1 Introduction
Following the pace of big data, more and more data will realize sharing and application in the form of DaaS (Data-as-a-Service). Therefore, more data and information services will emerge on the Internet. What is more, the collaboration (composition) of multiple web services is required to satisfy users’ complex demands. In addition, “big data, big service” also brings new technology requirements and challenges for service computing. In particular, how to achieve an efficient and real-time collaboration of web services has become a key question in web service composition. Thus, a fast and efficient web service composition execution engine is the most important technology for meeting the new requirements.
A considerable amount of effort has been carried out on the researching of a web service composition execution engine. The WS-CDL+ execution engine (Ai, Tang, & Fidge, 2011) achieved completely the specification standards of WS-CDL. It directly executes WS-CDL+ documents with corresponding configuration files and realizes scheduling coordination for web services. Kang et al., (2007) proposed a numeric segmentation algorithm for composite services developed using BPEL (Business Process Execution Language) (Jordan & Evdemon, 2007). In this algorithm, the sub-process was executed in a dispersed form, in which the concurrency and throughput were all improved. Composite services were divided into different component services, and each sub-service was arranged according to its own execution engine (Kang et al., 2007). Yu (2007) proposed a BPEL execution engine based on P2P. However, this engine did not deal with static instances. Business processes were arranged and executed based on web services according to domain ontology, and the WebFlowAH platform was constructed (Mendes & Paulo, 2009). Narendra and Orriens (2007) presented a conceptual model that could track the demand changes during web service execution. Park and Park (2008) adopted the intentional XML data and invoked external services on related nodes. Meanwhile, they employed an A* heuristic search algorithm to find the optimal trace and greedy algorithm to generate an efficient solution in a short time. Tsamoura et al. (2011) and Darmstadt et al. (2009) studied the execution of distributed workflows. The former reduced the response time of multi-pipeline invocations of remote web services. The latter guaranteed the correctness of control flows from the point of view of security and realized the communication and data transmission between web services based on “process slip”. The fault web services were replaced to realize the forward recovery, and Colored Petri Nets (CPNs) were utilized and represented compensation flows to achieve backward recovery. Finally, an effective algorithm was proposed to deal with transactional composite service invocation and strategy recovery (Cardinale & Rukoz, 2011).
The above research examples have proposed different execution frameworks of web service composition or optimized their executive processes from different perspectives. However, most of these are based on the service process orchestration to schedule services, such as BPEL, rather than considering the real-time collaborative invocation and problem analysis in web service composition. The main reason for this is that the research lacks a relatively flexible, describable, and simple formal model of automatic web service composition. Correspondingly, it is hard to construct an execution engine (Suzumura, Trent, Tatsubori, Tozawa, & Onodera, 2008). In addition, because many complicated data associations and structural associations are presented within web service composition, if the complex semantic associations are taken into account, it will become more difficult to construct and analyze the logical flow of web services.
In contrast, the complex process logic and structural relationships among web services can be vividly described by the Petri net of web service composition (Xiang et al., 2012). Many works (Cardinale & Rukoz, 2011; Xiong et al., 2010; Tang et al., 2007; Ding et al., 2008; Tang et al., 2011; Tan et al., 2010) have studied the modeling and analysis of web service composition based on the Petri net. However, because of the time complexity of Petri net’s reachability analysis, many works only focused on static modeling, off-line property analysis, or quantitative evaluation, rather than using the Petri net for dynamic execution and real-time analysis of web service composition.
Therefore, based on the Petri net description of web service composition, dynamic execution and real-time scheduling policies are proposed in this paper. First, we discuss description methods of web service composition and composite web services with Petri net. Then, we concretely analyze structural relationships within the web service composition and design executable invocation of web service policies based on Petri net. Finally, an execution engine based on Petri net is constructed for web service composition and composite web services. In a practical application of web service composition, this paper will provide an effective technical solution in applying Petri net theory and its relevant analysis method to a real-time execution and analysis.
The rest of this paper is organized as follows. Related concepts and knowledge are introduced in Section 2. Section 3 lists some concepts related to web service. In Section 4, we concretely analyze the possible structural relationships within web service composition. Section 5 and Section 6 put forward a web service composition execution algorithm using Petri net and apply this method to a practical instance. Finally in Section 7 we summarize the work presented in this paper and point out further work.
2 Related Concepts and Knowledge
2.1 PNML+OWL
PNML (Petri Net Markup Language) (Jüngel et al., 2000) stores and describes a Petri net. It is used mainly to solve the problem of sharing Petri nets among different tools. However, due to the dependence on syntaxes, it cannot realize the interoperability of Petri nets.
OWL (Web Ontology Language) (McGuinness & van Harmelen, 2011) is a language system, and its theoretical basis is description logic. It can create ontology by using different attributes, such as an object attribute, data attribute, and domain attribute. Web information with semantic information in OWL is easy for machines to understand. OWL inherits the basic way of stating the fact of RDF (resource description frame) and the hierarchical structure of RDFS (RDF Schema) with classes and properties. By expanding upon these, OWL adds many new words and overcomes the problem of RDF/RDFS not describing concepts and attributes well.
In our related research (Ma & Xu, 2009; Ma & Xie, 2010), web services and their services composition have been modeled with Petri net. To be specific, the transition label in PNML represents the information about web services, such as service name, input and output, etc.; the place label in PNML represents inputs and outputs of web services; the flow label defines the relations between web services and their inputs or outputs. In addition, based on the semantic database, we have added some semantic information into the inputs and outputs of the web services in PNML documents so that the PNML+OWL description of the web services can be acquired.
2.2 XFire
XFire (Codehaus) is the next framework for Java SOAP (Simple Object Access Protocol). It bridges the gap between POJO (Plain Old Java Objects) and SOA (service-oriented architecture). Due to the use of a programming interface and its support for web service standards, XFire has a relatively simple service-oriented development. It simplifies the process of converting a Java application into web services and provides a simple and feasible way for enterprises to build SOA architectures. By building on a low memory model (STAX), it has high performance characteristics.
Based on XFire, web services can be invoked instantly. First, using XFire, we generate the web service clients, and then we invoked the web services by using their methods’ names and input parameters. If the call result from the web services does not belong to the array type, it should be further analyzed; otherwise, it is the desired result.
3 Atomic Web Service and Composite Web Service
Web service composition can be categorized as orchestration (Lapadula, Pugliese, & Tiezzi, 2007; Wang, Dai, Hou, Fang, & Ren, 2009) and choreography (Valero et al., 2009). The general process of an “Orchestrated” web service composition is that this service composition can be considered as a single atomic web service. A “Choreographed” web service composition collaboratively invokes each sub-service during its execution. Sub-services in web service composition can be atomic web services or composite web services.
3.1 Atomic web services
An atomic web service usually refers to a service that has a relatively simple or independent function and provides single interfaces that meet specific requirements. In addition, an atomic web service can be designed and deployed based on general industrial standards or techniques, such as XFire (Codehaus).
3.2 Composite web services
Atomic web services can be “orchestrated” or “choreographed” into a composite web service to meet complex user demands. Composite web services are divided into two types according to the mode of the web service composition, either orchestration or choreography. An orchestration composite web service is considered to be an atomic web service while a choreography composite web service process structure is a part of the web service composition. By default, in the rest of this paper, composite web service refers to a choreography composite service.
During the choreography of composite web services, it is not easy to construct a complex service process depending only on the data association among services. It is also necessary to use control structures such as loop structure and choice. A loop control structure is used to control the execution times of sub-services while a choice control structure affects service selection and execution paths within a chosen structure. The control structure can be designed as a web service.
In our related work (Ma & Xu, 2009; Ma & Xie, 2010), we placed elements of the Petri net corresponding to the input and output of atomic web services or orchestration composite services; the transitional elements correspond to atomic web or orchestration composite services, and the Petri net of a composite web service can be generated with this method.
Definition 1 (Petri net of composite web services) The Petri net of a composite web service is an 8-tuple ∑ = (S, T, CS, CT, F, CF, M, L), where
S is the set of places. A place represents the input, output, precondition, or execution effects of sub-services in the composite web services;
T is the set of transitions. A transition corresponds to an atomic service or an orchestration composite service;
F⊆ (S×T)∪(T×S) is the set of flows;
CS is the set of control places. A control place is one input or output of a control condition;
CT is the set of control transitions. A control transition represents a loop control condition or a choice control condition;
CF⊆ (CS×CT) ∪ (CT×CS) is the set of control flows;
M: S∪CS → {0, 1, 2, …} is the number of tokens in places;
L: S → D∪{ τ } is the semantic markup function, where D is the set of classes and instances from one domain ontology. τ means an empty semantic.
The foundation of a Petri net of a composite web service is the data associations among sub-services and related structural relationships that determine the basic data flow (F) among services. On the other hand, control structures in composite web services include control places, control transitions, and control flows. The control structures influence the services’ flow direction and co-scheduling in the form of a control flow (CF).
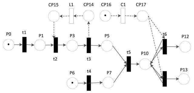
Figure 1 shows the Petri net of a composite web service, where t1-t7 are transitions that represent atomic services. L1 and C1 are control transitions. L1 represents the loop condition, which influences the invocation of t2 and t3. C1 represents the choice condition that determines which web service is to be invoked next.

Figure 1
Petri net of a composite web service.
3.3 Petri net of a web service composition
If we ignore the complex business processes within a composite web service and only regard it as a web service that meets specific functional requirements and has multi-inputs and multi-outputs, then we further abstract and obtain the Petri net of a composite web service. Specifically, the initial input of the web service forms the input place elements in the Petri net, and the users’ end needs become the output place elements while the whole web service body is represented as a transition element. Afterwards, the abstracted Petri net model of the composite web service can be obtained.
Based on an abstraction of the Petri net of a composite web service and the data association among web services, we can get the Petri net and its PNM+OWL description of the web service composition (Xiang et al., 2012; Ma et al., 2013).
Definition 2 (Petri net of web service composition) The Petri net of a web service composition is a 5-tuple ∑ = (S, T, F, M, L), where
S is the set of places. A place corresponds to an input, output, precondition, or execution effect of some atomic service or the abstracted composite web services;
T is the set of transitions. A transition refers to an atomic service or the abstracted composite web services;
F⊆ (S×T)∪(T×S) is the set of flows;
M: S∪CS → {0, 1, 2, …} is the number of tokens within places;
L: S → D∪{ τ } is a semantic markup function, where D is a set of classes and instances from one domain ontology. τ means empty semantic.
3.4 Layered service composition architecture
From the basic components perspective, based on the abstraction of composite web services, the web service composition system can be treated as 7-layer architecture (Figure 2).

Figure 2
The layered service composition architecture.
Base support layer: this layer supports the deployment, invocation, and registration of the web services;
Atomic service layer: this layer contains atomic web services and is the foundation of the design, orchestration, and invocation services;
Composite service layer: this layer contains composite web services;
Service abstraction layer: composite web services are abstracted in this layer, which is the foundation of the service composition;
Service composition layer: web services are composed in this layer according to semantic associations;
Service planning layer: the invocation sequence of web services is generated here based on the Petri net of the web service composition;
Service invocation layer: web services are sequential invoked in this layer according to the invocation sequence of web service composition.
This layered service architecture does not contain control structures in the service composition layer, which reflects that there are only data associations among the web services based on data flows. However, the composite service layer realizes the integration of the data and control flows based on a concrete service process. In addition, because the Petri nets at the service abstraction layer are abstracted from (composite) services, some control structural relationships may exist. This abstracted model does not reflect a real service’s execution. It only needs to get concrete Petri nets from the composite service layer during the execution of the composite services.
4 Structural Relationship Among Web Services
In order to invoke each service in web service composition in good order, the relationship among the web services must first be analyzed. Based on the Petri nets of the web service composition, it is feasible to get these relationships from the structural relation among the transitional elements of the Petri net.
4.1 Prepositive web services and postpositive web services
Definition 3 (Prepositive web services) For a web service composition and its Petri net model ∑ = (S, T, F, M, L) for web service ti, the prepositive web services can be defined as Pro (ti) =• (•ti)-{ti}, i∈{1,2,…,|T|}. If •ti = Ø, then Pro (ti) = Ø;
Definition 4 (postpositive web services) For a web service composition and its Petri net model ∑ = (S, T, F, M, L) for web service ti, the postpositive web services can be defined as Post (ti) = (ti•)•-{ti}, i∈{1,2,…,|T|}. If ti •= Ø, then Post (ti) = Ø;
Conclusion 1 In web service composition for web service ti and its prepositive service set Pro(ti), if ∀ tj∈Pro(ti) (i,j∈{1,2,…,|T|},j≠i), then the input-output association between tj and ti can be discovered. Similarly, for the postpositive service set Post(ti), if ∀ tj∈Post(ti) (i,j∈{1,2,…,|T|},j≠i), then the input-output association between ti and tj can also be acquired.
4.2 Structural relationships in web service composition
In the Petri nets of web service composition (Chen et al., 2010) or composite web services, it is easy to analyze and acquire three basic structural relationships from the structural view: sequenced relationships (Sequence), concurrent relationships (Concurrence), and selective relationships (Choice). All of these constitute the foundation of structural relationships within a web service composition, shown in Figure 4.

Figure 3
The basic structural relationship among web services.

Figure 4
The loop structure.
For a Petri net of a web service composition ∑ = (S, T, F, M, L) with a basic structural relationship R belonging to {Sequence, Concurrence, Choice}:
Sequenced Relationship
For two web services ti, and tj, the postpositive web service of ti is a nonempty set Post(ti), where i, j∈{1,2,…,|T|}, and i≠j. If |Post (ti)|=1 and tj∈Post (ti), then the relationship between ti and tj is a sequenced relationship (Sequence), which can be denoted as <ti, tj>∈Sequence. If the relationships among t1,t2,…,tn belong to Sequence successively, <t1,t2>,<t2,t3>,…,<tk,tk+1>,…<tn-1,tn>∈Sequence, the corresponding expressed sequence of this relationship is t1t2…tn. This is shown as t1 and t2 in Figure 3a.
Concurrence Relationship
For web service ti,, i ∈{1,2,…,|T|}, the postpositive web service of ti is a nonempty set Post(ti). If |ti•|>1, |Post (ti)|>1, ti1 and ti2∈Post (ti), •ti1∧•ti2 = φ, then the relationship between ti1 and ti2 is a Concurrence relationship (Concurrence), which can be denoted as <ti1,ti2>∈Concurrence. Similarly, if there exists a web service t that satisfies t1,t2,…,tn∈Post(t) and with the condition that the relationship between the elements of the set {t1,t2,…,tn} is Concurrence, then the corresponding expressed sequence is (t1&t2&…&tn). This is shown as t2 and t3 in Figure 3b.
In addition, from a general perspective, for multiple web services that meet their input parameter values, if there is no data association among the inputs and outputs of the web services, these web services are independent of each other and can be identified as concurrence.
Selective Relationship
For web service ti,, i∈{1,2,…,|T|}, the postpositive web services of ti is a nonempty set Post(ti). If |ti• |=1,|Post(ti)|>1, and ti1 and ti2 all belong to Post(ti), then the relation between ti1 and ti2 is the selective relationship (Choice), which can be denoted as <ti1,ti2>∈Choice. Similarly, if there exists a web service t that satisfies t1,t2,…,tn∈Post(t), with the condition that the relationship between the elements of the set {t1,t2,…,tn} is a selective relationship, then the corresponding expressed sequence is (t1|t2|…|tn). This is shown as t2 and t3 in Figure 3c.
Theorem 1
If <t1,t2,…,tn>∈Sequence, there is only one element order for {t1,t2,…,tn} that satisfies <t1,t2>,<t2,t3>, …,<tk,tk+1>,…,<tn-1,tn>∈Sequence, |Post(ti)|=1 (i=1,2,…,n-2,n-1), and tk+1 ∈Post(tk), where k =1,2,…,n-2,n-1;
If <t1,t2,…,tn>∈Concurrence, ti, tj∈{t1,t2,…,tn}, and i≠j, then <ti, tj>∈Concurrence;
If <t1,t2,…,tn>∈Choice, ti, tj∈ {t1,t2,…,tn}, and i≠j, then <ti, tj>∈Choice.
Based on the definition of structural relationships, we can get the basic relational expression (sequence) between web services and their postpositive services as follows.
Suppose there is a web service ti and its postpositive web service is a nonempty set Post(ti), where Post(ti)={ti1,ti2,…,tik},and k∈N. According to the three kinds of basic structural relationships, the relational expression between ti and Post(ti) can be denoted as G(ti,Post(ti)) = tiR(Post(ti)), R∈{Sequence, Concurrence, Choice}.
If <ti1,ti2,…,tik>∈Sequence, according to theorem 1, definition 5, and the condition |Post(ti)|>=1, it can be concluded that |Post(ti)|=1. If tik ∈ Post(ti), then G(ti,Post(ti)) =titik;
If <ti1,ti2,…,tik>∈Concurrence, then G(ti,Post(ti))=ti(ti1&ti2&…&tik);
If <ti1,ti2,…,tik>∈Choice, then G(ti,Post(ti))=ti(ti1|ti2|…|tik).
If there exists a web service t and many structural relationships in its postpositive service Post(t)(Post(t) ≠ Ø), the relational sequence between t and Post(t) can be expressed by a nested basic structural relationship. As for this nested structure, we ignore its detailed and complex relationships and just consider that it only satisfies a single specific structural relationship from an overall perspective, which we call the Service Structural Body (SSB). On this basis, the basic structural relationship can be extended and applied to the web service and the Service Structural Body. For example, there are a web service t and its postpositive web service set {t1,t2, t3}. The relationship between t2 and t3 is selective, i.e., <t2, t3>∈Choice; therefore, their relationship expression (sequence) is (t2|t3). The relationship between t1 and the (selective) Service Structural Body <t2,t3> is concurrence, which can be denoted by <t1,<t2,t3>>∈Concurrence. Thus their relational sequence can be expressed as G(t,Post(t))=t(t1&(t2|t3)).
4.3 Control structures in composite web services
Loop structural relationship, shown in Figure 4
In the Petri net of a composite web service, the loop controller is Li, t1,t2,…,tn are web services, and i∈N, Li refers to a control transition which controls(influences) the loop structure body L(t1,t2,…,tn). In a loop structure body, there exist basic or nested structural relationships. In a Petri net with loop structures, |•Li|=|Li•|=1. Moreover, we regard the set {tj | tj∈Post (Li)} as the beginning service of the loop and the set {tk | tk∈Prot (Li)} as the ending service of the loop. The corresponding loop expression is represented as Loop(t1,t2,…,tn: Li) = (L(t1,t2,…,tn):Li).
Selective relationship with choice conditions shown in Figure 5
Suppose the selection controller (conditions) is Ci and t1,t2,…,tn are web services, i∈N, Ci refers to the control transition that influences the selective execution paths,|•Ci|=|Ci•|=1, Post(Ci)={t1,t2,…,tn}, and Pro(Ci) = Ø. The corresponding selection expression is Choice (t1,t2,…,tn: Ci) = (t1|t2|…|tn:Ci).

Figure 5
The selective structure with choice conditions.
5 Invocation of Web Service Based on Petri Net
Based on the analysis of the structural relationship and the PNML+OWL of web service composition, the invocation sequence of the web service composition can be proposed as follows.
5.1 Invocation sequence of web service composition
When considering the complexity of structures of a Petri net of web service composition and its composite services, it is not easy to achieve an automatic analysis and invocation of web services located in the complex structures. Thus, in order to maintain the structural relationship among the web services and promote automatic analysis and execution, the web services and their structural relationships should be presented in the form of symbol sequences called the invocation sequence of web services.
Definition 5 (Invocation sequence of web services) The invocation sequence of web services can be defined as , where WS is a web service set{ti, i=1,2,…,n} and WSi ⊆ WS. This satisfies and , where ti is a web service, Seq(WS) represents the invocation sequence based on WS, and R represents the structural relationships among the web services. If there exists some relationship covering WSi, namely R(WSi), then Seq(WSi) = R(WSi); otherwise, there must be a web service set that can be covered by some relationship that satisfies and . Then .
The following is an example of the invocation sequence of web services in Figure 1:
S1 = Seq(t2,t3) = Loop (t2,t3:L1) = (t2t3:L1);
S2 = Seq(t1, S1) = Sequence(t1, S1) = t1S1;
=>S2 = t1S1 = (t2t3:L1);
S3 = Seq (S2,t4) = Concurrence(S2,t4) = (S2&t4);
=>S3 = (S2&t4) = ((t2t3:L1)&t4);
S4 = Seq (S3,t5) = Sequence(S3, t5)= S3t5;
=>S4 = S3t5 = ((t2t3:L1)&t4)t5
S5 = Seq (t6,t7) = Choice (t6,t7:C1) =(t6|t7:C1);
S6 = Seq (S4, S5) = Sequence (S4, S5) = S4S5;
=>S6= S4S5= ((t2t3:L1) &t4) t5 (t6|t7:C1)
After iterating the above six formulas and replacing similar structural relationship expressions, the invocation sequence of the web services is S=Seq(t1,t2,t3,t4,t5,t6,t7)=(t1(t2t3:L1)&t4)t5(t6|t7:C1). In the invocation sequence of the web services, the priority of structural relationships is regulated as: sequence > concurrence >choice. In addition, the relational structure for the symbol “(“and”)” should be given a higher priority.
In conclusion, the main function of the invocation sequence of web services is to reflect the structural relationship among the web services, describe their execution sequence, and embody the planning results. Moreover, it can also provide a necessary basis for following coordinate scheduling and execution of multiple web services.
5.2 Invocation scheduling of web services
Definition 6 (Relationship identifier) The relationship identifier R={ ti | Ai | Ci | Li, i=1,2,…,n }, where i is an integer, ti represents an atomic web service, Ai represents the concurrence relationship, Ci represents the selective relationship, and Li represents the loop relationship. The invocation scheduling for web services is given as follows:
Step1: Retrieve the input-output associations among the web services from PNML+OWL;
Step2: Simplify the invocation sequence of the web services by relationship identifiers. The purpose of this step is to locate the scope of a certain structural relationship so as to schedule web services in the relationship;
Step3: Extract structural relationships. Based on the specific relationship identifier and the invocation sequence of web services that were generated in Step 2, the web services are further invoked according to their structural relationships.
5.3 Invocation condition of choice sequence
Definition 7 (Choice sequence) If there are N sequences, such as S1’, S2’, Sn’, in a selective structure, each sequence is called a choice sequence.
Each first web service ti1,ti2,…,tik,…,tin can be extracted from sequences S1’,S2’,…,Sn’. Suppose tpik(k=1,2,…,n) is an input for each first web service, it is associated with the output pj of web service tj. In the web service composition, it satisfies and , where Pre (tim) is the prepositive service set of web service tim. The semantic association between pj and pik is reasoned and obtained, and then the selection is performed as follows:
If the semantic association between pj and pik is a parent-son relationship, an instance-class relationship, or a complete equivalence relationship and pj and pik are of consistent data types, then the input (pj) of web service pj can meet the input (pik)of web service tik, and the sequence Si’ has been chosen.
If the semantic association between pj and pik is a parent-son relationship or an instance-class relationship, then the semantic association between the values of pj and pik should be further judged. Suppose the value of pj is vpj only if the semantic association of vpj and pik is a parent-son relationship or an instance-class relationship, then the output pj of web service tj can meet the input pik of web service tik. Thus, the sequence Si’ has been chosen.
5.4 Invocation policy of structural relationship
Suppose a relationship identifier Ri exists, and its structural relationship is R(t1, t2,…,tj), j ∈N. The invocation of web services can be treated as follows:
Atomic web services, that is Ri∈ {ti ; i =1, 2,…,n}. Invoke each web service directly;
Concurrence structure relationship, that is Ri∈ {Ai, i = 1, 2, …, n} and R(t1, t2,…,tj) = (t1&t2&…&tj). Invoke web service t1, t2, … tj in concurrent threads;
Selective structure relationship, that is Ri∈ {Ci, i = 1, 2,…, n} and R(t1, t2,…,tj) = (t1|t2|…|tj). Screen out the set S of web services that meet the invocation condition of the choice sequence from t1, t2,…, tj, and then invoke each web service of S in concurrent threads;
Selective structure relationship with choice conditions, that is Ri∈ {Ci, i = 1, 2,…, n} and R(t1, t2,…,tj) =(t1|t2|…|tj: ck), where ck is a choice condition. Screen out set S of the web services from t1, t2,…, tj to ck and then invoke each web service of S in concurrent threads;
Loop structure relationship, that is Ri∈{Li, i = 1, 2,…, n} and R(t1, t2,…,tj) = (L(t1, t2,…,tj) : lk), where L(t1, t2,…,tj) is its loop structure body. Invoke the web services of L(t1, t2,…,tj) first, and then execute the method that published in the service Lk. According to the return value, subsequently re-invoke the web services of L (t1, t2,…,tj) constantly until the value is false.
In practice, there may be a nested structural relationship that contains multiple or different kinds of service structural relationships, just like R (t1, t2,…,tj) =(t1&t2&…&tk&R1), where R1 is a relationship identifier of the structural relationship R’(tk+1…,tj). Therefore, it is necessary to nest the above invocation policies to deal with this relatively complex structural relationship.
5.5 Web services composition invocation algorithm based on Petri net
Inputs: invocation sequence and PNML+OWL file of web service composition
Outputs: invocation results of web service composition
Step 1: Extract input-output associations between web services. From the flow relation sets (the “arc” label) in PNML+OWL, the input-output associations between web services are analyzed and extracted. Then the data association Hash table (IORelevancyMap) can be further created. Suppose the output pi of web service ti is associated with the input pj of web service tj, where i and j are integers, then the corresponding storage format of the Hash table is key= “ti : pi ”, and value= Hash(key)= “tj : pj”.
Step 2: Simplify web service invocation sequence. For the invocation sequence of web services S, the character c can be read from left to right in turn. If c is ‘(‘, c and the following characters are pushed into a stack until the character that is read from S is ‘)’. If c is ‘)’, characters are popped from the stack until the character that pops from the stack is ‘(‘. After this, the popped string (characters) that match ‘(‘ with ’)’ are processed as follows:
If the string contains the character ‘&’, the string is denoted as a concurrence structure sequence by the relationship identifier Ai (i=1, 2,…,k). Ai and its corresponding concurrence sequence t1&t2&…&tn are added into the Hash table Concurrent Map. The Hash table Concurrent Map is key = Ai and value= Hash (key)= “t1&t2&…&tn”,
If the string contains the character ‘|’ and does not contain the character ‘:’, the string is denoted as a choice structure sequence by the relationship identifier Ci(i=1,2,…,k). Ci and its corresponding choice sequence (t1|t2|…|tn) is added into the Hash table ChoiceMap. The hash table ChoiceMap is key =Ci and value= Hash (key)= “t1|t2|…|tn”;
If the string contains the character ‘|’ and character ‘:’, the string is denoted as a selective structure sequence with choice conditions by the relationship identifier Ci(i=1,2,…,k). Ci and its corresponding choice sequence (t|t2|…|tn: cj) are added into the Hash table ChoiceMap. The Hash table ChoiceMap is key = Ci and value= Hash (key)=”(t1|t2|…|tn : cj)”;
If the string contains character ‘L’, the string is denoted as a loop structure sequence by the relationship identifier Li(i=1,2,…,k). Li and its corresponding loop sequence (L(t1, t2,…, tn) : Lj) are added into the Hash table LoopMap. The hash table LoopMap is key = Li and value= Hash(key)= “(L(t1, t2,…, tn) : Lj)”;
If the stack is empty, the character “/”will be appended onto the ending of the extracted string so as to distinguish each invocation sub-sequence of the web service. The invocation sequence is divided into several invocation sub-sequences of web services. The structural relationship among these invocation sub-sequences is the sequenced relation.
Step 3: Invoke web services according to the invocation sequence generated from step 2, and respectively execute each service structure and its corresponding internal web services.
Suppose the simplified invocation sequence is S’, where i and j are integers and i is not equal to j. After traversing S’, the relationship identifier R can be extracted in turn. Now invoke the web services as follows.
If R∈{ti,i=1,2,…,n}, then according to the data association Hash table IORelevancyMap, the output pj of web service tj will be discovered, which is associated with the input pi of web service ti. Then the value of pj can be obtained from the outcome results of tj, which is the input parameter of ti. Afterwards, according to the acquired interface of ti, the web service ti can be fully invoked. Meanwhile, the corresponding execution results will be saved.
If R∈{Ai,i=1,2,…,n}, according to the Hash table ConcurrentMap, the value(string) corresponding to the key Ai can be acquired. Then the concurrence sequences will be parsed from the value, and the same operation will be repeated as in step 3. Meanwhile, each execution process should be placed into several concurrent threads.
If R∈{Ci,i=1,2,…,n}, according to the Hash table ChoiceMap, the value (string) corresponding to the key Ci can be acquired. Then the selective sequences will be parsed from the values, which are S1’,S2’,…,Sn’. First, according to the executable condition of selective sequences, the sequences that satisfy these conditions are added to a set (selectedSet). Second, it is necessary to judge whether Ci has selective conditions. If these exist, it should retrieve the published method of this selective condition, and then the selective result will be written into a set (selectedConSet). Finally, after the intersection between selectedSet and selectedConSet, the same operation will be repeated as in step 3. Meanwhile, each execution process should be placed into several concurrent threads.
If R∈{Li,i=1,2,…,n}, according to Hash table LoopMap, the value (string) corresponding to the key Li can be acquired. Then the loop structure body and the loop condition will be parsed from the value. In the following process, the loop structure body will be executed according to step 3, and then the published method of this loop condition will be invoked. The Boolean value of results determines whether to re-execute the loop structure.
6 Experiment
We consider a composite web service of scientific computing as an example to specify the above invocation policy and execution.
There are eight web services in the composite web service of scientific computing (Table 1). The input e1 of web service t1 is equivalent to the output E1 of web service t3. The output e2 of web service t2 is equivalent to the input E2 of web service t3.The output r2 of web service t7 and the input R2 of web service t8 is a father-son relationship.
Table1
The details of computing service.
| ID | web service | Function | Input | Output |
|---|---|---|---|---|
| t1 | AddService | Addition | a;b | e1 |
| t2 | SubstractService | Substraction | c;d | e2 |
| t3 | MultiplicationService | Multiplication | E1;E2 | r |
| t5 | PowerService | Square | r | r1 |
| t6 | AbsService | Absolute value | r | r4 |
| t7 | SinService | Sine | r1 | r2 |
| t8 | CosService | Cosine | R2 | r3 |
| t9 | SqrtService | Square root | r4 | r5 |
The Petri net model of the scientific computing web service is shown in Figure 6, and its invocation sequence is S= (t1&t2) t3 (t5 (t7t8:L1)|t6t9:C1).

Figure 6
Scientific computing service Petri net.
In Figure 6, C1 is a selective condition of web service PowerService and web service AbsServcie. The corresponding method of C1 is choice (double e1, double e2) and its returned value is an integer, where e1 is an output of web service AddService and e2 is an output of web service SubstractService. L1 is a selective condition of web service SinService and web service CosService. The corresponding method of C1 is is End (double p1, double r3) and its returned value is a Boolean value, where p1 is the user’s input parameter and r3 is an output of web service CosService.
From the scientific computing service Petri net, the structural relationship among the web services can be analyzed as follows: (1)<t1, t2>∈Concurrence; (2)<t5, t7>∈Sequence; <t7,t8>∈Sequence; <t6, t9>∈ Sequence; (3)<t5, t6>∈Choice.
The detailed experimental procedure is described as follows:
Import a semantic file (Computing Service.owl) and the corresponding PNML+OWL document;
Parse PNML+OWL and construct the data association hash table IORelevancyMap (Table 2),
The mapping table between ID and name is as in Table 3;
Get a simplified sequence S’=A1/t3C1/ by simplifying the invocation sequence of web service (S);
According to the relationship identifier of S’ and the corresponding invocation policies, invoke web services in turn. The execution order of web services is: t2->t1->t3->t5->t7->t8->L1->t7->t8->L1- >t7- >t8.
Table 2
Data association hash table.
| ti:pi | t3:P6 | t3:p7 | t5:P9 | t6: P11 | T7: P13 | t8: P15 | t9: P17 |
| tj:pj | t1:P2 | T2: P5 | t3: P8 | t3:P8 | T5: P10 | t7: P14 | t6: P12 |
Table 3
The mapping table between ID and name.
| ID | P2 | P5 | P6 | p7 | P8 | P9 | P10 | P11 | P12 | P13 | P14 | P15 | P17 |
| name | e1 | e2 | E1 | E2 | r | r | r1 | R | r4 | r1 | r2 | R2 | r4 |
From the execution time coordinate picture of web services shown in Figure 7, the users interaction restricts the total execution time. The loop condition is executed 3 times, in which SinService (t7) and CosService (t8) are also invoked 3 times. AbsService (t6) and SqrtService (t9) are not invoked, which means that the selective structure has choose PowerService (t5) as the executable web service rather than AbsService. In addition, in the time slot 0–750ms, SubstractService (t2) and AddService (t1) are invoked during the same time period, which reflects the concurrence relationship between the web services.

Figure 7
The web services execution time coordinates.
In conclusion, the whole execution of the scientific computing service fully corresponds to the execution flow of the invocation sequence of web services. The execution order and results are correct, and it reflects the structural relationship among the executable web services, which further validates the correctness and effectiveness of this method (Table 4).
Table 4
The execution result table.
| service ID | Service name | Input name & value | Output name & value |
|---|---|---|---|
| t2 | SubstractService | c(4.0) d(1.0) | e2(3.0) |
| t1 | AddService | a(8.0) b(3.0) | e1(11.0) |
| t3 | MultiplicationService | E1(11.0) E2(3.0) | r(33.0) |
| t5 | PowerService | r(33.0) | r1(1089.0) |
| t7 | SinService | r1(1089.0) | r2(0.9055) |
| t8 | CosService | R2(0.9055) | r3(0.6172) |
| t7 | SinService | r1(1089.0) | r2(0.9055) |
| t8 | CosService | R2(0.9055) | r3(0.6172) |
| t7 | SinService | r1(1089.0) | r2(0.9055) |
| t8 | CosService | R2(0.9055) | r3(0.6172) |
7 Conclusion
In this paper, the invocation policies of web service composition have been concretely studied. Based on the Petri net of web service composition, the structural relationships are defined and analyzed. Then the corresponding invocation scheduling policies are proposed to describe different structural relationships. Finally, a web service composition execution algorithm is put forward based on Petri net, which can realize the orderly invocation of services within a web service composition. In a nutshell, this study is a good attempt to apply Petri net theory and its analysis methods to the execution of a web service composition.
Further research work may include:
Extending the instance range to more applications so as to validate the effectiveness of this method and improve its performance.
Based on the results of this paper and exceptions collected during the execution of web service composition, further study will focus on running fault detection and its analytical policies with Petri net.
8 Acknowledgements
This work was supported by National Natural Science Foundation of China (60903099).
