KEY SPACEMATE DEFINITIONS
Floor Space Index (FSI): For an individual building, FSI is the total floor area of the building divided by its site area; for an urban area, this is the total floor area of all buildings within divided by the land area. FSI can be any positive value. It is also called ‘built potential’, ‘plot ratio’ or ‘floor area ratio (FAR)’.
Ground Space Index (GSI): For an individual building, GSI is the ground floor area of the building divided by its site; for an urban area, this is the total ground floor area of all buildings divided by the land area. GSI can be any positive value up to 1, where 1 would represent a building entirely covering its site. GSI is sometimes referred to as ‘site coverage ratio’.
Spacemate: This is a graph formed of FSI and GSI on the y- and x-axes, respectively. Since FSI and GSI values can be calculated at any scale from individual buildings up to city blocks or even entire cities, Spacemate plots can thus also be produced at different levels of aggregation to explore how density and form vary with scale. The ratio of FSI to GSI represents average building height (total area/ground floor area). Spacemate accounts for this with a series of radial lines representing the number of storeys (labels at the ends of the radial lines represent mean height). Buildings, or urban areas, that are not vertically uniform will appear between these lines on Spacemate. A building-scale Spacemate plot for London is shown in Figure 1.

Figure 1
Distribution of London domestic buildings on Spacemate.
Source: Building images from Bing (www.bing.com/maps).
1. Introduction and context
The three-dimensional morphology of the fabric of a city is created by the characteristics of individual buildings. Focusing on the domestic sector, this paper explores that relationship by analysing the forms and sites of the building stock of London using a new highly detailed, fully disaggregate building stock model called 3DStock, in conjunction with a visualisation tool called Spacemate. Using this approach has allowed the analyses to be carried out for all of London from the level of entire local authorities to the scale of individual buildings. Gas and electricity meter data matched to 3DStock were used to explore the relationship between form and energy consumption. The energy performance analyses were limited to gas-heated dwellings with their own gas meter (i.e. houses and flats which have electric heating, or are supplied by a centrally metered communal system, are excluded).
More specifically, the paper has the following three broad aims:
To quantify urban density within London and show how this varies with scale
To explore how urban density varies with building characteristics
To examine the relationship between building energy performance and urban form.
1.1 Urban density measures and Spacemate
Urban density is a complex phenomenon that can be quantified in different ways. Simple measures derived from maps exist, including population or residential building densities. For London, these ‘numbers-based’ measures account for most of the readily available density data (Gordon et al. 2016), with numbers of persons and dwellings, for instance, published at various aggregate scales (ONS 2020; VOA 2015). However, simple metrics such as these:
[if] used in isolation, can encourage particular building forms over others, in ways that may not fully address the range of local housing needs
and thus more nuanced measures of urban density may be more suited to examining built form for planning purposes (MHCLG 2019a).
In order to better account for built form, architects and developers often use more sophisticated metrics. Key concepts include the Floor Space Index (FSI) and Ground Space Index (GSI), which quantify the ratio of built area to land area. The former has been used in legal controls on density and building bulk in cities.
Around the turn of the millennium, Berghauser Pont and Haupt developed ‘Spacemate’, a sophisticated tool for representing the built environment (Berghauser Pont & Haupt 2004, 2007, 2010). Showing FSI and GSI simultaneously within a graph, Spacemate enables building form and density to be examined in greater detail than the simple individual measures. Different regions of the Spacemate plots correspond to different morphological types and building characteristics. Thus, the tool enables comparisons to be made between urban spaces with similar densities, but having very different built forms, and vice versa.
1.2 Density and building form
Martin (1972) and March (1972) undertook some of the earliest systematic work on the relationship between density and built form. Defining simplified building shapes as ‘pavilions’, ‘streets’ and ‘courts’ (broadly analogous to freestanding towers, terraces and courtyards), they examined how regular arrays of such buildings could be laid out. They demonstrated, counter-intuitively, that it is feasible to achieve high densities without relying on high-rise towers by using other forms such as courtyards. This is explained by the fact that different forms provide varying levels of access to daylight and air, approximated in their analyses through the use of cut-off angles.
More recently, Berghauser Pont & Haupt (2004, 2007) carried out detailed studies of density and built form using Spacemate. Their surveys revealed the relationships between urban characteristics and built form, showing that certain built forms commonly exist in certain urban contexts. Broadly, taller free-standing towers are found in high-density areas with low ground coverage; detached and semi-detached houses appear in less dense areas; and courtyards are observed in mid-to-high density areas and in areas with higher ground coverage. Plotting the simplified built forms onto Spacemate, Steadman (2014) subsequently showed that the empirical findings of Berghauser Pont and Haupt are consistent with the theoretical work of Martin and March.
Spacemate (or the underlying variables of FSI and/or GSI) has also been used to examine the influence of urban density on several other building and urban-scale measures. Analysing Shenzhen in China, Ye et al. (2018) classified each street block based on form and height, and showed that different street block types appear across different broad regions of the Spacemate plot. Using the presence of small food businesses as a proxy for ‘urban vitality’, they showed general trends of increasing vitality with FSI and GSI.
Studies of south Rotterdam and Amsterdam in the Netherlands at the aggregate scale meanwhile have assessed the relationship between urban density, accessibility and building use (Mashhoodi & Berghauser Pont 2011; Van Nes et al. 2012) as well as noise levels from urban traffic (Salomons & Berghauser Pont 2012). A study of New York City, US, meanwhile, used building age data along with FSI values to explore how the urban environment has changed over time across the city’s five boroughs (Barr & Cohen 2014).
Focusing on the building stock of England, Mitchell et al. (2011) used large-scale empirical data from 2001 to undertake a systematic survey of the residential sector. Using ‘dwellings per hectare’ as a measure of urban density, and working at the ward scale, they quantified the distribution of types of dwellings that exist at different urban densities. Their results showed that, first, detached, followed by semi-detached and then terraced, housing form the bulk of domestic properties as density increases up to 50 dwellings/ha. As density increases further, flats form the majority of dwellings, accounting for 80–90% of the stock at >150 dwellings/ha. Working at a smaller spatial resolution (postcodes), recent analyses have found similar trends relating building type to urban density within London (Evans et al. 2018, 2020).
1.3 Density and energy use
The relationship between urban density and energy use is something that will certainly have been instinctively known to people constructing dwellings for millennia. It can be observed in the natural world in the behaviour of many mammal species (e.g. a colony of penguins huddling together to survive the Antarctic winter). In the built environment, as density increases, built form tends to change from detached and semi-detached buildings to terraced housing and flats. In turn, the proportion of party walls as opposed to exposed walls will tend to increase as density increases. This can help to reduce heat loss, but can also result in reduced access to daylight or natural ventilation. Depending upon how it is measured, the compactness of buildings is likely to increase in these denser urban environments. The basic physics of heat loss means that, in a temperate climate, increasing density should result in lower energy-use intensities for heating. This is something the Intergovernmental Panel on Climate Change (IPCC) pointed out, stating a:
more compact urban form tends to reduce consumption due to lower per capita floor areas, reduced building surface to volume ratio, increased shading, and more opportunities for district heating and cooling systems. (Lucon et al. 2014: 696)
Yet, whilst urban areas account for large amounts of energy use, the empirical relationship between performance and different spatial patterns has not been widely studied (Güneralp et al. 2017).
Steemers (2003) carried out some theoretical work showing how flats and terraced house should have lower fabric heat loss than semi-detached and detached houses. Ratti et al. (2005) created three-dimensional models of London, Berlin and Toulouse and showed that approximately 10% of total energy consumption could be associated with built form. Rode et al. (2014) used archetypal idealised samples for Paris, London, Berlin and Istanbul and wrote about ‘urban-morphology-induced heat-energy efficiency’ which they showed can account for differences in heat-energy demand of up to a factor of six, with detached houses having the lowest heat energy efficiency. This work was plotted in Spacemate and it was illustrated that increasing FSI correlated well with declining energy-use intensities. However, analysing a small sample data of real energy-use intensities, they noted that their idealised modelling could exaggerate this effect with values as low as 70% of the observed data.
Similarly, Rodriguez-Alvarez (2016) produced an urban energy model that uses simplified representations of locations in some European cities based on built form. They modelled energy use and, using the model variables, plotted GSI and FSI positions in Spacemate. The results showed that heating loads varied as FSI and GSI variables changed, but they also noted that the effects were less pronounced in cities with a Mediterranean climate. Elsewhere, Salvati et al. (2017) examined the relationships between performance and building morphology for modelled urban areas in Rome and Barcelona, showing energy demand reductions as the site coverage ratio increased, but they attributed this observation to the urban heat island effect. Expanding on Mitchell et al. (2011), Evans et al. (2018) used aggregate energy data to show that domestic energy-use intensity decreases as density increases, in particular for gas use. Evans et al. (2020) tested similar data for London, integrating Energy Performance Certificate (EPC) data to show that aggregate EPCs’ scores improved as density increased, but also noted that retrofit potential showed much weaker trends, suggesting that denser urban areas might prove trickier to retrofit. Considering non-domestic energy use, meanwhile, Steadman et al. (2014) showed that non-domestic gas use in London was strongly correlated with the total exposed surface area of the stock.
While much analysis has focused on the relationship between density and performance through compactness and heat loss, not all the effects of density will result in reducing energy-use intensity. A number of authors, including several referenced here, also noted that access to daylight is related to urban density; higher urban density means lower ratios of exposed walls compared with party walls, and surrounding buildings can overshadow buildings. This in turn can increase demand for lighting requirements, which can then increase overall energy (Strømann-Andersen & Sattrup 2011).
2. Methodology
This study uses 3DStock, a new geographical information system (GIS)-based building stock modelling method, to examine the urban characteristics of the London domestic sector. 3DStock includes detailed, disaggregate information on building form, from which the key Spacemate variables (FSI and GSI) are calculated for each individual building across the city. This section introduces the model and details the key steps taken to integrate the model with Spacemate. It also explains how domestic EPC and energy consumption data are integrated into 3DStock to enable the relationship between urban characteristics and energy performance to be analysed.
3DStock is a large and complicated model that has been in development over the last decade. Consequently, there is only space here to provide a brief summary, with a focus on those elements of the model most relevant to the present study. For a more comprehensive overview, see several papers that detail the technical development of the model (Steadman et al. 2020; Evans et al. 2017) and its application in several recent studies (Evans et al. 2019, 2020; Godoy-Shimizu et al. 2018, 2020; Liddiard et al. 2021).
2.1 3DStock
3DStock is a model that represents all buildings (including domestic, non-domestic and mixed use), as well as sites, roads and other features in a GIS database. The model is assembled from several data sources. Building footprints and addresses come from maps supplied by the national mapping service, the Ordnance Survey (OS). Floor-by-floor area and activity data for most non-domestic premises come from the Valuation Office Agency (VOA). For buildings not covered by the VOA, including dwellings, floor areas and numbers of storeys are determined from addresses or estimated from external geometry using typical floor-to-floor heights. Building height and form come from LiDAR data (laser measurements from aircraft) collected by the Environment Agency. For much of the UK, this is detailed enough to record complex building geometry, including setbacks on upper levels. Consequently, where floor areas need to be estimated from external form, 3DStock accounts for differences in floor plans with height. Since each property within 3DStock has both an address and a geo-location, external data sets can be either address-matched (to properties or buildings) or spatially matched (for aggregate data). For this study, building age data within 3DStock come from the Geomni UKBuildings database.1
Up to this point, this paper has used the term ‘building’ for simplicity. However, for various technical reasons, the basic unit in 3DStock is the self-contained unit (SCU). which ‘equates reasonably well to the concept of [a] building’ (Taylor et al. 2014: 15), but it can be comprised of several buildings. The principal distinction between ‘SCUs’ and ‘buildings’ is that no premises should be split across multiple SCUs. For example, consider two adjoining terrace houses where the combined ground floor has been converted into a shop, with flats above. In 3DStock this would be taken as a whole as a single SCU in order not to split the shop. Similarly, 3DStock uses Unique Property Reference Numbers (UPRNs) rather than ‘premises’. UPRNs are identifiers for each spatial address in Britain. Every house or flat (in the domestic stock) or premises (in the non-domestic stock) has a separate UPRN. Multi-occupant buildings will often also have a ‘parent’ UPRN representing the building ‘shell’. In these cases, the flats or non-domestic premises will be listed as ‘child’ UPRNs linked to the parent UPRN. Within 3DStock, this approach enables the proportion of domestic and non-domestic floor area in mixed-use SCUs to be determined.
For the purposes of this study, references to SCUs and UPRNs can be considered broadly analogous to ‘buildings’ and ‘properties’, respectively.
2.2 Land areas and Spacemate in 3DStock
As discussed previously, an underlying requirement for calculating FSI and GSI values is identifying the area of land used as the denominator. This is the ‘site’ when applying Spacemate to individual buildings, and the broader urban area, when working at the scale of geographical or census regions. The former, in particular, differs in the UK compared with much of Europe, as described below.
2.2.1 Sites
In much of Europe, cadastral data provide information on building site boundaries (e.g. Meinel et al. 2009). However, this system is not used in UK land registration (Grover 2008). Consequently, in 3DStock, site boundaries are taken from two sources. Where available, boundaries come from the OS ‘Sites’ product, but their coverage is far from complete. Otherwise, sites are inferred from data on land ownership boundaries (INSPIRE Directive 2007). Unfortunately, this database has internal inconsistencies and does not provide information for all sites. Where clashes were identified between adjacent sites (e.g. sites overlapping between neighbouring SCUs), these were aggregated. Since site area is fundamental to calculating FSI and GSI values, SCUs are omitted from the site-level analyses that follow where doubts exist about the reliability of the boundary area, or where the aggregation process resulted in sites shared by more than 10 SCUs.
In total, reliable site boundaries were found for 88% of all SCUs within London. It should be noted that biases exist in the final sites list used in the analysis that follows. In particular, 55% of SCUs above 10 storeys in height were excluded due to missing or poor site boundaries. The effect of this on the study is discussed below. Work is ongoing to improve the site-matching algorithm and reduce this bias where possible.
Following the identification and measurement of the sites described above, FSI and GSI values were calculated by dividing total and ground floor Gross External Area (GEA), respectively, by the area within the land boundaries. Approximately 99% of the reliable sites each serves a single SCU. Reliable sites with more than 1 SCU include a mix of aggregated sites (produced by combining overlapping sites) as well as original aggregate sites (such as estates with multiple blocks). In these cases, the overall site area was divided between the SCUs based on the proportion of total floor area.
Reflecting the complexity and scale of 3DStock, a small proportion of the stock has unlikely or missing data within the model. For example, inconsistencies between the input data sets, or errors or gaps within individual input data sets, means that height data are missing for 0.18% of houses, and unlikely for a further 0.03% (height data suggest that they are six or more-storey houses). Final checks were carried out on the building and site data, and SCUs with unlikely characteristics were excluded from the analysis.
Figure 1 presents the building-scale FSI and GSI values on a Spacemate scatter plot, calculated for the total domestic building stock of London, using the building floor areas and site boundaries. Examples of typical terraced houses, courtyards, tower blocks of flats and dense blocks of flats are labelled 1–4.
The plot illustrates the difficulty in representing such a large sample at a disaggregate scale in Spacemate. Across the stock, the FSI range is very large, but the overwhelming majority of SCUs in London have lower FSI values. Indeed, the y-axis is limited to FSI 5 for legibility, but a small number of domestic SCUs have higher FSI values (<0.1%). Moreover, areas on the plot represent considerably different numbers of buildings, despite visually appearing identical because the density of points is high enough to be rendered solid black. Attempting to plot an additional variable (e.g. colouring each point based on building type) is similarly unintelligible, since regions of Spacemate associated with building characteristics are often not as distinct as may appear from smaller surveys or theoretical analyses. For this reason, the Spacemate charts presented below in the Results section are histograms instead of scatter plots (for reference, Figure 3f presents the same information as Figure 1 as a histogram). The details are explained when they first appear.
2.2.2 Aggregate urban areas
Above the level of individual buildings, aggregate-scale Spacemate analyses were undertaken at the following five scales, listed from largest to smallest. The mean land area and number of SCUs in each area type in London are included in parentheses as an indication of their relative sizes: local authority (LAD) (mean = 48 km2 and 73,710 SCUs per LAD); middle layer super output area (MSOA) (1.6 km2 and 2469 SCUs); lower layer super output area (LSOA) (0.33 km2 and 503 SCUs); output area (OA) (0.06 km2 and 97 SCUs); and built block (BB) (0.04 km2 and 55 SCUs). The first four are census geographies, and all land uses within their boundaries are included in the area measured as the denominator for FSI/GSI calculations. The final represents urban blocks typically bounded by streets. Since the BBs were defined as part of the 3DStock model, Figure 2 shows them for part of London, alongside the geographical boundaries up to LSOA scale (MSOAs and LADs are too large to be shown).

Figure 2
Different aggregate boundaries for an area of London: (a) self-contained units (SCUs); (b) built blocks (BBs); (c) output areas (OAs); and (d) lower layer super output areas (LSOAs).
Within London, urban areas are generally mixed use. For example, rather than having purely domestic LSOAs or purely non-domestic MSOAs, they often contain a mix of domestic and non-domestic properties. Therefore, while this paper focuses on the domestic sector and the building-level Spacemate plots show only domestic buildings, the aggregate scale plots do not distinguish uses.
As with the site-level analysis, when processing the FSI/GSI values at each aggregate scale, any areas where the results suggested unlikely or unviable characteristics were excluded from the analysis.
2.3 Building performance
Building performance data in this study come from 2016 gas and electricity meter data for London, used in conjunction with the public release of domestic EPCs (MHCLG 2020a). These sources, as well as the processing carried out for this study, are described below.
Energy data: Electricity and gas consumption meter data were released to the team by the Department of Business, Energy and Industrial Strategy (BEIS). These files, with actual annual energy-use data, were provided under strict confidentiality and security conditions in connection with contract work for the BEIS. The figures used in this study are for 2016. For further information about the data set, see Liddiard et al. (2021).
EPC data: Launched in the UK in 2008, domestic EPCs provide information on the performance of dwellings for prospective buyers and tenants (DCLG 2017). Since 2017, EPCs have been made freely available in bulk online, and this study uses data from certificates lodged until early 2020. The most prominent features of EPCs are the Energy Efficiency and Environmental Impact grades. These are standardised and normalised benchmarks of modelled fuel costs and emissions produced using an approved calculation process and based on building information collected by assessors alongside various predefined assumptions (BRE 2013). However, these modelled energy benchmarks have not been used for the present study since actual gas and electricity figures are available. Instead, the following data on the systems and form of each dwelling have been used: fuel types for primary and secondary space heating, as well as water heating, and dwelling floor area. The fuel type data were used to check the meter data, and the floor area was used in preference to the estimated domestic areas within 3DStock.
Integration of the EPC and energy data into 3DStock required considerable work. The steps, summarised below, were split between (1) preparing and processing the separate original files, (2) address-matching each file to 3DStock and (3) checking for consistency across the overall combined data set. This work was implemented through several PostgreSQL and Python scripts.
Preparing and processing the separate original files:
Standardising data: For both data sets, the raw files include cases of internal inconsistencies and formatting differences. For example, the raw EPC data include thousands of unique ‘wall type’ strings representing minor differences in grammar, spelling or language, and in the raw meter data there are cases where a meter had multiple readings for a single year. These sorts of differences were standardised where feasible.
Identifying errors and gaps: Some EPCs have explicit errors, missing information or data that are too vague for purpose (e.g. ‘wall type’ listed as ‘wall’). The meter data, meanwhile, include zero and NULL entries. These instances were identified and removed as appropriate.
Internal checks: While the previous point refers to errors that exist within a single field, the EPC data also include instances of apparent inconsistencies between fields for a single dwelling. These cases were identified and removed where possible.
Address-matching each file to 3DStock:
Matching to 3DStock: The EPCs and energy data were matched to dwellings within 3DStock using address-matching routines. These used geographical data (postcodes and census areas) along with Levenshtein ratios to identify the most likely matches. The raw gas and electricity meters have separate addresses. Therefore, the two fuels were address-matched to 3DStock independently. Where multiple EPCs were found to match to a single dwelling, that lodged closest to 1 April 2017 was selected, representing the current ‘model year’ of 3DStock.
Checking for consistency in the overall data:
Checking between data sets: After the gas, electricity and EPC data were matched to 3DStock, checks were undertaken to ensure the meters for each dwelling aligned with its internal systems. Cases where these differed were excluded (e.g. if a dwelling EPC listed gas heating, but no gas meter was matched).
Limiting scope: As described previously, the scope of the energy performance analysis within this study was limited to gas-heated dwellings not served by communal systems. Therefore, dwellings were only included in the analysis where they had the following: matched gas and electricity meters (one of each); the electricity meter should not be listed as being for a landlord; matched metering within blocks of flats should be consistent (e.g. not suggesting a mix of individually heated and communally heated dwellings); a matched domestic EPC; the EPC should indicate mains gas for space heating; and the EPC should list no fuels other than gas or electricity and should not indicate connection to communal systems.
Applying thresholds: Finally, thresholds were applied to account for unusually high or low values that might reflect inaccuracies in the raw data or processing, or unusual building use. These were applied to the EPC floor area (10–1000 m2) and energy intensities calculated by dividing meter data by EPC floor area (5–500 kWh/m2). The estimated floor area within 3DStock was also compared against that listed in the matched EPC. Accounting for differences in measurements (3DStock domestic areas are based on the Gross External Area per building, whereas EPCs give Gross Internal Area per property), dwellings where these values differed by >25% were excluded.
3. Results and discussion
This section summarises the analyses undertaken and is structured around three key aims outlined above. Reflecting these aims, as well as the processing steps described in the previous section, the analyses were carried out on three samples of the London building stock.
First, the urban-scale analyses, carried out from entire local authorities (LAD) to BBs, considered the characteristics of the entire building stock (i.e. both domestic and non-domestic properties are included). As previously noted, areas were excluded where gaps in the 3DStock floor area data existed. However, this was a relatively small proportion of the stock. Consequently, 99% of LSOAs, MSOAs, LADs and OAs were included in the analysis, falling to 97% of BBs.
The building-scale analyses focused on the domestic sector. They included only purely domestic SCUs; non-domestic and mixed-use SCUs were excluded (e.g. flats above a small shop). Additionally, a small number of SCUs with unlikely or faulty data within 3DStock, or for which reliable sites could not be defined, were also excluded. The total sample size of this is 1.6 million domestic SCUs and 2.4 million domestic UPRNs.
Finally, the energy performance analyses were limited to gas-heated domestic properties. As previously described, matched EPCs and energy data are prerequisites for this analysis. EPCs, in particular, reduce the sample size considerably; at the time of writing, only half of dwellings within London have a lodged certificate. The final sample size is 463,283 domestic UPRNs.
3.1 The urban density of London
Figure 3 shows the urban density of London, measured in progressively greater detail and levels of disaggregation: from the scale of the 33 local authorities (Figure 3a) to BBs (Figure 3e), and finally to each individual domestic building (Figure 3f). The graphs are limited to FSI ≤ 5, since the number of SCUs above this is negligible. Each cell measures 0.025 GSI × 0.125 FSI in the x- and y-axes, respectively, meaning that each graph consists of 1600 cells. The cells are colour coded according to the count within that region of Spacemate. Divergent scales were used, where the middle colour represents the median rather than mean (note that the limited sample size means that the divergent plot does not work well in Figure 3a). Finally, the blue circle on each plot represents the overall median FSI-GSI point for London at the scale. In order to allow an easy comparison of the overall density measured at each scale relative to the other scales, the dotted line on each plot shows the progression of the overall median FSI–GSI point from the LAD to domestic building scales (i.e. in each graph, the dashed line represents the blue circles from every other graph). Details including the SCU and UPRN counts are included above each chart. As noted, the data presented in Figures 1 and 3f are identical.

Figure 3
Distribution of the building stock of London plotted on Spacemate at various scales: (a) local authorities; (b) middle layer super output areas (MSOAs); (c) lower layer super output areas (LSOAs), (d) output areas (OAs), (e) built blocks (BBs); and (f) domestic self-contained units (SCUs).
The six Spacemate plots can be read in conjunction with Figure 4. It presents the overall trends across the six scales for each of the three variables independently: FSI, GSI and average height. In other words, these graphs visualise the overall trends along the x- and y-axes (Figure 4a, b), and the ratio of the axes (Figure 4c) from Figure 3. Since the absolute values vary considerably with scale, the y-axes on these graphs are converted to proportions. While the stock includes buildings with average heights of more than five storeys, the proportion of the stock is very small, so Figure 4c is limited to FSI/GSI ≤ 5.

Figure 4
Distribution of the building stock of London at various scales with (a) Floor Space Index (FSI) value; (b) Ground Space Index (GSI) value; and (c) average height.
The graphs reveal the complexity and variability of the urban density across London, varying both geographically and with the resolution of analysis. At the largest scale, the overall local authority (LAD) stock density within London is fairly low, with most authorities typically lying below GSI = 0.3 and FSI = 1, and overall medians of 0.15 and 0.28, respectively. The single outlier is the City of London, with overall respective GSI and FSI values of 0.37 and 2.6, and a corresponding overall average height of around seven storeys. As the capital’s financial district, this area is largely non-domestic. Thus, considered instead solely in terms of dwellings/ha, the density of this local authority is relatively low: at 20 dwellings/ha it is the 19th highest within London (out of 33), and less than one-third of the densest, Kensington and Chelsea, and Islington (MHCLG 2020b).
The regions of Spacemate occupied by different areas of London vary with the city’s geography, with Inner London local authorities typically having higher median FSI and GSI values than Outer London local authorities at each scale, reflecting differences in typical land price. The FSI and GSI interquartile ranges are also typically higher in Inner London than Outer London, particularly the former. This suggests that, as well as being denser as a whole, Inner London local authorities also have within them a greater difference between the most and least dense regions. For example, at the BB level, the average FSI and GSI interquartile ranges are 0.93 and 0.25 for Inner London compared with 0.23 and 0.13 for Outer London, respectively.
As noted, a uniform building stock would appear in a local region of Spacemate. The increasing spread between the charts therefore reflects the variety of forms across the city. For the urban area-scale analyses, as the scale of analysis is reduced, median FSI and GSI values increase in most authorities, as do the associated interquartile ranges. From LAD to BB scales, the medians for London are 0.28, 0.32, 0.34, 0.38 and 0.54 for FSI, and 0.15, 0.15, 0.17, 0.18 and 0.27 for GSI, shown in the dotted lines on each graph. The domestic SCU level has a small drop in median FSI to 0.49, although the median GSI is unchanged.
At the smallest scale, Figure 3f shows that, despite covering much of Spacemate, London is overwhelmingly characterised by low-rise and low-to-middling density buildings. Approximately two-thirds of the stock is located in the range FSI = 0.25–1.0 and GSI = 0.15–0.5. The dominance of green above six storeys indicates only a handful of buildings in each cell. In contrast, there are hundreds of thousands of buildings in the two- to three-storey region, mostly single houses. Building height varies strongly with location, with domestic SCUs above seven storeys largely concentrated to Inner London. Despite this, even in most Inner London boroughs, the overall domestic stock is still dominated by two- to three-storey buildings. The clustering of SCUs along the radial lines indicates that much of the domestic stock is relatively uniform vertically. However, as expected, there is also a considerable proportion of domestic SCUs that fall between the lines. These are buildings where the height varies across the footprint, such as two-storey houses with ground floor extensions. The trends shown in the average height result (Figure 4c) gives an indication of the vertical massing of the domestic stock as a whole: An FSI/GSI ratio = 1.1 would suggest a two-storey building where the first floor area is only 10% of the ground floor area (a three- or four-storey building with the same FSI/GSI ratio would be technically feasible, but would mean even more extreme differences in floor area with height), whereas a ratio of 1.67 would suggest that the first floor area was two-thirds of the ground floor area.
As indicated in the text above the chart, Figure 3f presents the distribution of the 1.6 million purely domestic SCUs within London, but this corresponds with 2.4 million dwellings. As may be expected, the distribution of flats varies with height, with houses accounting for much of the region of Spacemate corresponding with one- to two-storey buildings, and increasing height largely corresponding with blocks of flats with more dwellings. This is explored in further detail in the next section.
3.2 Urban density and building characteristics
Figures 5 and 6 present the relationships between domestic building type and density. First, Figure 5 presents the distribution of the domestic stock, split between detached, semi-detached and terraced houses, and blocks of flats. Essentially, these represent a breakdown of Figure 3f. As indicated by the graphs, the four types do not make up equal portions of the total London domestic stock, and are not equally distributed across Spacemate. Therefore, the most common type by SCU count, and the distribution of UPRNs/SCU (i.e. number of dwellings per domestic building, where a house = 1) are also included in Figure 5e and f, respectively. While the large area of red in Figure 5e indicates that flats are the most common domestic building type across much of Spacemate, the total number of SCUs across much of this space is very low (Figure 5a–d). As with the previous section, the Spacemate plots should be read in conjunction with Figure 6, which presents the overall distribution of the stock for each variable separately.

Figure 5
Distribution of domestic self-contained units (SCUs) of London plotted on Spacemate split by type: (a) detached houses; (b) semi-detached houses; (c) terraced houses; (d) flats; (e) the most common domestic building type by count; and (f) dwelling density (Unique Property Reference Numbers (UPRNs) per SCU).

Figure 6
Distribution of domestic building types within London with: (a) Floor Space Index (FSI) value; (b) Ground Space Index (GSI) value; and (c) average height.
The results illustrate the typical characteristics of each domestic building type within London. The distribution of dominant types may broadly reflect expectations and past findings. Regions of lowest density and ground coverage are dominated by detached and semi-detached houses, combined making up for half of one- to three-storey average-height domestic buildings at GSI < 0.3. As ground coverage increases, terraced housing becomes the most common type, accounting for 70% of the one- to three-storey stock GSI > 0.3. Although not shown here for reasons of space, the trend between mid- and end-terraces broadly follows that of detached and semi-detached houses. Above an average height of three storeys, the stock is almost entirely blocks of flats (82% of domestic SCUs and 98% of domestic UPRNs). Moving from the least to the most compact building types, the respective median FSI and GSI values are as follows: detached = 0.32 and 0.20, semi-detached = 0.36 and 0.21, end-terrace = 0.44 and 0.25, mid-terrace = 0.64 and 0.34, and flats = 0.80 and 0.36.
The results, however, also show that the different building types do not occupy clear or distinct regions of Spacemate. For example, while detached and semi-detached houses are the most common types for one- to three-storey buildings GSI < 0.3, as mentioned above, terraced housing still accounts for 43% of the domestic buildings in that region of Spacemate. Furthermore, around 15% of detached and semi-detached houses are found outside that region. Similarly, while flats account for most of the domestic stock above three storeys, the data show that this region of Spacemate only accounts for 18% of blocks of flats in London. Since dwelling density is strongly dependent on height, the corresponding portion of flats is 38%. In blocks of flats one to three storeys tall, the mean number of flats per block is 3.6 (compared with 10.3 in flats above three storeys), and a portion of the blocks of flats in this region are likely to be converted houses.
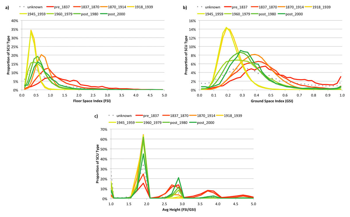
Figures 7 and 8 present the distribution of construction ages for the London domestic stock. Note that, unlike the previous Spacemate plots presented here, the colour scale for Figure 7b is linear, where the middle colour corresponds to the value halfway between maximum and minimum. The remaining Spacemate plots within this paper also use a linear colour scheme (Figure 9).

Figure 7
Building age plotted on Spacemate: (a) the most common building age by count; and (b) mean building age.

Figure 8
Distribution of building ages within London with: (a) Floor Space Index (FSI) value; (b) Ground Space Index (GSI) value; and (c) average height.

Figure 9
Median domestic energy-use intensities for gas-heated buildings plotted on Spacemate: (a) gas; and (b) electricity.
Read in conjunction with Figure 5e, these charts are a kind of compressed sketch of the growth of London and its housing stock over the last two centuries and more. The surviving mid-19th-century stock (red) consists in large part of the familiar Georgian squares and terraces of Central London, and their Victorian sequels, up to five or six storeys. In the late 19th century, we see the spread of ‘byelaw’ working-class terraces of two or three storeys (orange) (Muthesius 1982). The period between the World Wars (yellow) is characterised by a huge growth of semi-detached and detached houses in the outer suburbs along the arterial roads and London Underground railway lines, as noted in the poet John Betjeman’s television programme Metroland (1973). Little over seven storeys is built until after the Second World War when tower cranes were introduced. The years from 1960 onwards (green) show high-rise flats, most social housing in the range eight to 20 storeys, as well as some low-rise infill developments with high GSI values.
3.3 Urban density and energy performance
Figure 9 presents the distributions of median gas and electricity use intensities across the gas-heated domestic building stock. As discussed previously, the sample size is reduced compared with the previous graphs, reflecting the focus on gas-heated properties with local heaters, as well as the data-matching and -processing requirements. Additionally, any cells where the number of UPRNs is less than 10, or the number of SCUs is less than two are excluded. This means that each cell within the graphs will present the median energy performance across at least 10 dwellings that are located over at least two different domestic buildings (e.g. 10 different houses or 10 flats spread across two blocks of flats). Figure 10 shows the same data against FSI, GSI and average height separately. The variation in 3D compactness across the overall domestic stock is also included in these three graphs because this variable is known to be a strong indicator of domestic heating consumption, as noted. Compactness was calculated here as the external surface area of each SCU, relative to five sides of a cube of the same volume (Evans et al. 2018): A value of 1 corresponds to a detached building with the form of a cube; values < 1 correspond to less compact, more sprawling forms; and values >1 correspond to more compactness due to party walls.

Figure 10
Median domestic energy-use intensity for gas-heated dwellings with: (a) Floor Space Index (FSI) value; (b) Ground Space Index (GSI) value; and (c) average height.
While the overall sample size remains high (463,283 dwellings, analysed on a fully disaggregate basis), biases exist within this sample. In the UK, a smaller proportion of flats than houses have central heating (75% and 96%, respectively) or gas heating (71% and 91%, respectively), and this difference is amplified with height (MHCLG 2020c). For these reasons, the final sample of dwellings with energy data is very limited above five to six storeys. Consequently, this part of the study should be considered as essentially limited to houses and low-rise blocks of flats. The energy data above five storeys are included in Figure 10c for completeness, but have been dashed to emphasise this issue.
The results reveal how domestic energy consumption varies across Spacemate. Median gas intensity in particular falls with rising density, ground coverage or height. However, a slight reduction in electricity intensity also occurs, in line with previous analyses of aggregate domestic energy data (Evans et al. 2020). From Figure 3f, around half of London dwellings are located in buildings with FSI ≤ 0.6; similarly, around half of London dwellings are in buildings with GSI ≤ 0.3. Applying these thresholds to the energy data sample, dwellings of FSI < 0.6 have a median gas intensity 11% higher, and median electricity intensity 6% higher than dwellings of FSI > 0.6. Dwellings with GSI < 0.3 meanwhile have median gas and electricity intensities 9% and 5% higher, respectively, than dwellings of GSI > 0.3.
As the sample is limited to gas-heated dwellings, it is unsurprising that these trends broadly follow building compactness, which represents a normalised measure of a building’s area of heat loss. Compactness varies across Spacemate in several ways, driven by the way that built forms typically change with the number of storeys, total/ground floor area ratio and ground coverage. Compactness rises with building height initially (transitioning from single-storey buildings to ‘boxier’ multi-storey houses), but then falls (as terraced housing is replaced with tall, detached blocks of flats). Figure 10c shows, however, that the average height-compactness trend is not smooth. The ‘waves’, particularly noticeable between one and four storeys, reflect the impact on compactness, between vertically uniform buildings (which lie at FSI/GSI integer values) and vertically variable forms (which typically lie between FSI/GSI integer values). Finally, the relationship between GSI and compactness reflects that a building is more likely to have party walls as it covers an increasingly larger proportion of its site. The drop in compactness as average height rises above six storeys may be reflected in a corresponding slight rise in gas-use intensity in Figure 10c. However, as noted, the sample with energy data above five storeys is very small, so this should be treated with considerable caution.
In addition to form, building age is another key factor for heating demand in domestic buildings (Wiesmann et al. 2011; Aksoezen et al. 2015; Summerfield et al. 2019). This is because envelope thermal performance is known to vary with building age, reflecting both changes in construction methods and regulations, as well as deterioration over time (BRE 2013). Interestingly, analyses have shown that the energy–age trend is not simple: within the UK, the highest domestic gas use is not associated with the oldest buildings, but instead with those constructed around the interwar period (Summerfield et al. 2015; BEIS 2019a; Liddiard et al. 2021). This is reflected in Spacemate when reading Figure 9a in conjunction with Figure 7b, and may be driven in part by underlying relationships between building age and form. Compared with older properties, domestic SCUs built between 1918 and 1939 tend to have lower FSI and GSI, and are shorter.
The driver of the drop in electricity intensity across Spacemate is less clear cut. As noted, rising compactness is known to reduce access to daylight, thereby increasing energy consumption from artificial lighting. However, on average, lighting accounts for only around 16% of non-space heating electricity consumption in UK dwellings (BEIS 2019b). All else being equal, the impact of building form on solar gains will also affect cooling demand and the use of mechanical ventilation, although domestic buildings within the UK are largely still naturally ventilated. Past studies have noted that occupancy-related variables, including socioeconomic factors and appliance ownership, influence domestic energy use (Wyatt 2013; Godoy-Shimizu et al. 2014; Huebner et al. 2015, 2016). These variables are outside of the scope of the present study, but are likely to be reflected in the trends observed in Figure 9. For example, tenure is known to vary with building types within the UK (MHCLG 2019b).
While this study focuses on gas-heated dwellings, the electricity-use intensity trends for electrically heated dwellings more closely resemble the gas results than the electricity results, as may be expected.
4. Conclusions
This paper examines urban morphology and density in the building stock of London using 3DStock, a new highly detailed and disaggregate geographical information system (GIS)-based stock model. Spacemate—a means of visualising density, ground coverage and height simultaneously—was used to explore the relationships between various building and urban characteristics. Past large-scale studies using Spacemate have often relied on aggregated building statistics, or examined built blocks (BBs) (e.g. Berghauser Pont & Haupt 2010; Ye et al. 2018). The use of 3DStock, however, has enabled the analysis of London to be carried out at the scale of individual buildings and properties.
Plotted in Spacemate, an urban area with homogeneous built forms would appear in a relatively localised region of the chart, even when considered at different levels of spatial aggregation. In contrast to this, the results for London illustrate the variability in ground coverage and density that exists across the city, and quantify the impact of measuring urban form at different scales. Areas of London are high density and high rise. However, as a whole, the building stock is dominated by low-rise buildings (two to three storeys). The building-scale Spacemate plot also gives an indication of vertical form, revealing that much of the domestic building stock is relatively prismatic.
Work was also undertaken to explore how density and form vary with key characteristics for the domestic building stock. The analyses reveal some trends that will be expected, such as the typical characteristics of different building forms: detached and semi-detached houses are the most common domestic types in low-density, low-ground-coverage regions of Spacemate, while terraced housing and flats dominate in higher ground coverage and higher average-height regions, respectively. However, the results also show that these relationships are not straight forward, with each building type appearing across much of Spacemate, rather than within clear and distinct regions. Building age was also examined. As with form, different construction periods were shown to be associated with different typical FSI and GSI values.
Finally, gas and electricity meter data were matched to the model to examine how domestic energy consumption varies with urban density and form. Focusing on gas-heated dwellings, the results show falling gas and, to a lesser degree, electricity intensities with rising urban density, ground coverage and building height. The energy trends are likely driven by building compactness, which is shown to vary with the Spacemate variables. While the results of the energy analyses quantify the current performance of gas-heated dwellings, the distribution across Spacemate may also provide an indication of the improvement potential of the stock. Past studies have shown that domestic retrofit options, as defined by Energy Performance Certificate (EPC) recommendations, vary with urban density and building form. The proportion of homes recommended for the installation of renewable technologies, such as photovoltaics and solar hot water, drop sharply as urban density rises, and envelope recommendations are shown to be strongly dependent on built form (Evans et al. 2020; Godoy-Shimizu et al. 2020). Considering the EPC recommendations then in conjunction with the energy consumption results is arguably reassuring: while low FSI, GSI and FSI/GSI ratios are associated with higher median energy use in domestic buildings, these may also represent the region of Spacemate with the highest opportunities for improvement.
The analyses presented in this paper represent a snapshot of the character and performance of London, and explore how this is defined by the city’s buildings. The results highlight how complex this relationship is: varying geographically and with spatial scale, as well as over time. It remains to be seen how the observed trends change as the building stock is improved in the coming years.
Notes
[1] See https://www.geomni.co.uk/ukbuildings.
Acknowledgements
The authors gratefully acknowledge the supply of energy data by the Department for Business, Energy and Industrial Strategy, under a data analysis contract. Data provided by the Valuation Office Agency (VOA) contain public-sector information licensed under the Open Government Licence v1.0. Map data © Crown Copyright and Database Right 2018. Ordnance Survey (Digimap Licence) supplied by the Ordnance Survey/EDINA service. UKBuildings data were provided by Geomni. The authors acknowledge the work of Berghauser Pont and Haupt, without which this paper would not have been possible.
Author contributions
Analysis/underlying the model and author: D.G.S.
Author: P.S.
Analysis/underlying the model and author: S.E.
Competing interests
The authors have no competing interests to declare.
Data availability
At the time of writing, the complete 3DStock model is not publicly available. This is partly due to the licensing agreements of the underlying data sources, and partly a practical reflection of its development as a research tool: the model includes a large and complicated collection of interlinked tables, with no simple user interface, guides or tutorials. As such, the model has a very steep learning curve. However, a version of 3DStock, named the London Building Stock Model (LBSM), has been developed for London for the Greater London Authority (GLA). This presents key data from 3DStock in an open, easily accessible webmap, freely available at https://www.london.gov.uk/what-we-do/environment/energy/energy-buildings/london-building-stock-model. Full details about LBSM are provided from the site.
Ethics and consent
Not applicable.
Funding
The development of the 3DStock method was supported by a series of grants from the Engineering and Physical Sciences Research Council (EPSRC), most recently the Centre for Research in Energy Demand Solutions (CREDS) (EPSRC grant number EP/R035288/1).
