1 Introduction
Within a society, some groups will be more adversely affected by climate change than others, due to a lack of available resources for adaptation or harsher existing conditions. Climate change acts an intensifier for inequities and stressors that already exist in many cities. Civic officials need to make decisions on how to adapt their cities and neighbourhoods to changing climate conditions, and this is particularly important for low-resource communities vulnerable to extreme climate events (Bolin & Kurtz 2018). However, resource-vulnerable populations are also often the least likely to participate in data collection and community engagement (Lasker & Guidry 2008).
Historically, strategies for urban adaptations to climate change have not engaged community or advocacy groups or sought to build the relationship-to-action ties crucial for fostering climate resilience (Aldrich & Meyer 2015; Bulkeley et al. 2013; Coaffee et al. 2018; Forsyth 2013). For example, a 2012 survey revealed that only Canada and select Asian and Latin American countries had over 20% of cities which had planned climate adaptions working with non-governmental organisations. Of these non-governmental organisations, few were community groups (Carmin et al. 2012). When these groups are engaged, their involvement is often isolated from larger planning processes and relegated to fact-finding and later education (Few et al. 2007; Shi et al. 2016). Uneven participation and the existence of socially isolated groups limit implementation of adaptation strategies and muffle the needs of the most disadvantaged groups (Shi et al. 2016). Decision-support tools that incorporate data from resource-vulnerable populations which can be implemented alongside community engagement strategies could empower local capacity and improve access to resources.
Approximately 28,000 heat-stress illness (HSI) hospitalisations occurred in 20 states in the US between 2001 and 2010 (Choudhary & Vaidyanathan 2014). HSIs include, but are not limited to, heat stroke, heat exhaustion, heat cramps, heat syncope or heat rash. The majority of HSI hospitalisations occurred among males and persons over 65 years of age. The highest number of hospitalisations in the US were in the Midwest and Southern regions. There was a statistically significant correlation (p < 0. 001) between average numbers of hospitalisations for HSIs and the average monthly maximum temperature/heat index in all 20 states. Heat is the greatest cause of weather-related fatalities in the US, with a 30-year average of 134 cases annually. This number should be interpreted cautiously because heat-related mortalities spike in certain years—such as in 1995, when the US experienced a significant heatwave (NOAA n.d.). This problem will become more serious as extreme heat events are predicted to increase dramatically in large regions of the US, including the Midwest region, based on current predictions (Melillo et al. 2014).
Indoor conditions (temperature and relative humidity related to ambient conditions) dramatically affect human health because of the significant effects of heat exposure in indoor settings (Kuras et al. 2017). Indoor temperatures >32°C (with significant relative humidity) can cause HSI symptoms in working adults (Jacklitsch et al. 2016), such as cramps and exhaustion, which are exacerbated by age and other predisposing health factors (e.g. body mass index and heart disease) that influence vulnerability (Choudhary & Vaidyanathan 2014). However, public health officials lack a clear understanding of the relative importance of human behaviour/occupancy, and building characteristics on interior overheating risks. Members of resource-vulnerable populations may live in smaller homes with less variation in indoor thermal conditions that do not allow them to escape the heat, and/or building occupants often may not have central air-conditioning (AC) systems, or may lack the financial resources to make use of them (PCHD 2019).
Past extreme heat events have resulted in significant numbers of residents remaining in their homes (sheltering in place) under these dangerous conditions. Klinenberg (2015) analysed data from the 1995 Chicago heatwave and indicated that social isolation of older residents was a major predictor for mortality related to sheltering in place. Other work (e.g. Wolf et al. 2010) has examined the role that certain social ties (particularly the elderly with each other) which are otherwise good for individuals at risk may also unfortunately encourage residents to remain sheltered in place far longer than is safe.
Therefore, it is imperative to integrate information on individual behaviour patterns, social factors and building characteristics that mediate the effects of heatwaves in homes into community-scale vulnerability assessments. Civic officials recognise a crucial need for better data-driven tools to integrate decision-making with climate justice. To support resource-vulnerable populations, viewing residents’ challenges through the lens of climate justice can better inform the ethical, political and social issues that underlie how and why these residents disproportionately experience the effects of climate change (e.g. Chatterton et al. 2013).
Although multiple urban climate and related urban energy modelling techniques exist, many limitations prevent their use, often due to complexity of the data sets required to calibrate and validate the models (e.g. Abbasabadi et al. 2019; reviewed by Reinhart & Davila 2016). Further, interactions between buildings and their nearby environments are still over-simplified in many building energy-use simulations (Anderson et al. 2015; Moonen et al. 2012).
Current peer-reviewed urban building energy-use models can be grouped into three categories. The first are data-driven models (e.g. Abbasabadi et al. 2019, who used a machine-learning technique to model building operational energy use at the urban scale). Second are physics-based urban modelling techniques, such as the Canyon Air Temperature (CAT) model (Erell & Williamson 2006), and the urban modelling interface (umi) (Reinhart et al. 2013). The CAT model was designed to predict site-specific micro-meteorological conditions in urban street canyons for extended periods, based on data from a reference station exposed to the same meso-scale weather. The CAT model then applies those data to building energy-use calculations for the canyon buildings. In contrast, umi generates EnergyPlus files for each building in a neighbourhood and runs annual energy simulations on each building. A third approach involves a combination of data-driven and physics-based modelling. Multiple models exist in that realm (Chen & Hong 2018; Kaplan et al. 2016). Kaplan et al. (2016) developed an integrated comparative modelling approach for Beer Sheva, Israel, and noted discrepancies in the amounts of energy use computed as a result between the three noted urban modelling validation approaches.
Model validation is also still a large challenge. This is due to lack and complexity of validation data in urban energy models. For example, Zhou et al. (2020) found it difficult to correlate results for three different approaches based on satellite data, surface measurements and simulations. Variables are rarely validated and most studies, if validated, are limited to their own climatic location (Zhou et al. 2019). While Yang et al. (2012) were able to couple the microclimate modelling tool Envi-MET on a neighbourhood scale with a building energy modelling engine (EnergyPlus), the more recent work of Zhou et al. (2019) showed that uncertainty based on the combination of input data and physics-based modelling challenges is still too high for most current tools to be useful to make policy recommendations for stakeholders. These researchers thus recommend the combined use of the noted methods as well as further microclimate data collection on the ground for future validation.
To help identify who is affected, where they are affected and what specific characteristics contribute to overheating, a new methodological approach and modelling framework is presented. Based on the refined methodology and sensitivity analysis presented here, the outcome can be used to identify populations who are most vulnerable to extreme heat. Local authorities can then respond with a targeted program to reduce vulnerability and prepare for extreme heat events. A process is described that integrates data for human behaviour, related building energy-use characteristics, future climate scenarios, and near-building microclimates into an urban energy model for neighbourhoods. The work was conducted in the City of Des Moines, Iowa, a representative mid-sized city in the US Midwest. Of particular interest were low-income (low-resource) neighbourhoods.
This project is focused on two key challenges:
The collection of data from community residents about their energy-use behaviour needs to be sensitive to the social context of resource-vulnerable populations.
A scarcity of comprehensive modelling techniques exists that can integrate human and biophysical systems data to support broadly useful probabilistic models. This is important for understanding the dynamics of human occupancy to energy consumption and adaptation to extreme heat events.
Given this context and the challenges described above, the following questions arise:
What methods of human data collection are most appropriate for research with resource-vulnerable populations that result in the voice and needs of these groups being accurately represented?
Is it possible to develop comprehensive modelling techniques that integrate human and biophysical systems data related to microclimatic conditions such as extreme heat?
2 Methods: data collection (Phase 1)
2.1 Study area
Des Moines was chosen for this pilot study because its civic officials expressed a commitment to development as a sustainable, equitable city. It is representative of mid-sized US city neighbourhoods that are affected by climate change (located at 41.6°N latitude and 93.6°W longitude). This project focused on a resource-vulnerable neighbourhood in Des Moines. The Polk County Health Department (PCHD) with jurisdiction over Des Moines, and adjacent suburban/rural communities, has indicated a need for improved knowledge about vulnerability of residents to extreme heat in these areas. The neighbourhood is comprised of predominantly older single- or multi-family residential properties, some occupied by more than one household.
This setting offers unique and often underestimated conditions related to climate change—particularly for increased frequency and intensity of heatwaves. The area has harsh, cold winters with a design temperature of –19.4°C and hot, humid summers with design conditions of 32.4°C dry-bulb/23.8°C wet-bulb temperatures (ASHRAE 2009). Extreme heat conditions can be >38°C (ASHRAE 2019). For a standard house in the urban core, active heating and cooling energy systems are required throughout the year to manage internal comfort. However, the existing residential building stock in resource-vulnerable neighbourhoods typically have little insulation, older windows and leaky building envelopes with very low R-values. Additionally, up to 50% of homes in the most vulnerable neighbourhoods do not have functional central AC (Figure 2) (PCHD 2019). According to assessor data, 25% of homes in the area have no cooling capabilities at all and thus fully rely on natural ventilation in summer alone and fan-driven comfort (PCHD 2015).
2.2 Study process
In order to address the research questions above, researchers in natural and social sciences, engineering, design, and humanities, in collaboration with City of Des Moines officials and policy-makers, selected a neighbourhood to study in detail. A framework was developed to integrate human behaviour research with biophysical modelling to describe and predict human–building energy interactions and simulate future energy use (Figure 1). The urban modelling interface (umi) software was selected to conduct the simulation because it has an open dat structure that allows for the addition of new metrics for specific urban microclimates (MIT Sustainable Design Lab n.d.). The software itself is designed to test its ability to integrate further refined data sets, and the work described herein is a contribution to this effort.

Figure 1
Overview of integrated modeling framework workflow: grey boxes and dashed lines indicate future work.

Figure 2
Percentage of homes without central air-conditioning (AC) in different neighbourhoods in Des Moines, Iowa.
In Phase 1, human behaviour and biophysical data were collected. Human behaviour data collection included the use of action projects and two versions of a survey administered either in person at community events (streamlined surveys) or in a neighbourhood-wide questionnaire sent via mail. To support local youths’ interest in climate justice, the team created the Iowa State Community Growers programme as an action project in partnership with a local chapter of the Boys & Girls Club (Poplin et al. 2017; Shenk et al. 2019). Activities included creating a community garden, planting vegetables and developing winter-related weatherisation caulking instructions or summer shade give-aways as incentives for survey responses.
Biophysical data used included a comprehensive neighbourhood-scale tree inventory (conducted by the research team), data sets for the urban heat island (UHI) collected via remote satellite sensing (processed by the team), building characteristics from geographical information system (GIS) and county assessor data (PCHD 2019), and future climate predictions (developed by Patton 2013 and described by Rabideau et al. 2012) based on the North American Regional Climate Change Assessment Program (NARCCAP). In Phase 2, computational models were developed to represent and analyse the human and biophysical systems based on locally collected data. These included developing probabilistic input for building occupancy and energy use (schedules), and visualisation schemes using umi. This paper reports on the integration of human behaviour survey data, tree inventory and future climate predictions from Phase 1 with building occupancy and urban modeling interfaces from Phase 2 into a combined integrated urban energy and climate model in Phase 3. Future Phase 3 work will also include UHI data and agent-based modelling to refine the neighbourhood specificity further, and produce integrated urban energy models to generate scenarios that provide data for decision support to civic stakeholders.
2.2.1 Preliminary data
Preliminary temperature and relative humidity data were collected in three randomly selected homes that did not have AC during the summer of 2017. During an extended heatwave with five days characterised by outdoor temperatures >32°C (18–23 July 2017), indoor measurements showed daily peaks for temperature/humidity that indicated the potential for negative human health impacts as a result of extreme heat (Figure 3). In two of three homes, indoor temperature peaked at 35°C two days in a row, with night-time temperatures remaining at >29°C.

Figure 3
Indoor temperature profiles of three homes during a July 2017 extreme heat event compared with outdoor air temperature derived from airport weather station data.
2.3 Human behaviour data
Issues of access may limit effectiveness of traditional survey methods (e.g. online, telephone) with marginalised populations, as residents often have lower rates of access to utilities such as telephone and internet service (Haight et al. 2014). As a result, city officials have struggled to reach these populations. Best practices and implementation strategies were developed to overcome these barriers through a synthesis of related literature and the narratives of other researchers (Table 1) (Cetin & Novoselac 2015; Stonewall et al. 2017).
Table 1
Best practices and implementation strategies for gathering data from marginalised populations.
| Best practices | Implementation |
|---|---|
| Earn trust through partnership | Formed a public partnership with community organisations already well known to the population |
| Be multilingual and inclusive | Data-collection materials, consent forms and recruitment materials offered in the languages most relevant to the community: English and Spanish |
| Communicate for understanding | Data-collection materials used images and familiar (e.g. ‘plain’) language to facilitate better understanding |
| Respect schedules and cultural norms | Structured data collection around a previously scheduled, public community event that aligned with the schedules of the residents |
| Offer something useful | Offered the chance to win gift cards to a home-improvement store within the community as well as rope caulk to allow participants to begin weatherising on their own |
[i] Source: Based in part on Stonewall et al. (2019).
The approach for investigating human behaviour was combined with strategies designed to strengthen community social capital. This social capital involves both the bonding social capital of individuals with similar interests and backgrounds working together (e.g. faith communities, clubs) as well as the bridging social capital of groups from differing backgrounds collaborating across generations, sectors, positions of power and types of organisations (Adger 2003; Aldrich & Meyer 2015; Coaffee et al. 2018; Magis 2010). Social capital is pivotal in disempowered and vulnerable populations in fostering an atmosphere of agency and hope (Emery & Flora 2006), and this foundation becomes especially important in supporting climate resilience (Ashwill et al. 2011; Kais & Islam 2016; Wolf et al. 2010). Communities with strong bridging social capital demonstrate greater potential for resilience because they have more diverse ties to disseminate information and better access to resources (Smith et al. 2012). This process integrated community engagement strategies designed to support both bonding and bridging social capital integrated with the human behaviour data collection.
Two survey instruments were developed and administered to different groups (Table 2) experiencing vulnerability within the same overall population in the study area. The two instruments were administered as follows: (1) families with young children vulnerable through demographics (Table 3); and (2) older adults who lived in smaller family structures and therefore might have fewer in-home social connections and may also be likely to suffer from chronic conditions/co-morbidities. More detailed population characteristics for the three neighbourhoods in the study area are given in Table 3.
Table 2
Summary of survey characteristics and responses.
| Survey title | Questions | Target population | Administration | Response |
|---|---|---|---|---|
| Weatherisation survey | 14 | Families with children | In person at community events | 64 participants |
| Energy survey | 45 | Older adults | Mail and return | 86/838 (10.3%) |
[i] Note: Response rate is not available for the weatherisation survey because the event attendance was not recorded.
Table 3
Demographics of the three participating neighbourhoods in the study area (2010 Census).
| Characteristic | Neighbourhood 1 | Neighbourhood 2 | Neighbourhood 3 |
|---|---|---|---|
| Total population, 2010 | 3187 | 2605 | 2584 |
| Race: White; Black; Asian; Other (%) | 54.1%; 13.0%; 8.3%; 24.6% | 60.2%; 14.1%; 2.0%; 23.7% | 55%; 41%; 2%; 2% |
| Hispanic; not Hispanic (%) | 42%; 58% | 32%; 68% | 26%; 74% |
| Median household income (US$) | US$24,300 | US$20,803 | US$32,706 |
| Own; rent (%) | 54.3%; 45.7% | 56.1%; 43.9% | 59.5%; 40.5% |
| Language spoken at home | 66.2% English; 31.7% Spanish | 76% English; 22.5% Spanish | 73% English; 24.2% Spanish |
2.3.1 Streamlined weatherisation survey administered at community events
In order to collect data from several key at-risk groups who might not otherwise have completed a mailed, online or more detailed survey (low-income families with younger children and Spanish-speakers) (Table 2), a simple weatherisation survey in English and Spanish (see the questions in Table 4) was distributed at family-friendly events aiming to empower youth and community connections. The survey contained 14 questions and was easy for adults to complete while waiting for children to participate in event activities. It revealed residents’ attitudes and actions related to home efficiency, energy use, energy-saving home improvements and the most-trusted social relationships for making energy-related decisions. For example, residents were asked who they go to for information about lowering energy bills. Questions related to relationships and trust helped identify ways to further support social capital.
Table 4
Questions in the weatherisation survey, offered in English and Spanish.
| Question | Response type |
|---|---|
| I live in this type of home | Circle one |
| How many people live in your home? | Numeric entry |
| To heat my home, I … | Select all that apply |
| To cool my home, I … | Select all that apply |
| I have done these things to my home to save money on my energy bills | Select all that apply |
| Where would you get information on lowering your energy bills? | Select all that apply |
| I would be more likely to make a change to my home if I heard about or saw neighbours making changes to their homes | P1: Yes/no P2, P3: Likert type (1–5) |
| Who would you ask for information about lowering your energy bills? | Select all that apply |
| In the last year, how many times have you talked with others about making home improvement changes to lower your energy bills? | Numeric entry |
| What factors do you consider when deciding to make home improvements, and how important are they? | Likert type (1–10) |
| I know someone in my community who has applied to an assistance program for home improvement and energy efficiency | Yes/no |
| I have applied to an assistance program to have work done on my home to lower my energy bills | Yes/no |
| If you have not applied to an assistance program, why? | Select all that apply |
| As first steps in lowering my energy bills, I will … | Select all that apply |
2.3.2 Survey administered via mail
To reach a wider range of residents and to provide more detailed, representative and robust data, a second energy-use survey with 45 questions was developed. This detailed, dual-language survey probed how residents made decisions about heating and cooling their homes. It was designed with five sections: the home and its structure, heating and cooling system and its operation, thermal comfort behaviours, energy efficiency and home improvements, and demographics. This survey was sent to 1000 occupied households, as listed by the US Postal Service, randomly chosen from the same three Des Moines neighbourhoods. Responses were returned by mail. A dual-language postcard reminder was sent to non-respondents and another mailing was sent to the non-respondents excluding those which were returned unopened.
2.4 Biophysical data
2.4.1 Building data
Interactions between buildings and their environment are still oversimplified in many urban energy modelling efforts. The urban modelling interface (umi) was used to extract geometric and geographically precise building footprint data and building assembly information from assessor and from GIS databases and to connect performance indicators from existing American Society of Heating, Refrigerating and Air Conditioning Engineers (ASHRAE) databases stored in umi (operational/embodied energy use and indoor/outdoor access to daylight). umi is a plug-in for the Rhinoceros 3D computer-aided design (CAD) environment combining building location data with EnergyPlus and DaySim as modelling engines for energy, radiation and daylighting (Reinhart et al. 2013). The prepopulated umi template and construction library is based on validated sources such as the Bath Inventory of Carbon and Energy (2020), ASHRAE, International Organization for Standardization (ISO) Standard and the National Renewable Energy Laboratory of the US Department of Energy (Cerezo et al. 2014; WRI n.d.; MIT Sustainable Design Lab 2017).
A total of 14 templates were created in umi representing clusters of similar buildings in the study neighbourhood by combining construction information from the Polk County Assessor database to describe the construction material properties and energy/thermal performance of each building. The county assessor data included information on construction type, such as timber/masonry, cladding, roof type, heating, ventilation and air-conditioning (HVAC) systems, as well as year of construction or renovation. Of the 340 buildings located in the selected neighbourhood, 259 had active AC systems installed and 81 were naturally ventilated. In the templates, the air infiltration rate was set in a range between 0.34 and 0.75 air changes per hour (ACH) based on standard practice and assembly resistance (R-value) estimated between 1 and 4 m2K/W. The average area and number of households per building was calculated based on the number of households and buildings. The window-to-wall ratio was estimated based on observation on site.
To evaluate the impact of changes in energy consumption, current utility costs were calculated for the preliminary simulations. The Iowa price for natural gas delivered to residential consumers for 2018 was US$8.94/thousand cubic feet (EIA n.d. a). The Iowa price of electricity delivered to residential consumers (e.g. for MidAmerican Energy Company) is currently US$0.1023/kWh (Des Moines Register n.d.).
2.4.2 Tree inventory data
A complete tree inventory was undertaken on a portion of the Capitol East neighbourhood to understand tree impacts on microclimates due to shading. Tree data included species, diameter, height, canopy shape, canopy height and two-dimensional canopy width. The inventory included 1142 street and yard trees spatially catalogued using a Trimble Geo 7x Handheld GNSS receiver (Trimble Geospatial, Sunnyvale, CA, US). Each tree canopy was assigned to one of eight representative tree canopy shapes to facilitate modelling (spheres, ellipsoids, cylinders, cones, horizontal rectangular cuboids, vertical rectangular cuboids, umbrella shapes and paraboloids) (Figure 4).

Figure 4
Eight representative tree canopy shapes used for modelling. Source: Adapted from Hashemi et al. (2018).
Tree inventory data were then converted into a GIS shapefile and integrated with the building data GIS shapefile from the same Polk County Assessor database (PCHD 2015) which contained the building footprints, elevations and parcel-level data for 340 buildings within the same neighbourhood. The combined tree and building data were then integrated into umi using the GIS data-parsing plug-in Meerkat (McNeel Europe n.d.). To facilitate visualisations, tree trunks were modelled as cylinders using the base location, trunk radius and tree height as input to the model. The eight tree canopy shapes were created using the two-dimensional canopy parameters as well as canopy height to define canopy shape.
2.4.3 Current and future climate data
Different weather data sets that each correspond to a specific phase within the typical service life of a residential building (the period for which a building is actually in use) were used in this study. These include:
A typical historical weather data file in the typical meteorological year (TMY3) format for Des Moines International airport. This consists of 12 typical meteorological months (January–December), with individual months selected from different years of the period of record (1991–2005) (Rabideau et al. 2012). The baseline TMY3 data set was obtained from the EnergyPlus weather data base (EnergyPlus n.d.).
An actual weather file for 2017 in the selected location (41.53°N, 93.65°W) obtained from the National Solar Radiation Database (NSRDB) and formatted according to the TMY3 manual (EIA n.d. b; Wilcox & Marion 2008). Hereafter, this data set is referred to as the actual meteorological year (Actual 2017).
Three future weather files were used for simulation of future energy consumption of residential building stock. These future typical meteorological year (FTMY) data sets were prepared by Patton (2013), who combined projected changes in climate with existing TMY3 data to create FTMY data sets that represent high-, medium- and low-emission scenarios of FTMY for the 2041–70 period. Herein, these three data sets are referred to as FTMY-High, FTMY-Medium and FTMY-Low, respectively.
2.4.4 Urban heat island (UHI) data
Mishra & Lettenmaier (2011) analysed climate trends of the 100 most populous US urban areas (including Des Moines) and found that there were statistically significant changes in as many as half of these urban areas in temperature-related indices, such as heating and cooling degree-days and number of warm and cool nights, almost all of which indicated general warming trends. Most significant was the warming trend during night-time hours, with a median decadal increase of 8%. Currently summer temperatures in Des Moines are on average 2.9°F/1.6°K higher than rural Iowa (Climate Central 2014). The combination of urban heat island (UHI) effects and the warming climate is particularly challenging for the neighbourhoods studied here. Land surface temperature (LST) is an important factor in surface energy balances, and its spatiotemporal patterns can be retrieved from satellite remote-sensing observations. Due to the large heterogeneity of air temperature in space and time and limited availability regarding its spatial coverage, LST has been widely used to investigate urban thermal environments for its strong relationship with air temperature.
Correlating LST for Des Moines with a neighbourhood map indicated that vulnerable populations could be impacted more than affluent neighbourhoods by the UHI effect because their location is close to the city inner core (Figure 2). The temperature in more vulnerable areas (higher residence densities, lower income) was higher compared with other areas: and more vulnerable neighbourhoods were generally located in higher temperature zones (Figure 5). In this analysis, air temperature data at a 1-km spatial resolution (pixel) in Des Moines were assembled using a geographically weighted regression model and seamless gridded LST and station air temperature (Li et al. 2018b). The LST data were built using a three-step hybrid method with four daily LST observations from two moderate resolution imaging spectroradiometer (MODIS) instruments on Terra and Aqua satellites (Li et al. 2018a). The hottest day in 2010 was chosen: 18 July. The UHI impact on each building performance was integrated with urban energy and thermal characteristics to evaluate residences without AC (Figure 5).

Figure 5
Relationship between density of residences without air-conditioning (AC) and mean external air temperature on 18 July 2010 (the hottest day in 2010) at the census tract level.
3 Methods: framework for the integrated model (Phase 2)
The collected human behaviour and biophysical data (described above) for the study area were then used to create an urban energy model for the selected neighbourhood in the urban modelling interface (umi). As mentioned, the umi model has an open data structure that allows for the addition of new metrics for specific urban microclimates. Detailed empirical data of near-building vegetation and microclimate were incorporated into the umi. Data collection and integration were focused on the energy-related behaviours of marginalised populations. To the authors’ knowledge, this has not previously been studied in detail in this kind of simulation (Hong et al. 2016). To do so, the resident survey results in the building schedules were incorporated into the umi. This approach includes actual occupancy patterns and behaviour and enables a representation of energy-related behaviours that are closer to actual patterns.
3.1 Residential energy-use behaviour models
Energy-use behaviour data (described above) were used to integrate neighbourhood energy dynamics into the Urban Building Energy Model. This was accomplished with the development of a probabilistic distribution using a Markov chain method and the American Time Use Survey (ATUS—publicly available data for human activities from a large database) (Malekpour Koupaei et al. 2019; US Bureau of Labor Statistics 2017). The probabilistic model used statistical data to predict the probability that certain behaviour, in this case leaving and returning home, occurs. The stochastic process involved in the calculations considers occupancy status as a random variable, and at each time step the model determines the probability of human presence according to the previous status. The Markov chain method is a commonly applied stochastic model and previous studies have reported approximately 73% accuracy for occupancy detection using this method (Dong et al. 2010).
The ATUS data set for a typical week provided data on the per cent of daytime and evening hours spent at home during the working week (Monday–Friday) and at weekends. Responses recorded in the survey were diverse, covering the range of possible values between 0% and 100%. Therefore, using one aggregated schedule based on an arithmetic average of the responses would have missed the diversity in behaviour among residents. Accordingly, a number of representative schedules were generated using a clustering/classification method rather than a single schedule. Clustering was then based on association to find the link between responses and their other general characteristics including respondents’ age, gender, economic activities and education levels.
3.2 Future climate data integration in urban energy modelling
The next step was to enable the model to incorporate TMY3, current and FTMY projected future climate scenarios (as described above). The TMY3 data were used as the baseline of the current practice. Rhinoceros 3D and the umi plug-in were used to create a digital model of the neighbourhood and to simulate the energy performance of each building within the selected study area.
The GIS shape file for the Capitol East neighbourhood was imported to Rhino using Meerkat to generate geographically and geometrically precise data for simulation. This workflow makes the energy simulation process easily scalable and is also useful for other locations for which GIS data are available. The Polk County Assessor’s database was used to refine the Rhino model at the building scale. Once the physical model was generated, weather data for specific locations were used in thermal models of building energy simulation (Jagani & Passe 2017). Weatherisation strategies for increased enclosure insulation and reduced infiltration rate via caulking were simulated for one neighbourhood block using this method. Each house was assigned a building template for construction type/condition as explained in section 2.4.1.
4 Preliminary results
In order to build the capacity of the modelling framework, the human behaviour and biophysical model input were developed and tested separately. The goal was to test and demonstrate the methods presented in this paper. They were then implemented into the umi model for step-by-step preliminary test runs.
4.1 Human behaviour results
4.1.1 Streamlined survey results
The streamlined survey generated 64 responses. Respondents included those in households with higher occupancy (mean occupancy = 4.7, and 69% with at least four-person households, 33% with at least six-person households), more respondents who lived in homes other than single-family houses (30%), such as apartments or half-way homes. These responses indicate higher occupant density in the study neighbourhoods compared with aggregated occupant behaviour models used in ASHRAE Standard 90.1 (ASHRAE 1989). While these surveys were not representative, higher occupancy rates should be considered. This survey also revealed the social relationships important to these residents. When asked about their most trusted sources of information, respondents indicated they would ask experts on energy and home improvement for advice on lowering their energy bills (55%), family members (55%) or friends (32%). Respondents indicated preferences for talking with family and friends than consulting neighbours (26%) or neighbourhood leaders (21%). These results suggest the usefulness of working through trusted experts along with family and social event venues, as well as the importance of working to connect neighbours to strengthen social capital. Although the streamlined survey provided useful information, generalisation of the results is limited because participants in community events were self-selected—and usually residents with children. In addition, data were less robust because the survey was significantly shorter than the mail return survey.
4.1.2 Mail-return survey
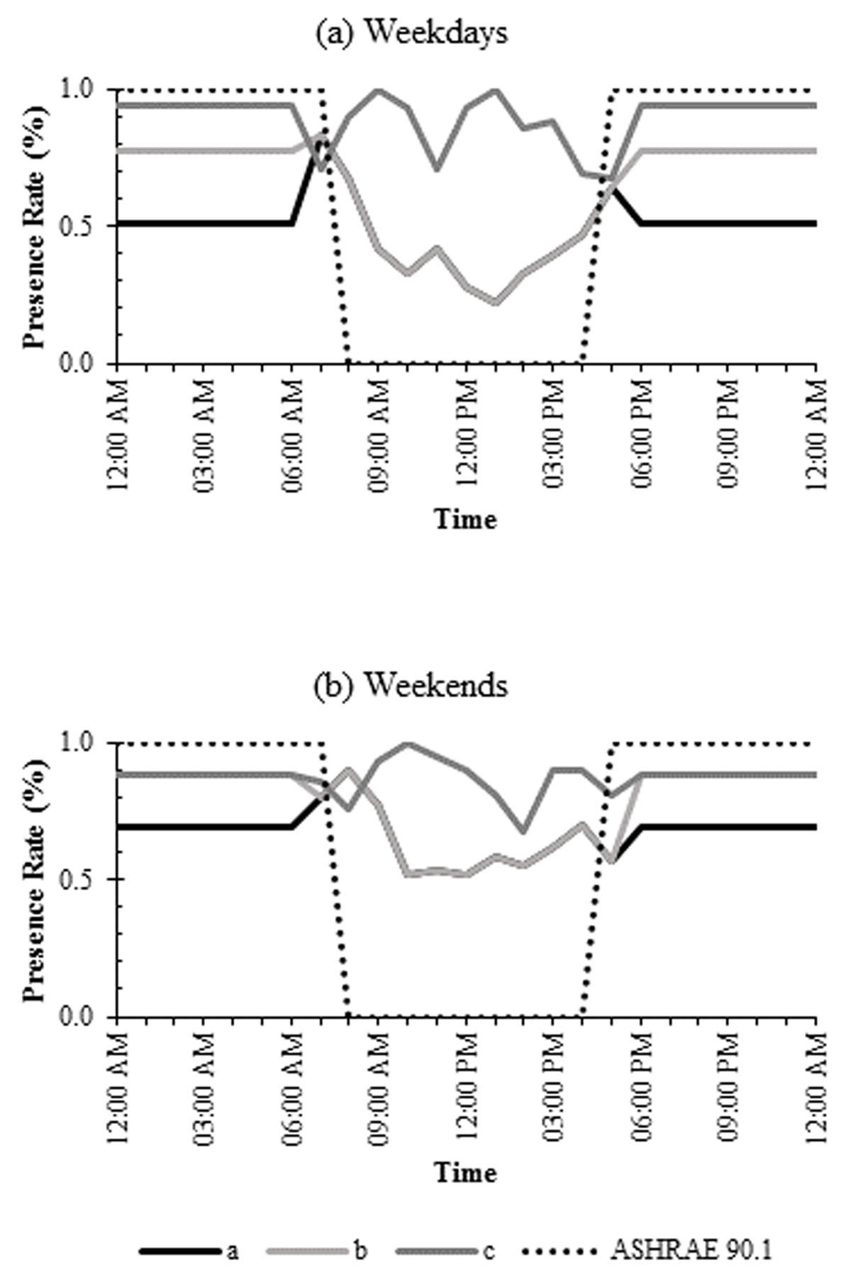
The response rate for the mail-return survey was 10.3% (86/838 eligible responses). Respondents were typically older (75% were more than 41 years old), owned their homes (84%) and were English speaking (90%). Additionally, 35% of the respondents were over 60 years old, which is the age group most vulnerable to HSIs. Answers to questions about mean daytime presence rate (MDPR) and mean night-time presence rate (MNPR), number of people in the household, and how many/which electrical appliances household residents typically used were included in the development of occupancy schedules (Table 5). Refined schedules were made by combining three weekday and three weekend schedules into four different week schedules, which were then compared with conventional ASHRAE 90.1 schedules for residential buildings (Figure 6).
Table 5
Defined occupancy schedules and their characteristics.
| Week | Composition | |||||
|---|---|---|---|---|---|---|
| Weekday | Weekend | |||||
| ID | MDPR (%) | MNPR (%) | ID | MDPR (%) | MNPR (%) | |
| W-1 | a | 45% | 50% | a | 65% | 70% |
| W-2 | b | 45% | 75% | a | 65% | 70% |
| W-3 | c | 85% | 95% | b | 65% | 90% |
| W-4 | c | 85% | 95% | c | 85% | 90% |
[i] Notes: Each day schedule represents one of the group clusters from the neighborhood mail survey responses.
MDPR = mean daytime presence rate; MNPR = mean night-time presence rate.
Source: Malekpour Koupaei et al. (2019).

Figure 6
Refined 24-hour schedules and hourly presence rates for (a) weekdays and (b) weekends among Capitol East residents based on their survey responses. Source: Malekpour Koupaei et al. (2019).
4.2 Preliminary microclimate results
The umi was then used to simulate energy performance of each building in the selected neighbourhood area for two scenarios: with and without trees. Simulations were performed using TMY3 climate data (Patton et al. 2013). Visual simulation (shadow range analysis) illustrates annual cooling energy demands for buildings in the model with the presence of trees, based on construction template, location and orientation (Figure 7).

Figure 7
Shadow range analysis (May–September). Hours of direct sunlight received by buildings increases from dark to light colours; buildings indicated in blue are those with a >5% reduction in cooling demand for the scenario with trees. Source: Hashemi et al. (2018).
4.3 Combined results
Based on methods outlined in sections 2 (data) and 3 (framework), simulation model runs were generated with the 50 possible combinations of three variable parameters: trees (yes/no), occupancy schedules (five, with four being based on the mail survey in addition to a standard one) and climate data sets (five) (Table 6). Tree shape geometries for the 1142 trees inventoried were used together with the ASHRAE Standard 90.1 schedules and the TMY3 data set to provide the baseline for the simulation runs (described in section 4.3.1). For the next set of simulations, different schedules based on survey data were compared with the baseline (described in section 4.3.2). Last, future climate data were used with the baseline schedules to identify the potential impact of future climate compared with the baseline (section 4.3.3).
Table 6
Defined parameters and total number of all 50 possible input combinations.
| Variable parameter | Building model | Climate data | |
|---|---|---|---|
| Trees | Occupancy schedule | Weather data sets | |
| Number of possible values | 2 | 5 | 5 |
| Description | Included Not Included | ASHRAE 90.1 Occupancy Schedule W-1 W-2 W-3 W-4 | TMY3 Actual 2017 FTMY—High FTMY—Medium FTMY—Low |
4.3.1 Average annual household utility costs in baseline scenario
In the baseline scenario, all trees were included as shading geometry in the model, all buildings were assigned an appropriate template according to the assessors’ data, the ASHRAE 90.1 schedule was used for occupancy, and TMY3 data for Des Moines were used as the weather database. An annual profile of normalised monthly energy consumption was generated (Figure 8). In this model, January had the maximum total monthly operational energy-use intensity (EUI) of all months with an average of 25.3 kWh/m2 (8 kBTH/sf) and May had the lowest of all months with an average of only 2.9 kWh/m2 (0.9 kBTH/sf). Accordingly, the annual EUI of a typical house in this neighbourhood is predicted to be 120.9 kWh/m2 (38.3 kBTH/sf). For a typical AC house in this scenario, it is 134.9 kWh/m2 (42.8 kBTH/sf), while the EUI for a typical naturally ventilated house is predicted to be only 114 kWh/m2 (36.1 kBTH/sf). The term ‘typical’ is used in the results section for a building where the EUI is equal to the average of all residential buildings in the model.

Figure 8
Energy-use intensity (EUI) in the baseline scenario for low-resource neighbourhoods in Des Moines, Iowa.
Average annual household utility costs were also determined for the baseline scenario for a building of 110 m2 (Figure 9). A typical household in this neighbourhood spends an average of US$710.7 on energy expenditures (US$442 electricity, US$268 natural gas) per year. The majority of households in this neighbourhood are categorised as low income (annual income levels of under US$30,000, less than 80% of the area’s median income) (US Census Bureau n.d.; Drehobl & Ross 2016). Energy use accounts for at least 2.4%, and in many cases a much larger proportion, of residents’ annual income before taxes. This is consistent with previous studies suggesting that an American family with less than US$30,000 annual income would spend approximately 7% of before-tax income (or 23% of after-tax income) on energy costs (Drehobl & Ross 2016; Kontokosta et al. 2020; US Government Publishing Office 2015). These residents are the most vulnerable to energy price increases, as well as potential costs associated with increases in energy consumption due to extreme climate conditions (Kontokosta et al. 2020; US Government Publishing Office 2015).

Figure 9
Energy burden costs in the baseline scenario for low-resource neighbourhoods in Des Moines, Iowa.
Based on these data (Figures 9 and 10) the annual energy expenditure for a typical AC house in this neighbourhood is US$860, which represents at least 2.9% of their annual pre-tax income. Households with naturally ventilated homes, on the other hand, are expected to spend about US$637, or at least 2.1% of their annual pre-tax income, on energy expenditures in the baseline scenario.

Figure 10
Comparison of different occupancy schedules on annual energy consumption. Note: W-1–W-4 refer to occupancy schedules (see Table 5).
4.3.2 Impact of occupancy schedules on annual energy consumption and costs
Occupancy schedules tested include the commonly used ASHRAE 90.1 standard schedule for residential buildings as well as the four custom schedules (W-1–W-4, based on Table 5) based on the ATUS and the place-based surveys. Overall, the use of custom schedules (instead of the ASHRAE 90.1 schedules) in the model showed that standard schedules tend to underestimate the annual heating loads (and hence the annual natural gas consumption). In the models where all buildings were assigned with one of the four custom schedules, annual heating loads were predicted to be between 83.9 and 88.1 kWh/m2 (26.6–27.9 kBTU/sf), based on the specific schedule being used, while the same value for the model that used ASHRAE 90.1 schedule was only 81.4 kWh/m2 (25.8 kBTU/sf). On the other hand, the same comparison for annual cooling loads (and hence the annual electricity consumption) showed that such loads are slightly overestimated when ASHRAE 90.1 schedules are used to represent occupant behaviour. In the case of annual cooling loads, the use of customised schedules resulted in predictions between 18.6 and 19.1 kWh/m2 (5.9–6.1 kBTU/sf), based on the specific schedule being used, while the use of ASHRAE 90.1 schedule predicted this load to be 19.5 kWh/m2 (6.2 kBTU/sf). The inclusion of trees in the model, regardless of the occupancy schedule used for representing occupants’ energy-related behaviours and presence, generally results in an increase in annual heating loads and a reduction in annual cooling loads. For AC houses including tree impact, this increase in annual heating loads ranges from 2% to 4.7%, while the decrease in annual cooling loads is predicted to be between 4.5% and 10.2% and thus relatively more substantial. The range of expected changes in heating loads for naturally ventilated houses is similar but slightly less than for those with AC, with a maximum of 3.6% and a minimum of 1.4% (Figure 10).
Current electricity prices are much higher than natural gas prices in Iowa, so a significant increase in total annual energy expenditures for homes with AC is expected and predicted to be between US$51 and US$92/year. Such an increase could be problematic since more houses are now equipped with AC units (EIA 2011). The effects of occupancy schedules on expenditures for naturally ventilated houses are more subtle (between US$32 and US$50). However, overheating could become an issue in these homes if they do not adopt passive cooling strategies or are not equipped with AC units (Figure 11).

Figure 11
Comparison of effects of occupancy schedules on annual energy expenditure with and without trees.
4.3.3 Sensitivity of baseline model to different current and future climate
Generally, heating loads are expected to decrease in the projection period (Kalvelage et al. 2014), while cooling loads are expected to increase. These changes depend on the magnitude of climate change-induced ambient temperature increases over the next five decades. Based on data from 2017, the impact of longer periods during which there is greater need for cooling can already be observed in energy consumption of the buildings modelled (Figure 12). Including trees in the model results in a general decrease in cooling loads and a general increase in heating loads. This is consistent with findings of previous studies (e.g. Davis et al. 2016; Tabares-Velasco & Srebric 2012; Ziter et al. 2019) that have linked urban greening with a reduction in building cooling loads due to shading and evapotranspiration effects.

Figure 12
Comparison of current and future projected climate scenarios on annual energy consumption. Note: TMY = typical meteorological year; and FTMY = future typical meteorological year.
In terms of annual energy expenditures, the model predicts that even if utility rates remain the same over the projection period, in AC houses residents are going to have to spend between 5.9% and 10.7% more on their annual energy expenditures when compared with the baseline scenario. The effects of climate change on energy expenditure for naturally ventilated houses are more subtle and expected to be between only 3.8% and 5.8%. However, as stated above, overheating could become an issue in these homes if they do not adopt passive cooling strategies, such as night-time cooling and natural ventilation or are not equipped with AC units (Figure 13).

Figure 13
Comparison of different weather scenarios on annual energy expenditure.
5 Discussion and conclusions
This paper describes a method for integrating energy-use behaviour by resource vulnerable populations into an urban building energy-use model. Microclimate conditions were included with and without trees as well as UHI effects and future climate change predictions in a simulation framework to support future policy development.
In order to address the question: ‘What methods of human data collection are most appropriate for research with resource-vulnerable populations result in the voice and needs of these groups being accurately represented?’, two survey instruments were introduced: one at community events in conjunction with action projects, the other a representative mail survey addressing the case study neighbourhoods. These surveys were developed using best practices to engage under-represented communities that are typically not as easy to gather data from. The process of community engagement is a critical component to provide more realistic data and scenarios. In addition, co-production can foster social cohesion and increased levels of trust and empowerment between residents, the research team and civic partners, facilitating the research effort. This trust provided the basis for the collection and use of detailed data to give a more accurate description of conditions, which in turn helped to identify vulnerabilities at the neighbourhood level. Cross-sector partnerships were crucial to enable collection, management, and analyses of more granular and diverse data.
To address the second question: ‘Is it possible to develop comprehensive modelling techniques that integrate human and biophysical systems data related to microclimatic conditions such as extreme heat?’, comprehensive modelling techniques were used to integrate human and biophysical systems data related to extreme heat to support development of more broadly useful probabilistic models. The umi model has proven effective for combining data and metrics for specific urban microclimates such as the impact of trees on summer cooling load reductions. Based on these two initial questions, the preliminary combined simulations does indicate that the incorporation of finer grained local data influences the outcome of combined urban energy simulations at the neighbourhood level, with up to 10% increase in potential energy costs for already vulnerable populations. These numbers suggest that policy decisions on neighbourhood levels should include locally collected human behaviour and occupancy schedules with an increased level of specificity wherever possible. Robust models based on detailed physical, human and context data can more accurately reflect energy and planning needs in these settings. This is particularly important given the resource-vulnerable demographics, as the standard ASHRAE schedules underestimated the annual heating loads (and hence the annual natural gas consumption).
The integration of human behaviour research with urban ecology, atmospheric science and architecture/design provided opportunities for exchange with vulnerable communities through neighbourhood meetings where research initiatives were presented and explored, and through interactions with policy-makers and local authorities who provided input for the project. In addition, other organisations (such as non-profit groups) provided data to understand general residential building retrofit outcomes when more detailed data were not otherwise available. This approach was workable, however measured utility data are still not available to the research team to verify initial model outputs.
The research also underscores the potential for civic officials to work to provide more tree canopy, which would reduce albedo and limit UHI impacts in summer as part of an holistic year-round climate adaptation plan, and provide retrofit support (e.g. for weatherisation) to resource-vulnerable neighbourhoods. These efforts could reduce thermal inequity and energy poverty while also avoiding eco-gentrification (Mitchell & Chakraborty 2014, 2018; Rice et al. 2020; Schwarz et al. 2015). These outcomes can be beneficial at neighbourhood scales if implemented using specific planting schedules and targets for reduction of impervious/dark surfaces, as well as other activities related to enhancing energy efficiency at a city scale.
Note that the quantitative findings are climate and location specific. Des Moines, Iowa, has very humid and warm summers, thus cooling load calculations for air-conditioned (AC) homes include a significant portion of energy use for dehumidification. Therefore, the reduction of energy use in summer related to trees is numerically less significant than it would be in a hot and dry climate. The impact of trees on air temperature reduction will increase human thermal comfort perception, even more important with a warming climate especially for buildings relying on natural ventilation.
5.1 Case study findings
This case study indicates that both present and future climate scenarios negatively impact on low-income households. Increased expenditure on energy for heating and cooling will adversely affect those least able to afford it—and create or exacerbate health conditions due to exposure to high temperatures in summer. Models using these data offer outputs to support decision-making and actions of community members and local government.
Occupant presence rates altered the energy profiles of neighbourhood buildings for both summer and winter. The ASHRAE 90.1 standard overestimated energy consumption compared with the values estimated using locally derived data on occupant behaviour. Current energy costs for electricity (summer cooling) and natural gas (winter heating) were determined to be a potentially significant portion of household income. Although this neighbourhood cannot yet be considered energy poor, changes in summer cooling demand could lead to such a situation, or in the case of naturally ventilated homes could lead to heat-stress illnesses (HSIs) among residents who try to shelter in place.
Co-created tools that enhance communities’ ability to adapt to climate change through efficient building energy use may also demonstrate the many energy-reducing strategies residents are already implementing. The focus was on immediate challenges, such as human energy-related behaviours, occupancy patterns and near-building microclimates affected by landscape characteristics (e.g. trees, other vegetation, hard surfaces) to provide additional specificity for scenario visualisation that protects the integrity of urban energy systems in low-resource neighbourhoods. The goal was to develop robust models that more accurately reflect energy needs in these settings. Cross-sector partnerships were crucial to enable collection, management, and analyses of more granular and diverse data to develop models for resilient urban energy systems and offer model outputs to support decision-making and actions of community members.
This paper has demonstrated a method of linking simulation approaches that use available tools (e.g. umi, publicly funded and available for download). Using open-source frameworks and tools allows the methods to be applied to other neighbourhoods anywhere in the world if the data are available. For instance, the method can be applied using local time-use survey (TUS) data (depending on the country), geographical information system (GIS) data (publicly available), tree surveys (from Google Earth, if no local survey is available), behaviour surveys from local residents, and assessor data (publicly available in the US). It may also be more helpful for future efforts if results are reported as ranges and not as absolutes.
6 Future work
The challenges encountered for developing a refined urban energy model were significant. Further cross-variable simulations should be used to explore and refine these preliminary outcomes. For example, it was surprising that building templates reacted differently to future climate scenarios, suggesting the need for further study of the buildings and the impact of their surroundings in greater depth and detail. Although preliminary, the results point toward the value of combining and integrating social and biophysical data to better understand the breadth and depth of climate change-related risks in resource-vulnerable neighbourhoods such as those in Des Moines.
For refinements related to human data, the authors plan to integrate an agent-based model (ABM) with umi such that data-driven and validated human decision processes and behaviours of the agents yield even more realistic building occupant schedules to better inform building energy-use modelling. Currently, the ABM is being used to determine the effects of different policy levers on residential weatherisation adoption. In particular, the availability and characteristics of government-funded assistance programmes are being tested (Huang et al. 2019), as well as the impact of community events that emphasise the value of weatherisation and response options during extreme heat events.
In addition to shading effects, trees alter near-building microclimate by providing evapotranspiration (ET) cooling that improves both indoor and outdoor comfort in summer. The team is currently enhancing the microclimate data by incorporating effects of ET rates for representative tree species found in the neighbourhood for spring, summer and fall conditions using the Food and Agriculture Organization of the United Nations’ (FAO) Penman–Monteith equation (Allen et al. 1998; FAO n.d.). Parametric computational fluid dynamics studies will then be performed to simulate the ET cooling effects of trees on near-building conditions and building temperatures. Given the significance of relative humidity in the summer climate of the US Midwest, it will be critical to improve the capacity of urban energy models to incorporate the impact of trees into policy considerations.
Acknowledgements
Manon Geraudin and Carolan Hoffman are thanked for their help with the umi simulations. Tanya Sharma provided help with the graphics. The authors also thank the editor and reviewers for their feedback and helpful comments which improved this work.
Competing interests
The authors have no competing interests to declare.
Ethical approval
Both surveys and survey administration methods were approved by the Iowa State University Institutional Review Board for Research with Human Subjects.
Funding
This work was funded by the 2016 Iowa State University Presidential Interdisciplinary Research Initiative (PIRI) on Data-Driven Science as well as the University of Iowa Center for Global and Regional Environmental Research. The authors are grateful for the support.
