Web-based citizen science initiatives that engage the public in the collection of scientific data have been increasing at unprecedented rates. This growth has been especially important for conservation efforts. For instance, the alarming report that nearly 3 million North American birds have been lost since 1970 was based, in part, on bird-watching data logged by citizen scientists (Rosenberg et al. 2019). The rising importance of citizen science raises questions regarding the factors that shape participants’ engagement with these initiatives (Phillips et al. 2019). One of these factors is the term citizen science itself.
Across multiple science fields, recognition and concern have been growing about the negative social effects that can be associated with labels, names, and other scientific terminology. For example, in 2023 the American Ornithological Society announced that it would be changing “all English-language names of birds within its geographic jurisdiction that are named directly after people,” in acknowledgement of the harmful and exclusionary history associated with some of those names. In the field of ecology and evolutionary biology, some writers have suggested that alternatives be found for ubiquitous terms like invasive species, which have potentially exclusionary connotations (Cheng et al. 2023). Similar concerns about the term citizen science, such as tensions stemming from the distinction it draws between amateur data collectors and professional scientists, and whether its influence on engagement differs by people’s cultural backgrounds (Eitzel et al. 2017) have led some organizations to seek alternatives to the citizen science terminology (Ellwood et al. 2023).
Merely changing terminology may be insufficient (Cooper et al. 2021), however, and may also have unintended negative consequences. For example, Lin Hunter and colleagues (2023) found that although projects labeled as community science were perceived to be more inclusive than projects labeled as citizen science, community science projects were also perceived as being less accepted by the scientific community and less familiar to the public. Whereas most of the discussion has been centered in North America, some scholars focused on other regions argue that the discourse about what citizen science means “extends beyond vocabulary” (Leach and Fairhead 2002, p. 299). Given such debates about whether simple re-labeling can meaningfully affect individuals’ attitudes and behaviors, examining directly the possible effects of the citizen science term is important for both practical and theoretical reasons.
Our research drew on theories of framing and identity, to conduct an online field experiment with new users of Habitat Network (HN) (formerly YardMap), in which the platform was described either as a citizen science or an environmental stewardship project. HN, which has been discontinued, was a part of the suite of citizen science projects at the Cornell Lab of Ornithology. It was an online platform that allowed participants to create visual representations (i.e., maps) of their properties, typically their own homes (Dickinson and Crain 2019), and was both an environmental stewardship and a citizen science project. HN was designed to study and encourage environmental stewardship practices, such as small lawn size and pollinator-friendly plantings. Meanwhile, data from participants’ maps enabled researchers to analyze impacts of domestic practices on wildlife habitat and reduction of carbon emissions. The research presented here was therefore guided by the question of how the citizen science and environmental stewardship frames might influence participants’ perceptions of and activities within the project.
Framing and citizen science
Framing theory is well established in environmental communication (Lakoff 2010). The basic notion is that messages emphasize certain aspects of an issue, thereby increasing the salience of those aspects, with the potential for downstream effects on cognition, affect, and behavior (Entman 1993). In particular, we argue that the way online citizen science platforms label and describe various project elements or activities represent what Druckman (2001) describes as emphasis framing – drawing more attention to some aspects of issue-relevant information than to others (e.g., as when immigration is framed as a national security versus a humanitarian issue), and thereby influencing attitudes and behavior in part by increasing the likelihood that semantically associated concepts come to mind (Entman 1993). For instance, the citizen science frame may increase the accessibility of stored concepts related to that term or its component words of citizen and science, which may affect how people perceive of and engage with a given project (Lin Hunter et al. 2023).
Within the citizen science discipline, critiques have largely centered on the connotations of the word citizen. Several essays have noted that this word rings exclusionary to many, particularly to Indigenous and immigrant communities in the United States (U.S.) (e.g., Ellwood et al. 2023; Liebenberg et al. 2021), where recent high-profile political debates over immigration have highlighted issues related to citizenship. Further, Cooper and colleagues (2021) point to the demographics that characterize most citizen science participants in the U.S. – white, affluent, highly educated – as evidence that the original democratizing intent of the citizen qualifier has not been achieved.
Discussions about the science component of the term have primarily focused on the definitions of science and scientist, and the potentially exclusionary nature of those definitions. Although a variety of activities are counted as science across different projects ranging from monitoring to data analysis, everyday practices such as systematic experimentation by farmers (Eitzel et al. 2017), specialized skills of animal trackers, and ways of knowing traditional to Indigenous groups (Liebenberg 2021) may not be recognized by some as science. Further, Eitzel and colleagues report that the distinction between a scientist and a citizen scientist is based most frequently on training, institutional affiliation, and employment status. They point to examples of the exclusionary practice of describing citizen scientists in terms of what they are not (e.g., non-academic or non-professional), noting that this practice can “result in devaluing participants in their work” (p. 14).
The citizen science frame and gender
Although the recent attention in the U.S. to the exclusionary effects of the citizen science label has centered largely on Indigenous and immigrant communities, similar concerns can also apply to the long-standing exclusion, bias, and underrepresentation based on gender, ethnicity, and race in science generally (Begeny et al. 2020; Ceci et al. 2023; Thomson et al. 2021), and in citizen science specifically (Ibrahim et al. 2021; Mahmoudi et al. 2022). In contrast to the widespread lack of racial and ethnic diversity in mainstream citizen science projects, there is substantial participation by women, though still at lower levels than that by men and with considerable variance in gender composition by project type (Strasser et al. 2023).
Given that numerous studies have shown science to be more strongly associated in people’s minds with male than with female concepts (Cai et al. 2016; Marini and Banaji 2022), we were interested in whether implicit gender associations would predict framing effects of the citizen science label. That is, would there be stereotype-consistent gender differences such that women would be less interested than men in a citizen science project compared with a project labeled in some other way? Our study sought to directly address this question.
An alternative frame?
We sought an alternative label that could be plausibly used in our study context of an online social network platform focused on promoting eco-friendly behaviors. We ultimately chose environmental stewardship, which has a long history in the conservation literature internationally, and involves both policy activities (Baker et al. 2012) and volunteerism by individuals and community groups (Ryan et al. 2001). It is typically used to convey efforts in “protecting and helping the imperiled natural environment” (Ryan et al. 2001, p. 629). Moreover, environmental stewardship is a key motivation for some people to participate in citizen science projects (Alender 2016). From a framing perspective, the component words of environmental stewardship carry independent connotations, which offer a useful contrast against those of citizen science.
It was also of interest to examine gender effects in the contrast between the citizen science and environmental stewardship frames. Research has found that women generally display stronger environmental concern and pro-environmental attitudes than do men (e.g., Chan et al. 2019; Echavarren 2023). This difference cannot be accounted for by a single definitive explanation, but relevant factors include psychological traits (Desrochers and Zelenski 2023), sociocultural norms and expectations, and political and economic structures (Goldsmith et al. 2013; Norgaard and York 2005). This pattern leads us to ask whether a frame containing the word environment may be perceived by women as less exclusionary than one containing the term citizen science. Meanwhile, empirical evidence is mixed about the gender balance in participation rates in projects labeled environmental citizen science. For example, in a survey of British participants in a variety of such projects, Pateman and colleagues (2021) found lower participation among women than among men, whereas an internationally-focused literature review reported that empirical evidence suggests a balanced gender representation (Vasiliades et al. 2021).
Several writers have discussed the term stewardship and the steward identity label through the lens of ethics of care, which has been argued to be more characteristic of women’s than men’s orientation toward the natural environment (Whyte and Cuomo 2016). This approach is “grounded in virtues, practices, and knowledge associated with appropriate caring and caretaking of self and others” (Whyte and Cuomo 2016, p. 234), and some research has suggested that the caring orientation may be associated with feminist values (Smith 2001). Environmental stewardship may thus offer a more inclusive frame that avoids the potentially alienating connotations of citizen science.
Gender differences in response to the labels citizen science and environmental stewardship may also be related to perceptions of community surrounding a conservation project. Defined as a feeling of belonging, interdependence, and a shared faith that community members’ needs will be met through collective commitment (McMillan and Chavis 1986), sense of community (SoC) can be important for two reasons. First, studies have shown that feeling part of a community or team is a top motivator of people’s engagement with citizen science and conservation projects, ranked behind only helping the environment and contributing to science (Haywood 2016; Kaplan Mintz et al. 2023). Therefore, participation may depend in part on whether participants see themselves as belonging to a community. Second, feeling part of a community is positively related to self- and group-efficacy, which strengthen the impact of pro-environmental collective action (Groulx et al. 2017). Our study therefore examines whether participants’ SoC differs by gender and by how a project is labeled.
We had a further goal of contributing behavioral data relevant to the debates over the effects of the citizen science label. The scant empirical evidence is based on self-reported survey and interview data (e.g., Lin Hunter et al. 2023), and we are unaware of data on observing behaviors such as rates of joining a project or level of engagement. By randomly assigning people to versions of the same conservation-related project labeled as either citizen science or environmental stewardship and studying both their perceptions and behaviors, we aimed to test whether the term citizen science discourages participation in these projects as some have suggested. We also aimed to test whether framing effects would vary across participants in a manner consistent with the gender identity–related connotations of these terms, whereby women would show more positive attitudinal and behavioral outcomes under the environmental stewardship frame than under the citizen science frame, and that men would show more positive outcomes under the citizen science than under the environmental stewardship frame. Therefore, we tested the following hypothesis:
Women exposed to an environmental stewardship and men exposed to a citizen science frame will show higher engagement with the project, perceive a higher SoC, and show higher pro-environmental interest than will women exposed to a citizen science frame and men exposed to an environmental stewardship frame.
Materials and Methods
Overview
We conducted a between-groups field experiment involving voluntary participants in HN, a socially networked online platform built on geo-mapping software that enabled participants to create visual maps of their property, typically their own homes (Dickinson and Crain 2019). Examples of map content included physical structures such as houses and paved areas; habitat types such as wooded areas and gardens; objects such as birdhouses and specific plantings; and icons indicating sustainable practices such as small lawn size. Social components of the platform included viewing and commenting on each other’s maps, posting to external social media accounts, a newsfeed, interest groups, and discussion boards.
The independent variable was the version of the platform description participants were exposed to over a two-week period. The measures included mapping behaviors and map content recorded automatically in the platform during the study period and for an additional 16 days, and responses to surveys taken pre- and post-exposure to the study treatments. This study was approved by Cornell University’s Institutional Review Board (protocol #1511005948).
Participants and recruitment
Participants typically learned about HN through a variety of channels—most commonly pre-existing involvement with other Lab of Ornithology projects and advertisements in specialized publications and on social media (Dickinson and Crain 2019). All individuals who joined HN from May 17 through July 31, 2016 were invited to participate in the study (N = 1780). Upon completing the standard online HN sign-up process, they were redirected to a page explaining that we were studying “how to best design software to support online education projects” and inviting them to participate in the research. Of the 1,780 people invited, 699 completed the online informed consent form and the presurvey, and of these participants, 172 completed the post-survey, yielding an overall study completion rate of 23.6%. The attrition rate did not differ across frame condition or gender.1 Participants who completed both surveys received a $10 Amazon gift card.
Study procedures
After completing the pre-survey, participants were randomly assigned to either the environmental stewardship frame (ES, n = 359) or citizen science frame (CS, n = 340) condition, and were sent to the version of the HN web application customized to their frame. The customization included an introductory video that used different menu bar taglines to describe the project (Habitat Network, a project devoted to Environmental Stewardship and Habitat Network, a project devoted to Citizen Science), and frame-consistent language throughout the video script to describe HN activities. The Appendix presents the full text of the video script. Further, the appropriate frame text appeared in the mapping area of the web application. During the two-week study period, participants’ access to the project was limited to their assigned frame version, but this did not restrict their access to the project’s capabilities or activities.
The framing manipulations were further reinforced in three emails that encouraged and provided information about pro-environmental behaviors, delivered to participants on days 2, 6, and 10 of their respective enrollment in the study. The emails were addressed to either citizen scientists” or to “environmental stewards,” and contained links to information about: (1) reducing lawn size, (2) reducing chemical usage, and (3) switching to green energy sources. The frequency of clicking on these information links also provided a behavioral measure of framing effects. This order of email content was constant across all participants (see Appendix for the full text of these messages). Finally, participants received an invitation to the post-survey on Day 14 of their respective start day, with a follow-up reminder on Day 21. To ensure that our measures were based on the same amount of exposure to the frames for everyone, participants were locked out of HN after Day 14 and redirected to complete the post-survey. Unless people indicated they wished to discontinue the study, they were given access to the regular version of HN only after they completed the post-survey.
Pre-survey
The pre-survey collected the following demographic measures: gender, age, education, ethnicity, locale type of their home (urban, suburban, rural), political party affiliation (Democrat, Independent, Republican, Other) and political ideology (7-point scale: 1 = Extremely liberal, and 7 = Extremely conservative). The 15-item New Environmental Paradigm measure (NEP: Dunlap and Van Liere 2008) measured participants’ environmental attitudes and values. These items were measured on 5-point scales: 1 = Strongly disagree, and 5 = Strongly agree (study Cronbach α = 0.85).
Outcome measures
Platform engagement
For all participants who completed the presurvey (N = 699), we examined several indicators of participant effort and engagement automatically logged within HN over a period of 30 days, which included the two weeks they were exposed to the framing stimuli and an additional 16 days. The specific measures were counts of: (1) logins; (2) days showing at least one mapping behavior; (3) all mapping behaviors (i.e., drawing objects, placing icons, and any changes made); and (4) objects depicted on their map (e.g., buildings, badges, polygons representing plantings). These measures were highly intercorrelated (r’s ranged from 0.78 to 0.89, all p < .001) and thus we elected to use just the number of all mapping behaviors in our analyses to represent platform engagement and effort.
Environmental interest
We counted the number of times participants clicked on the pro-environmental information links in the three emails. Second, we identified a set of behaviors or map objects clearly associated with pro-environmental interest—presence of pollinator-friendly plantings, composting, green energy, no to low gas-powered mowing, small lawn size, and low chemical usage—and included in our analyses the proportion of map content covered by these behaviors and objects.
Sense of community
We measured participants’ SoC using a 21-item measure developed and validated by Blanchard et al. (2022). Sample items included “HN users are a unit,” “HN users have similar values,” and “HN users share a common goal,” (measured on 5-point scales: 1 = Strongly disagree and 5 = Strongly agree; study Cronbach α = 0.95).
Results
Supplemental Tables 1 and 2 present the sample demographics and correlations among the study variables, respectively.
Manipulation check
Two items on the post-survey asked participants to indicate: (1) whether they thought of HN as “primarily an environmental stewardship project” (ES) or as “primarily a citizen science project” (CS), and (2) whether the email messages they received described platform users as “citizen scientists all the time” or “environmental stewards all the time.” Participants responded to each of these items on a continuous scale from –1 (CS) to 1 (ES). Thus, responses with a negative sign indicated that participants perceived CS framing, and a positive sign indicated that participants perceived ES framing. Results showed that the effectiveness of the manipulation differed between the two experimental conditions. More people assigned to the CS than to the ES condition misidentified the frame for how they primarily thought of HN, (χ2 (1, N = 172) = 7.51, p = .01), and how the emails were labeled, (χ2 (1, N = 172) = 12.22, p < .001). This pattern suggests that there may have been an interaction between the manipulated frames and how participants perceived the HN platform. We therefore included how participants perceived the platform as a predictor in the statistical models so that we could examine the interaction directly. We labeled this predictor perceived frame in the models. It is important to note that because of including this variable, the sample for the analyses is limited to the N = 172 participants who completed the postsurvey. We later discuss implications of these manipulation check results.
Platform engagement
We first examined mapping behaviors. A relatively large proportion of the sample showed no activity during the 30-day observation period (32%, N = 223), which is typical of citizen science activity levels (Strasser et al. 2023). The appropriate analysis for data with this characteristic is a zero-inflated hurdle model with a negative binomial distribution (ZINB) (Feng 2021; Zeileis et al. 2008). This model first predicts the likelihood of people showing any mapping behavior (i.e., passing the zero hurdle). Then the model examines the predictors of mapping behavior counts among people showing mapping behavior. The main predictors in this analysis were assigned frame condition, perceived frame, and gender. Control variables were environmental attitudes (measured by NEP), and political ideology, given how strongly ideology predicts environmental attitudes and behaviors (Dunlap et al. 2001). The full model results are available in Supplemental Table 3.
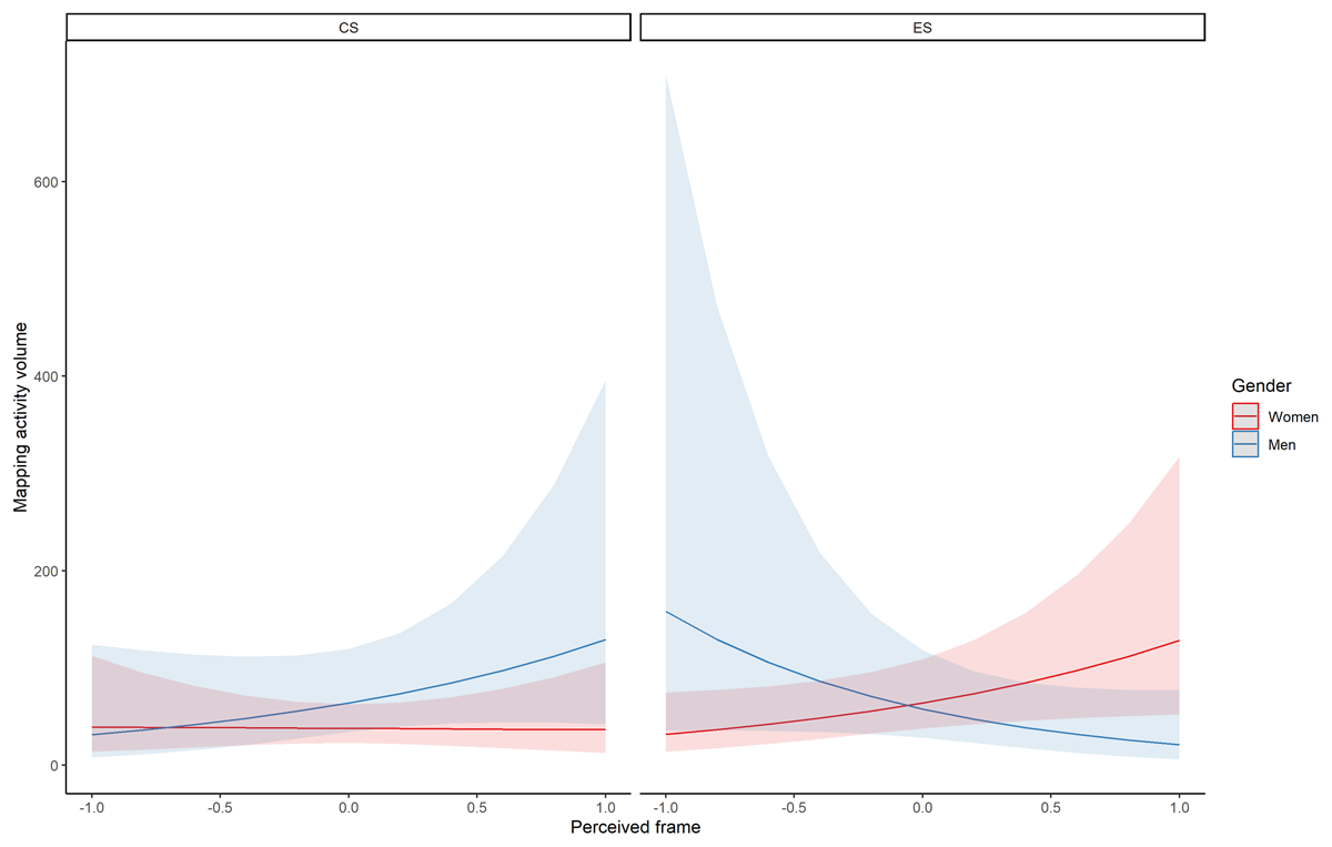
The results showed no direct effect of the assigned frame on mapping behavior. Relevant to our hypothesized interaction between framing and gender, there was a statistically significant three-way assigned frame/perceived frame/gender interaction, displayed by the plot in Figure 1. Consistent with our prediction that environmental stewardship framing would have a more positive effect on women than on men, among people assigned to the ES frame condition, mapping behaviors increased among women the more they also perceived the platform as ES, and decreased among men the more they also perceived the platform to be ES. Inconsistent with our hypothesis, however, among people assigned to the CS frame condition, mapping behaviors increased for men the more they perceived the platform to be ES; perception of the platform had no effect on women’s mapping behavior in the assigned CS frame condition (β = –2.45, SE = 1.01, p = 0.01).

Figure 1
Mapping activity volume by assigned frame, perceived frame, and gender. CS: Assigned Citizen Science frame; ES: Assigned Environmental Stewardship frame. Perceived frame ranges from –1 = Citizen Science to 1 = Environmental Stewardship.
Environmental interest
We analyzed the proportion of total map content reflecting pro-environmental interest (e.g., presence of pollinator-friendly plantings, icons for small lawns), with ZINB again due to marked zero inflation (66% of those who made maps had no pro-environmental content on their maps). The main predictors were assigned frame, perceived frame, and gender with political ideology, and NEP as control variables. The detailed results are displayed in Supplemental Table 4. Results showed that people assigned to the ES frame condition had less pro-environmental content than did people assigned to the CS condition (β = –2.33, SE = 0.92, p = 0.01). A 3-way interaction (displayed in Figure 2) is consistent with our hypothesis: Among men assigned to the ES frame, the probability of their maps displaying any pro-environmental content decreased the more they also perceived the platform as ES, compared with women and with men assigned to the CS frame (β = –5.40, SE = 2.66, p = 0.04). We next examined the frequency of clicking on the email links to obtain pro-environmental information. Nearly half the sample (N = 331) opened none of the emails and only 62 individuals (9%) clicked on links to pro-environmental information. A chi-square analysis showed no statistically significant differences by gender or frame for clicking on the email links.

Figure 2
Probability of any environmental entities appearing on maps by assigned frame, perceived frame, and gender. CS: Assigned Citizen Science frame; ES: Assigned Environmental Stewardship frame. Perceived frame ranges from –1 = Citizen Science to 1 = Environmental Stewardship.
Sense of community
We examined effects of framing and gender on participants’ sense of HN being a community using a general linear model with assigned frame, perceived frame, and gender as the main predictors, and NEP score and political ideology as control variables. The full results of the analysis are presented in Supplemental Table 5. Figure 3 provides a plot of the interactions.

Figure 3
Sense of community by assigned frame, perceived frame, and Gender. CS: Assigned Citizen Science frame; ES: Assigned Environmental Stewardship frame. Perceived frame ranges from –1 = Citizen Science to 1 = Environmental Stewardship.
Main effects show that men reported a lower SoC than did women (β = –0.85, SE = 0.40, p = 0.03). Participants assigned to the ES frame reported a lower SoC than did those assigned to the CS frame (β = –0.86, SE = 0.36, p = 0.02), but perceiving the platform as ES was positively related to seeing HN as a community (β = 1.59, SE = 0.44, p < .001). This perceived frame effect was qualified by an interaction with gender such that whether the platform was perceived as ES or CS affected SoC only among women—the more women saw the platform as ES, their SoC increased, whereas no effect of perceived frame on SoC was perceived among men (β = –1.48, SE = 0.73, p = 0.04). These results were further qualified by a 3-way interaction, illustrated in Figure 3, which showed that the effects of the gender differences in perceived frame depended on their assigned frame condition. That is, perceiving the platform as ES was positively related to SoC for women in both assigned frame conditions, but for men, perception of the platform only mattered for those assigned to the ES frame condition—for them, SoC was positively related to also perceiving the platform as ES (β = 2.49, SE = 1.18, p = 0.03).
Discussion
This study examined whether framing HN as a citizen science versus an environmental stewardship project would influence participants’ engagement with the project, their pro-environmental interest, their sense of HN as a community, and whether any such effects would vary by gender. Our data show very little evidence of direct effects of the framing manipulation. The results instead suggest that participants’ perceptions of HN were associated with our behavioral outcome variables, but these perceptions were not strongly influenced by our framing manipulation. Recall that the effectiveness of our framing manipulation on perceptions about the platform was imbalanced between the two assigned conditions. Participants assigned to the ES frame generally remembered that frame correctly, whereas participants assigned to the CS frame were about equally likely to describe the frame as citizen science as environmental stewardship. One explanation for this pattern might be that the activities involved in HN, which focused on making maps to describe habitat features and activities around one’s home, may fit people’s ideas of environmental stewardship more than their ideas of citizen science. This may have therefore reinforced perceptions of environmental stewardship in the assigned ES frame condition, whereas in the assigned CS frame condition, no such reinforcing factor was present.
Our results also showed mixed support for the hypothesized interaction effects between gender and framing, in which we expected higher engagement, environmental interest, and SoC among women when assigned to the ES frame, relative to the CS frame, and vice versa for men. Consistent with the hypothesis, among people assigned to the ES frame condition, mapping behaviors among men decreased the more they also perceived HN as environmental stewardship, whereas mapping behaviors among women increased the more they also perceived the platform as environmental stewardship. Among participants assigned to the CS frame condition, the observed gender difference was opposite to what we had hypothesized. That is, men assigned to that condition showed a higher volume of mapping behaviors the more they perceived HN to be an environmental stewardship project, whereas perception of the platform had no effect on the mapping behaviors of women assigned to that condition. We saw similar mixed results regarding the presence of pro-environmental content on participants’ maps. Contrary to our expectations, men assigned to the ES frame were more likely to have any pro-environmental content on their maps, relative to participants in all other groups. However, as our hypothesis would predict, this likelihood decreased the more men reported perceiving HN to be environmental stewardship.
The results also suggest that the reinforcing interaction between the formal environmental stewardship label and perception of HN as environmental stewardship was especially important for men in perceiving the project as a community. As shown in Figure 3, men’s SoC increased only when they were assigned to the ES condition and also perceived the project to be environmental stewardship. This finding suggests that the congruence between participants’ experiences in a project and their expectations, shaped in part by the formal label, may more strongly affect some people than others. For example, it has been suggested that men’s SoC in citizen science projects may be based in part on competitively contributing data (Jönsson et al. 2024). Perhaps then, an environmental stewardship frame may not readily evoke what men perceive to be community, but rather that perception might develop through their experiences in the project. Women, however, may be more predisposed toward seeing a SoC associated with an environmental stewardship frame from the start.
These findings connect to the explanation we offered earlier for the differential effect of our framing manipulation. The ES framing for HN may have reinforced already-existing perceptions of HN as environmental stewardship owing to the nature of the activities on the platform, such as earning badges for practices such as small lawn size. This distinction between manipulated framing and perceived framing is reminiscent of the distinction between frames in communication and frames in thought that communication and political science scholars have theorized (Brüggemann 2014; Chong and Druckman 2007). Although our study attempted to vary how participants viewed the nature of the platform through our labeling manipulation, it is of course not guaranteed that this messaging difference would have changed the way participants saw the platform; indeed, and especially for audiences familiar with or interested in a sustainability-themed community (as was likely the case here), it should be expected that they would have arrived to the study with preconceived notions about the nature of the platform.
Limitations and future research directions
Several limitations should be considered in interpreting our results. First is the unique nature of our sample. We recruited participants from people who voluntarily joined HN and thus likely held higher environmental and conservation interest than does the general public, although the sample closely mirrors the demographic makeup of populations reported in other studies of citizen science projects (Strasser et al. 2023) and pro-environmental projects (Dietz and Whitley 2018). Further, as HN was marketed as part of the Lab of Ornithology’s citizen science offerings, the participants were likely familiar with citizen science. This means that the findings reported here may be more relevant to engaging audiences that are already positively predisposed toward and possibly involved in citizen science, regardless of the formal label. We must also acknowledge that all participants likely were exposed to the citizen science label for HN prior to being assigned to one of our experimental conditions, but we are unable to quantify the extent of that exposure. Thus, one important area for research is to examine how the effects of the label vary across stages of people’s contact with projects from recruitment through retention (West and Pateman 2016).
Relatedly, the demographic characteristics of our sample should also be considered. Nearly all our participants self-identified as white, college-educated, North American residents, and home-owners—a demographic group that generally is not confronted by questions or concerns about their citizenship (Kymlicka 2003). Thus, our finding that the citizen science label had few direct effects on these participants may not apply to groups for whom the question of citizenship is more salient and critical. Our sample also reflected the well-documented low participation of ethnic minorities within mainstream citizen science and environmentalism projects (Strasser et al. 2023), despite evidence of high concerns about environmental issues among these groups (Pearson et al. 2018). Further, we cannot say the extent to which our findings apply to social categories other than gender. Therefore, an important direction for future research is to examine empirically the effects of alternative labeling among audiences, representing various social identity categories, with low representation in citizen science projects. For instance, lab experiments in which underrepresented groups can be purposefully oversampled can complement field-based approaches, affording greater leeway to test the effects of alternative labels.
Another limitation is that this study compared the citizen science label to only one alternative. Little consensus has been achieved on what alternatives would address the potentially negative effects of this label (Cooper et al. 2021; Ellwood et al. 2023). Likewise, the more fundamental question of the definitional clarity of what citizen science comprises remains under considerable debate (Auerbach et al. 2019; Heigl et al. 2019). The environmental stewardship label, as one alternative, is similarly characterized by definitional complexity. For example, Mathevet and colleagues (2018) reviewed the many conceptions of environmental stewardship and called for systematic analysis of contexts and populations to increase understanding of terminology impacts and to help guide strategies for choosing appropriate language. The congruence between how a project is labeled and the nature of the activities that the project entails is also important to consider. One interpretation of our findings is that the main activities within HN—creating graphical representations of the care and characteristics of one’s home and surroundings—may seem to some people more like environmental stewardship than like science. Thus, in addition to considering how terminology affects the likelihood of someone getting involved with a project, the impact of how closely their experience in the project matches what the label led them to expect merits further study.
Conclusion
To what extent does the citizen sciencelabel affect the environmental perceptions and behaviors of individuals participating in an online sustainability-themed project? The study described here sought to provide insight into this question by randomly assigning participants of one such project, HN, to alternative versions that were meant to instill the notion that HN was either a citizen science or an environmental stewardship platform. At the same time, we considered how these labels may interact with social identities of participants, with a focus on gender.
Although we found limited evidence of direct framing effects on engagement, pro-environmental behaviors, or perceptions of community, it is our hope that the approach described here can serve as a model for testing how strategic choices in terminology may influence participation in citizen science projects at different stages (e.g., recruitment versus engagement or retention), among different audiences (by attending to social identity–relevant associations), and as measured through different types of variables—including real-world behaviors. Future research may build on the findings presented here by testing other alternative frames for citizen science, among more diverse audiences with different levels of familiarity with citizen science, as well as by utilizing lab studies alongside field studies to provide greater control over the testing of these effects. Through these efforts, the field will be better positioned to understand the conditions under which labels such as citizen science, in and of themselves, shape engagement with citizen science projects.
In summary, the results of our study lead us to conclude that the formal label placed on HN had no clear direct effects on participants’ behaviors within the platform. We argue that these findings imply that efforts at broadening inclusion in citizen science projects need to extend beyond terminology. What people see and do in a project and how they are treated may be more important than what the project is called.
Data Accessibility Statement
The data will be made available upon request from the first author.
Supplementary Files
The supplementary files for this article can be found as follows:
Notes
Ethics and Consent
This study was approved by Cornell University’s Institutional Research Board on January 14, 2016 (Approval #1511005948). Participants completed online informed consent.
Acknowledgements
The authors thank David Bonter for helpful comments, the Habitat Network/YardMap designers (Kevin Ripka and Dana Pesendorfer), assistants (Jacob Johnston and Becca Rodomsky-Bish), and developers (Mark Zifchock, Chris Marx, and Brian Petersen), and Stephen Parry and Francoise Vermeylen of the Cornell Statistical Consulting Unit for advice on the data analysis.
Funding information
The research was supported by grants from the Cornell University Atkinson Center for a Sustainable Future, the Nature Conservancy, and the NSF (Cyberlearning No. 1441527).
Competing Interests
The authors have no competing interests to declare.
Author Contributions
PLM: Conceptualization, Methodology, Formal analysis, Investigation, Data curation, Writing Original Draft and Review and Editing, Project administration, Funding acquisition., JPS: Conceptualization, Methodology, Investigation, Writing Original Draft and Review and Editing, Project administration, Funding acquisition., HS: Formal analysis, Writing Original Draft and Review and Editing; RLC: Conceptualization, Methodology, Formal analysis, Investigation, Data curation, Writing Original Draft and Review and Editing, Project administration, Funding acquisition., JLD: Conceptualization, Methodology, Investigation, Writing Original Draft and Review and Editing, Project administration, Funding acquisition.
