris outcomes offers a way to assess the system’s sustainability.
Existing models of orbital debris generally fall into two broad categories: physically realistic models of collisions with debris and physical-economic models of market forces related to orbital debris accumulation. Foci of collision models include: risk to aircraft (Carbon & Larson, 2005; Patera, 2008), the origin and dispersion of a given cloud of debris (Flegel et al., 2009), debris environment modeling (Klinkrad, 2006; Krag et al., 2008; Lewis et al., 2001), risk from falling debris (Larson, 2005), and collision probabilities (Li et al., 2022). These models serve to inform, among other things, evasive action air- and spacecraft can take in the event of a likely collision with space debris.
Physical-economic models, on the other hand, examine how varying economic incentives and market forces influence the amount of debris in LEO (e.g., Grzelka & Wagner, 2019; Klima et al., 2018; Macauley, 2015; Muller et al., 2011; Rouillon, 2020). Adilov and colleagues (2015) examined private incentives to launch satellites and mitigate the accumulation of debris. They found that active debris removal alone may not be sufficient to avoid Kessler Syndrome entirely, as the technology is underdeveloped, costly, and might worsen matters (Rao et al., 2020). Instead, a two-fold approach of active removal and passive strategy will likely be most effective (Adilov et al., 20152020; Bongers & Torres, 2023a). Possible passive strategies and policy interventions might include a Pigovian tax (Adilov et al., 2015), self-enforcing treaties (Jain & Rao, 2022), orbital use fees (Bernhard et al., 2023; Rao et al., 2020), debris production fees (Bernhard et al., 2023), or “slot” allocation (Bernhard et al., 2023). Rouillon (2020) suggests a Pigovian tax of $131.93 million USD/satellite would be most effective.
Before the onset of a physical Kessler Syndrome, however, an economic Kessler Syndrome is expected to occur, in which orbital space becomes unprofitable, as opposed to unusable. This tipping point is predicted to occur around 2235, at a point with several hundred times the activity of the current economic system (Adilov et al., 2018). Even if the number of satellites decreases (due to, for example, a Pigovian tax), the amount of debris will continue to proliferate (Farinella & Cordelli, 1991; Rao & Rondina, 2022), limiting the need for policy interventions to prevent economic Kessler Syndrome (Adilov et al., 2018).
The model we present here diverges from the collision models and physical-economic models in several important ways. First, we do not explicitly formalize economic influences on debris accumulation. Instead, our aim is to capture the consequences of varying governance strategies on the tipping points resulting in physical Kessler Syndrome. A modeling perspective on effective governance is especially useful given that many physical-economic models suggest that market forces are unlikely to incentivize active debris cleanup (Adilov et al., 20152020; Rouillon, 2020). Second, unlike the collision models, we do not aim for precise physical realism. While we calibrate our model using existing data on space debris, the abstract nature of our model means any predictions are conservative (i.e., farther in the future than more physically realistic models might suggest). Despite these divergences in motivation and realism, our results are in accord with the previous literature in terms of both timelines (Farinella & Cordelli, 1991; Rao & Rondina, 2022) and qualitative conclusions (Adilov et al., 20152020), emphasizing the value of our simpler model.
In our model, we investigate how the amount of space debris in LEO changes according to varying levels of both mitigation and removal measures. We view space debris as an externality of space activities in the orbital social-ecological system, with Kessler Syndrome representing an ecological tipping point akin to a tragedy of the commons scenario that induces debris congestion and severely limits global collective use of orbital space. Specifically, we mathematically model the proliferation and management of debris in LEO as a function of (1) collisions between extant debris in orbit, (2) debris produced by future launches, and (3) debris cleanup rates. We focus on the latter two parameters to explore the impacts of debris reduction strategies with varying emphases on mitigation and removal. We then relate the model results to relevant social-ecological characteristics affecting space debris outcomes. This framework enables us to overview salient governance, economic, social, and geopolitical processes to frame the question: How does the social-ecological system in orbital space support or inhibit debris mitigation and removal efforts, and how does this influence our chances of attenuating Kessler Syndrome?
Model
In the simplest scenario we define our model as an ordinary differential equation such that the change in total space debris ds/dt is a function of (1) collisions between extant debris, (2) explosions, erosion, and deliberate debris fragmentation, (3) innovation in debris cleanup technology, and (4) future launches:
Here, s denotes the total space debris in LEO. α, β and 𝛤(s) tune the relative influence of collisions, cleanup, fragmentation, and future launches, respectively, on the amount of space debris. The leading term α s² captures the increase in space debris due to collisions between extant debris and follows a quadratic form, often assumed for random collisional processes (Atkins & de Paula, 2014). α can be interpreted as the propensity of two pieces of debris to collide. The linear term βs captures the combined effect of cleanup efforts as well as spontaneous fragmentation events. It will be negative only if cleanup rates are greater than the accumulation of new debris due to spontaneous and deliberate fragmentation. Cleanup strategies may include (a) passive removal due to atmospheric drag, (b) a predetermined ‘end of lifetime’ for satellites, and (c) active debris removal. Note that β appears in a linear term, making it interpretable as the per debris propensity to be removed or fragmented. The third term 𝛤(s) captures the increase in debris due to launches. If launches stay constant regardless of the level of space debris, we set 𝛤(s) = 𝛾 to be constant. On the other hand, if 𝛤(s) = 𝛿/s, the rate of new missions keeps the risk of collisions, which is proportional to s𝛤(s), constant. Alternatively, a similar reduction in 𝛤(s) with increasing debris s could result from safer mission design, that creates less debris per launch.
It is important to note that this model abstracts away three-dimensional space, in line with previous physical-economic models (e.g., Adilov et al., 2015Adilov et al., 2020), motivated by our aim to capture how human behavior and changes in policies influence the amount of space debris in LEO (see Supp. Res. Sec. 1–2 for a detailed derivation of the differential equation). Given this formalization, we ask: where is the boundary between parameter values where s in the model increases towards infinity (suggesting Kessler Syndrome) and parameter values where s remains finite and stable? Note that infinite space debris is physically impossible and that any real-world system will stabilize at a finite, yet possibly very high level of debris, as other factors not respected in the present model become relevant. We focus our analysis on β, 𝛾 and 𝛿 since they represent influences on space debris where human action and policies can intervene (see Figure 1 for a schematic of the outcomes given different parameter values). With this focus, our question can be interpreted as: with what kinds of policies and actions can Kessler Syndrome be attenuated?

Figure 1
Schematic of the relationship between model parameter values and the danger of space debris density in LEO. To facilitate clarity, here we use c = – βs to represent the influence of cleanup on debris density.
Model Calibration
Given the approximate nature of the model, it is not possible to calibrate the model exactly. Nevertheless, current and past counts of space debris levels allow a rough estimate for realistic regions in parameter space. The following model calibration is based on basic environmental statistics for space debris published by the ESA (ESA Space Debris Office, 2023) and the Database and Information System Characterising Objects in Space (DISCOS) (Klinkrad, 1991).
The DISCOS database records more than 500 fragmentation events and close to 70,000 objects (nfrag = 656 and Ntot = 68,301 as of August 2023, when this manuscript was written). Only a small fraction of events (6 major collisions and 16 small impacts, ncoll = 22) were traced back to collisions with debris, accounting for roughly 3% of all fragmentation events. Although collisions are rare events, a single impact can have a substantial influence on the overall debris population: the second-most severe fragmentation event in history, the collision between a Cosmos and an Iridium satellite in 2009, created more than 2,000 tracked debris objects. Other collision events have contributed too, ranging from 1 to 100 pieces of secondary debris per event.
About 10% of all recorded fragmentation debris (15,450 payload fragmentation objects, 12,276 rocket fragmentation objects in total, Nfrag = 27,726) in the DISCOS database is due to collisions. Another 25% of debris originates from deliberate anti-satellite (ASAT) action (e.g., weapons testing [Nasat = 15 events]) and the remaining 65% is due to explosions and other non-collision fragmentation events.
Taken together, an average fragmentation event creates Nfrag/ntot ≅ 40 pieces of debris. Over the last 10 years, about 100 fragmentation events were recorded. If the trend continues, and taking the historical value of 40 average secondary pieces of debris per fragmentation event, we can expect 400 pieces of debris to be newly generated during the next year, 10% (40 pieces) of which classify as collision fragmentation debris and 65% (260 pieces) as general non-collision fragmentation debris. With this we estimate α ≈ 40/Nav2 and β ⪅ 260/Nav. Nav is the average trackable debris population size throughout the 65-year period within which collision and fragmentation events were recorded, Nav ≈ Ntot/65. This amounts to roughly 10,000 objects. The current day count of objects in orbit is about 4 times higher, N0 ≈ 40,000 objects (DISCOS counts 38,955 objects without reentry date). N0 will serve as the initial condition s(0) = N0 in our model. Note that changing the assumed value of average debris Nav will influence estimates of α and the system’s stability (Supp. Figure 1).
The rate at which new collision fragmentation events are recorded is increasing, with 15 out of 16 small impactor events being recorded after the year 2000. While this can be explained by ever more detailed observations, it is likely also the result of an increasing population of space debris. Estimating the value of α based on the average fragmentation statistics since the beginning of the space age is therefore a conservative approach. Note that α is also subject to considerable variation, if certain single collision events are removed from the analysis, such as the major collision of Cosmos and Iridium.
The DISCOS database tracks N0 objects, mostly greater than 10 cm. Despite their small size, lethal non-trackable debris of sizes smaller than 10 cm (Orbital Debris Research and Development Interagency Working Group, 2021) can pose a serious risk and create additional collision fragmentation debris. We account for their influence implicitly by including small impactor events in the gauging of parameter . Therefore, our model computes the evolution of trackable debris with an elevated collision rate in order to compensate for non-trackable debris, marking a level of precision that physical-economic models, which often exclude debris smaller than 10 cm, do not capture. This procedure will yield conservative estimates on future trackable debris counts, assuming a fixed linear relationship between the number of trackable and non-trackable debris (see Supp. Section 3 for details).
The calibration procedure provides an upper bound for the cleanup rate β, which is a positive number in this case. The upper bound is achieved, if all space debris which is generated by explosions and other accidental non-collision events (260 objects within the next year continuing the rate of the last 10 years), would never be removed by natural or active processes. The actual level of β is required to be smaller and negative, in order to counterbalance newly launched missions and collisional fragmentation events. Out of all Ntot ever recorded objects in the DISCOS database, a bit less than half have a confirmed atmospheric reentry date. Over the past decade, the annual number of recorded reentries has dramatically increased, averaging around 300 yearly reentries from 2012 to 2019 and then growing to nearly 2000 yearly reentries in 2021 to 2023 (ESA Space Debris Office, 2023). Together with fragmentations, a realistic estimate for the current value of beta will range from about –500/N0 to –1,500/N0 (see Figures 3 and 4). At the same time, launch rates have increased considerably.
Finally, deliberate ASAT fragmentation events have not been included in this calibration procedure for α and β, despite their major contribution to already existing space debris. ASAT is mainly contributing through the linear parameter 𝛾 and will depend on future militarization of space and use of destructive end-of-life strategies.
Results
To guide intuition about the behavior of our model, we first show trajectories for a subset of parameter values (Figure 2). The remainder of our analyses concern the fixed points of the model, or what values of space debris result after the model runs for a very long time. For most parameter values in Figure 2, which represent an attempt to capture context with low cleanup efforts, Kessler Syndrome is inevitable, as evidenced by the exponentially increasing trajectories given that there are no fixed points. As the parameter values change, the presence and location of fixed points change. To interrogate this, we perform a bifurcation analysis of the above equation given the constraint of α = 4⋅10-7.

Figure 2
Model Behavior. For α = 4.10–7 and β = 0 we show how the model behaves over time for 𝛾 = [0 (blue), 500 (green), 1,000 (red)]. Setting β = 0 represents contexts in which there is very little investment in cleaning up space debris: Active cleanup and deorbiting procedures will always just balance debris created by single missions. For reference, a light blue horizontal line indicates the current level of debris N0 = 40,000 objects.
First, we explore the stability of fixed points of debris s* for a scenario in which 𝛤(s) = 𝛾, in which space exploitation occurs at a constant rate (See Supp. Res. Sec. 4 for derivations). If the cleanup efforts are not greater than the fragmentation, Kessler Syndrome is inevitable, as every term in the growth rate of debris is positive. However, for sufficiently high efforts of debris cleanup, a stable finite amount of debris can be sustained in LEO (Figure 3). In order for a stable fixed point to exist, condition must be fulfilled.
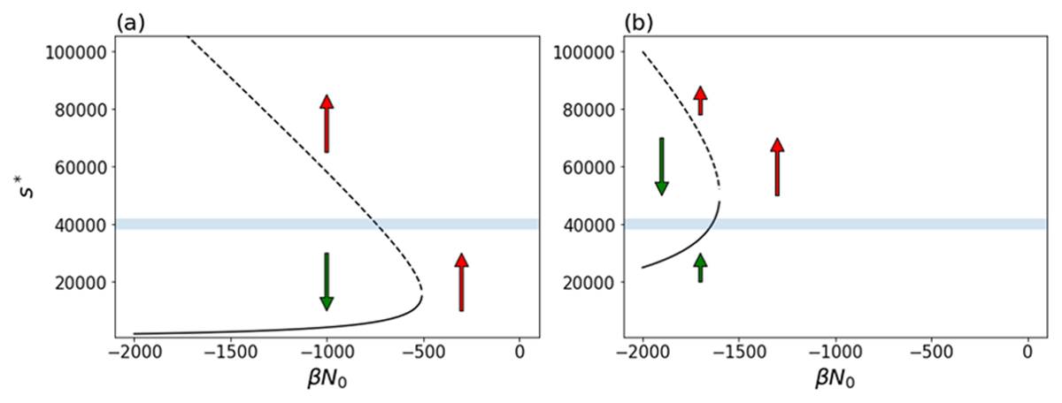
A consequence of this dependence is that the minimal cleanup effort scales sub-linearly with the rate of new missions. The cleansing effect of a four-fold decrease in new missions on space debris can be achieved with a two-fold increase in cleanup efforts. For instance, cutting the average in-orbit lifetime of payloads and their secondary debris in half would have a similar effect on debris stability as a fourfold reduction of added payloads. In economic terms, a sustainable use of the common resource space is possible if the benefits of quadrupling the number of new missions exceed the costs of cleaning up two times more efficiently. However, whether or not a strategy fulfilling this condition will induce stability, crucially also depends on the initial level of debris, when the strategy was first implemented (See dashed line in Figures 3 and 4).

Figure 3
Panels show the stable (full) and unstable (dashed) fixed points as a function of the debris cleanup, for (a) γ = 100 and (b) γ = 1,000. Further, arrows indicate the stability of different regions in the space spanned by s(t) and β. Red arrows always point to higher levels of s, and correspond to debris that grows unboundedly. Green arrows point towards stable solutions, s(t) = s*, and are shown for regions in the space of s(t) and β, for which the stable solution will be reached. For any cleanup efforts that are overwhelmed by fragmentation and rate of launches, , there exist no stable fixed points and Kessler Syndrome is a consequence. Higher levels of new missions γ will require even lower levels of β in order to retain stability. For reference, a blue horizontal line indicates the current level of debris N0 = 40,000 objects [α = 4 ⋅ 10-7, δ = 0].

Figure 4
Panels show the stable (full) and unstable (dashed) fixed points as a function of new missions (a) regardless of debris, δ = 0, and (b) keeping the risk of mission collisions with debris constant, 𝛾 = 0 ). Further, arrows indicate the stability of values (s(t), γ, δ). Red arrows always point to higher levels of s, and correspond to debris that grows unboundedly. Green arrows point towards stable solutions, s(t) = s*, and are shown for values, for which the stable solution will be reached. Both panels are chosen for a realistic current cleanup effort β = – 1,200/N0 = – 0.03 (see Figure 3). If the number of new missions exceeds a certain amount, Kessler Syndrome is inevitable. Analysis of the maximal level of 𝛾 or 𝛿 which permits a stable solution reveals that at best, a risk-compensating exploitation of space allows about 100 more objects actively added into space next year. For reference, a blue horizontal line indicates the current level of debris N0 = 40,000 objects. [α = 4 ⋅ 10–7, β = –3 ⋅ 10–2].
Next, we include a risk-compensating strategy 𝛤(s) = 𝛿/s, in which the total number of casualties due to collisions with space debris remains constant, as fewer missions are sent into space (Figure 4). While such a strategy allows for more missions sent initially, it shows similar results as a strategy with constant rate of new missions. Any compensating actions taken at a later point in time will require stricter implementation, than only keeping the rate of collisions casualties constant. As an extreme case, assume that debris of size s* has accumulated. A complete halt of new missions, 𝛤(s*) = 0, will avert Kessler Syndrome only if s* <= – β/α (set 𝛤(s*) = 0 in the differential equation for debris; see also Supplementary Section 4). The more debris s* has accumulated, the stricter the cleanup efforts β have to be, parallelling a zero-mission doctrine.
These results taken together suggest that debris management can be achieved more efficiently by investment in cleanup technology and strategies, rather than a reduction in new missions, assuming that both strategies had a similar economic cost. Risk-compensating reduction of missions at a later point will not be sufficient to avoid a catastrophe. However, that said, even for moderately efficient cleanup efforts, tipping points still exist given how much new debris would be actively sent into space each year under a risk-compensating strategy.
The ultimate consequence of Kessler Syndrome is space congestion, a situation in which space missions are associated with a serious risk of collision with objects. The bifurcation analysis shows whether space congestion will be reached eventually, but does not give an indication as to when this will happen. In order to investigate this, we define space congestion as a situation in which one collision between an active mission and space debris can be expected per year. Using the above calibrated value of, we identify s𝐾 as the debris threshold above which one collision is expected,
and denote
as the time it will take to reach space congestion.
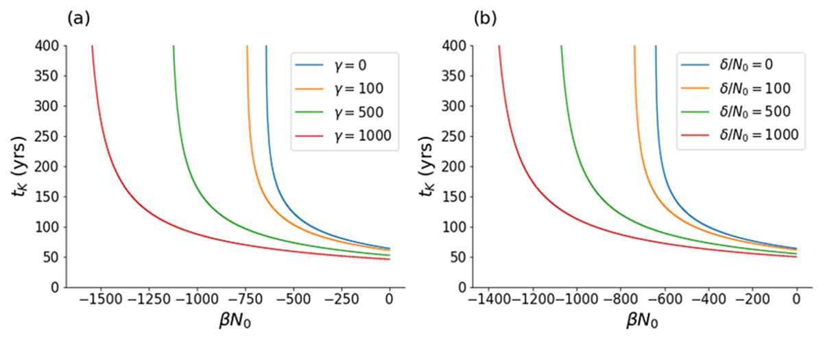
Figure 5 shows tk as a function of various policy decisions. In the absence of additional cleanup efforts, our simplified simulations predict a congestion of space debris by the year 2200. Our results also show that substantial crowding can be delayed by several decades if space exploitation remains moderate. However, due to the exponentially growing nature of space debris, a 10-fold decrease in new missions will only increase tk less than 2-fold for most low-level efforts of debris cleanup. If space debris is not stabilized in the relative near-term, any deferred efforts to clean LEO or reduce active missions will only grant a few additional decades.

Figure 5
The time to reach space congestion, defined as a situation in which Kessler Syndrome triggers approximately one catastrophic collision with debris annually, in years, for (a) a constant rate of new missions, and (b) a rate that is inversely proportional to space debris. The model parameters are calibrated using data from ESA and the model is evaluated by numerical integration. In the absence of debris cleanup (βN0 ≈ 0), space congestion will be reached in 50 to 100 years from now in our model. For reference, at a yearly rate of roughly 1,000 newly added payloads and a cleanup effort of βN = – 1,200 (see Figure 4), which would correspond to a more realistic estimate, space congestion is reached in 100 to 200 years if missions are inversely proportional to debris (b).
Discussion
The accumulation of space debris in LEO poses collision risks to modern space activities. Our model investigates three broad-scale dynamics affecting space debris: existing debris, future launches, and future cleanup. Overall, the model finds that multiple strategies can be used to maintain debris levels below the threshold that induces debris congestion, in accordance with previous work (Adilov et al., 20152020; Bongers & Torres, 2023a). An approach focused on active debris cleanup procedures is the most effective strategy to prevent the worst outcomes from Kessler Syndrome, though a mitigation-focused strategy will also certainly help delay it. A balance can exist between continued space activities and sufficient cleanup efforts. It will also be much easier to address the debris issue if action is taken sooner rather than later. Our results show that debris congestion (i.e., a rate of more than one collision per year) will potentially be reached in less than 200 years, a figure in line with previous work (Farinella & Cordelli, 1991; Rao & Rondina, 2022; Rouillon, 2020). Delayed mitigation strategies where we reduce debris production once collisions become riskier will not be enough to successfully avert the disaster in the long run. Due to the exponentially growing population of debris resulting from fragmentation and collision, the consequences of space use may not be felt early on. It is important to note that our model focuses on debris management outcomes assuming perfect cooperation. However, as we will elaborate on below, various social-ecological characteristics of the orbital space debris system might hinder effectiveness of debris cleanup and mitigation efforts in practice. Here, we discuss how economic and political motivations, governance regimes, and sustainability norms affect the ongoing activities and (mis-)management of space debris.
Current economic infrastructure supports continued growth of the launch industry while failing to incentivize debris removal and mitigation. The number of satellites in LEO is expected to drastically increase in the coming years. Part of this comes from increasing demand for network and communication services across the world. Major private actors such as SpaceX will continue heavily contributing by launching large satellite constellations, while smaller satellite companies also face relatively few barriers to launching (Yap & Truffer, 2021). Many nations are also increasing their space facing capabilities as space-based services become integrated in the modern global economy. In terms of debris mitigation, attention is being given to technological innovations such as reducing the amount of debris produced during launches and throughout the satellite’s lifespan and extending the life of satellites with on-orbit services (Orbital Debris Research and Development Interagency Working Group, 2021). Additionally, the rapid development and innovation of debris removal technologies presents a bright spot in future debris management (Mark & Kamath, 2019). However, socioeconomic constraints might hinder the practical deployment of mitigation and removal technologies. Assuming unconstrained financial support, our model demonstrates active debris removal is notably effective at prolonging the onset of space congestion via Kessler Syndrome. Specifically, we find we can achieve sustainability if the benefits of quadrupling the number of new missions exceed the costs of cleaning up twice as efficiently. However, because the technology for active debris removal is, as Adilov and colleagues (2015) say, “pre-emergent and costly,” it is not a strategy that will be effective in isolation. Studies that have taken an explicit game-theoretic approach to modeling cleanup decision-making by actors conclude that free-riding is still a significant issue and that decentralized and competitive approaches to debris removal (which largely reflect the current system) will induce significant costs (Klima et al., 2018). Several studies find that actors will continue to prefer debris-producing technologies and launch rates that exceed the socially optimal limit (Adilov et al., 2015; Grzelka & Wagner, 2019). This result emphasizes the importance of enacting policies that incentivize active debris cleanup.
It is clear that the pace of treaties and laws is not adequately keeping space debris in check (Mendenhall, 2018). Existing governance like the Outer Space Treaty (OST) and the Liability Convention do not provide a sufficient regulatory framework for dealing with the orbital debris problem (Newman & Williamson, 2018). The OST was the first and primary international agreement to address pressing issues in outer space, but does not explicitly consider space debris pollution and therefore provides no clear path for enforcing debris remediation (Tallis, 2015). Even if actors did want to initiate debris removal, there is a vicious disincentivizing cycle at play: launching states need to register the objects that they put into space, but they are not responsible for removal. Other actors who want to collect the space debris from someone else need their permission and are responsible for any damage caused by the removal (Newman & Williamson, 2018). Such an arrangement may lead to stagnation, with no legal leverage for enforcing liability of producers or incentivizing removal by potential remediators. Out of fairness, some have suggested proportional responsibilities for removal based on debris production, but enforcing participation still presents a barrier (Klima et al. 2018). International laws with more robust and enforceable legal regimes are needed.
Many shifts in debris governance have been suggested. People have proposed a variety of institutional arrangements ranging from centralized governance (hierarchical regulations, economic incentives, property rights) to more decentralized polycentric approaches (Morin & Richard, 2021). With the growing awareness of LEO clutter, several other guidelines and voluntary codes of conduct have been initiated to augment the contemporary debris challenges missing from the OST. Notably, the United States (U.S.) Federal Communications Committee recently adopted a regulation that, starting in 2024, spacecraft below 2,000 km altitude must de-orbit within five years of their end of mission (Federal Communications Commission, 2022; Lisy et al., 2023), and the Senate passed the Orbital Sustainability Act to direct National Aeronautics and Space Administration and other space traffic governing bodies to establish and enforce orbital debris standards (Orbital Sustainability 5 Act of 20232023; Press Release, 2023). A major debris contributor like the U.S. initiating such action is certainly progress. Nonetheless, the current lack of compelling legal, and therefore economic, incentives to address debris pollution suggests that most international actors will not voluntarily bear the costs of remediation.
The current open-access orbital regime constrains the effectiveness of national policies regulating debris, but adding in market-access controls can augment policies’ abilities to contain debris externalities (e.g., Jain & Rao, 2022). As such, various economic incentives have been proposed to address market limitations. For instance, centralized governance approaches and multi-actor coalitions might reduce market competition to promote cleanup (Klima et al., 2018; Rabitz, 2023). Taxes on orbital uses (Rao et al., 2020), satellite launches (Rouillon, 2020), and debris production (Bernhard et al., 2023) have been proposed to preserve the value of satellites in LEO while maintaining a relatively debris-free environment. It is important to acknowledge that other studies have concluded that an economic Kessler Syndrome – a threshold where commercial satellite activity is no longer profitable – will precede a physical Kessler Syndrome that we study here (Adilov et al., 2018; Bongers & Torres, 2023a). Nonetheless, the exponential nature of debris proliferation means that the timeline for physical congestion lags behind the economic Kessler Syndrome. If this economic threshold is reached and there is no investment in removal, physical congestion is inevitable. As Bongers & Torres (2023a) note, evidence for an economic threshold prior to a physical one should attract space operators to debris mitigation and removal strategies. Yet, current market incentives do not support this. In line with our conclusions, much literature suggests that a mixed portfolio of active debris removal and other passive mitigation strategies (e.g., taxes, voluntary reduction) will be most effective given the nuanced challenges of each proposed solution (Adilov et al., 2015; Rao et al., 2020).
The diversity of stakeholders and user motivations presents a major challenge to governing the orbital commons. As the number of actors entering the space industry grows, so do the types of institutional arrangements between them (Morin & Richard, 2021). These guidelines, rules, and regulations emerge among sectors focused on themes like liability, satellite allocation, moon resources, and international space stations (Morin & Richard, 2021). There needs to be more effective overarching legal frameworks accounting for LEO space debris from all sectors. Moreover, existing governance must be adapted to adequately deal with the emergence of new private actors and the multi-sector nature of space today (Yap & Truffer, 2022). Nascent industries like space tourism or geoengineering projects may also contribute unregulated debris to orbits. Importantly, geopolitical relations and militaristic motivations present a significant obstacle to international cooperation in space. Areas beyond national jurisdiction like Antarctica, the high seas, and outer space offer national security advantages that are often internationally contested. For countries like the U.S., China, Europe, Russia, and India, space is increasingly important for national security. The geopolitical nature of the issues surrounding space may mean that countries are less inclined to share information or collaboratively develop space-based infrastructure or standards (Yap & Truffer, 2022), a key process in self-organization (Ostrom, 2009). These motivations are also large potential debris sources: ASAT weapons testing by the U.S., the Soviet Union, China, India, and Russia have contributed at least 6,700 pieces of trackable debris since 1959, with each contribution coming in acute bursts of hundreds to thousands of debris at a time (Bongers & Torres, 2023b; Palmer, 2022). This illustrates that, while we model two forms of debris contribution s (a constant rate and a risk-compensating rate), there are several other types of user behaviors that could affect debris outcomes.
Building trust, sharing information, and engaging diverse stakeholders to develop norms and rules of operation are also important social facets for encouraging cooperation over resources (Morin & Richard, 2021; Weeden & Chow, 2012). Space actors share research, monitoring, logistical, and enforcement objectives. Collaboration and information sharing can support transparency and adaptability across the industry. For instance, many major commercial satellite operators are part of an informal data-sharing partnership called the Space Data Association to expand users’ situational awareness of objects in orbit. This helps operators coordinate maneuvers to avoid orbital collisions. There is interest in going beyond this to more formally coordinate “space highways” or corridors for satellite orbits (Lawrence et al., 2022). While this may cost operators initially, it ultimately increases the system’s collective resilience by reducing collision potential in the long run. Better monitoring cooperation could contribute to a higher-resolution understanding of space debris dynamics, particularly about small lethal non-trackable debris (Orbital Debris Research and Development Interagency Working Group, 2021), which we only model implicitly due to a lack of data. Indeed, actors may need to initiate sustainability behaviors under a lack of short-term economic incentives. Industry-led initiatives can be hugely influential in the adoption of stewardship mentalities in extractive industries (Folke et al., 2019). Continued investment in cleanup efforts and technologies indicates a sustainability ethos in the private sector. From the public sector, many national space agencies adopted measures for space debris mitigation before the Space Debris Mitigation Guidelines (Kurt, 2015). However, as discussed above, international economic and governance coordination may be needed for such measures to proliferate widely. Continuing to increase partnerships with countries historically uninvolved with space activities will also be important. The historical dominance of the space industry and its resources by relatively few nations risks repeating past trends of resource exploitation and control seen here on Earth (Rementeria, 2022). To truly address this, global equity should be a centerpiece for establishing new space governance. Involving other stakeholders like astronomers and civil society could also help expedite the adoption of industry sustainability practices through increased visibility and pressure (Lawrence et al., 2022).
Understanding tipping points and nonlinear dynamics is important for managing sustainable transition pathways in social-ecological systems (Levin et al., 2013; Mathias et al., 2020). Managing a resource with potential regime shifts, like an orbital environment with Kessler Syndrome, requires dynamic and adaptive resource management to avoid undesirable outcomes (Sakamoto, 2014). Our model serves as a starting point to highlight how debris mitigation and removal can affect such outcomes. We highlight that adapting through launch reduction alone is ineffective and that multiple strategies will need to be enacted, including governance to support debris removal. While the social-ecological perspective guides our model interpretation here, future studies should thoroughly describe Earth’s orbital environment as a large social-ecological system (Cox, 2014; akin to Kuhn et al., 2022) to clarify barriers and opportunities for cooperative management.
Potential areas of future research include generating possible extensions of our model. First, adjustments could be made to link model results more concretely to space debris (Flegel et al., 2009; Li et al., 2022). Currently, our model captures only the amount of debris, devoid of positional information. This formalization may make designing effective debris mitigation strategies difficult. Moreover, because we do not account for spatial location, our model cannot speak to where pieces of debris are in LEO and therefore whether some trajectories through LEO are more accessible than others. Second, our model abstracts away the actions and policies of individual actors, instead using parameters that capture the global aggregate. Agent-based models might address this limitation and provide answers to additional questions concerning the impact of human behavior and policy on the amount of space debris in LEO.
Further, there are clear limitations to our analysis. First, we constructed our model with space debris as a single dynamic variable. Real debris dynamics are more complicated, and space debris can be of different forms, types and sizes. Not all types of space debris therefore experience the same rates of fragmentation and collision, as assumed in our model. Our model only resolves the average dynamics of a diverse population of space debris, ranging from small pieces to large, old payloads. Including such diversity can change the results quantitatively (Drmola & Hubik, 2018). Secondly, our analysis is limited by the data used for calibration (ESA Space Debris Office, 2023). The calibration relies on extrapolating collision and fragmentation rates since the start of the space age, assuming these have remained constant throughout (see Supp. Fig. 1 for a sensitivity analysis). However, this rate might be influenced by factors such as the quality of satellites or the number of orbiting objects (Orbital Debris Research and Development Interagency Working Group, 2021). Further, the known number of space debris objects used in our analysis may be much smaller than the actual numbers, which are unknown. Finally, we arrived at parameter estimates assuming that every fragmentation event contributes an equal amount of space debris, while in reality, the number of debris per event can fall within a wide range.
Despite these sources of inaccuracy in our mathematical model, it is important to stress that the aim of this analysis was not to obtain a detailed prediction. Given the unpredictability of the modern space era, such detailed predictions may indeed be close to impossible. Rather, the presented model sheds light on trends in future space debris dynamics and provides an overview of strategies in debris management, none of which will suffice alone. Moreover, while a variety of mathematical models have been employed to examine the proliferation of space debris due to, for example, fragmentation events (Carbon & Larson, 2005; Flegel et al., 2009; Klinkrad, 2006), the abstractions of our model facilitates a link between human behavior as informed by policies and the onset of Kessler Syndrome. In this way, the model produces key qualitative takeaways that can serve as a useful guideline for policymakers and for communicating the space debris issue and Kessler Syndrome phenomenon to wider audiences.
Achieving effective debris management for Earth’s orbital commons will require coordination across all three strategies, namely debris monitoring, mitigation, and removal. We are currently observing a potential tragedy of the commons scenario in action, as a handful of space actors produce the vast majority of the debris that threatens current and future global benefits. Holistic perspectives integrating mathematical modeling and social-ecological systems can help in understanding the complex dynamics underpinning sustainable environmental governance.
Additional File
The additional file for this article can be found as follows:
Supplementary Section
This Supplementary Section provides detailed information about the model, such as model parameters, derivations, and a sensitivity analysis. DOI: https://doi.org/10.5334/ijc.1275.s1
Acknowledgements
The authors would like to thank the special issue co-editors, Marco Janssen and Xiao-Shan Yap, and the anonymous reviewers for their comments that helped improve the manuscript. The paper also benefited from suggestions by other author participants in this special issue. We would also like to thank the 2022 Santa Fe Institute Complex Systems Summer School for providing space to initiate this study.
Competing Interests
The authors have no competing interests to declare.
