
Figure 1
Estimated age-standardised incidence rates of bladder cancer in 2012 in (A) men and (B) women.
Table 1
The factors related to the age-standardized incidence rate of bladder cancer in the univariate model.
| Variables | Regression coefficient (B) | SE | T | P-value | 95% CI for B |
|---|---|---|---|---|---|
| Current daily tobacco use | 0.16 | 0.07 | 0.63 | 0.03 | 0.009–0.32 |
| Physical inactivity | 0.06 | 0.03 | 2.06 | 0.04 | 0.00–0.1 |
| Obesity | 0.15 | 0.04 | 3.86 | 0.001 | 0.07–0.23 |
| Overweight | 0.08 | 0.02 | 4.09 | <0.001 | 0.04–0.13 |
[i] SE: Standard Error; CI: Confidence Interval.
Table 2
The factors significantly related to the incidence rate of bladder cancer in multivariate linear regression model.
| Model | R | R2 | R2 adjusted | F | P-value | B | T | P-value |
|---|---|---|---|---|---|---|---|---|
| Overweight | 0.77 | 0.59 | 0.56 | 19.92 | <0.001 | 0.15 | 5.49 | <0.001 |
| Current daily tobacco use | 0.21 | 3.85 | 0.001 |

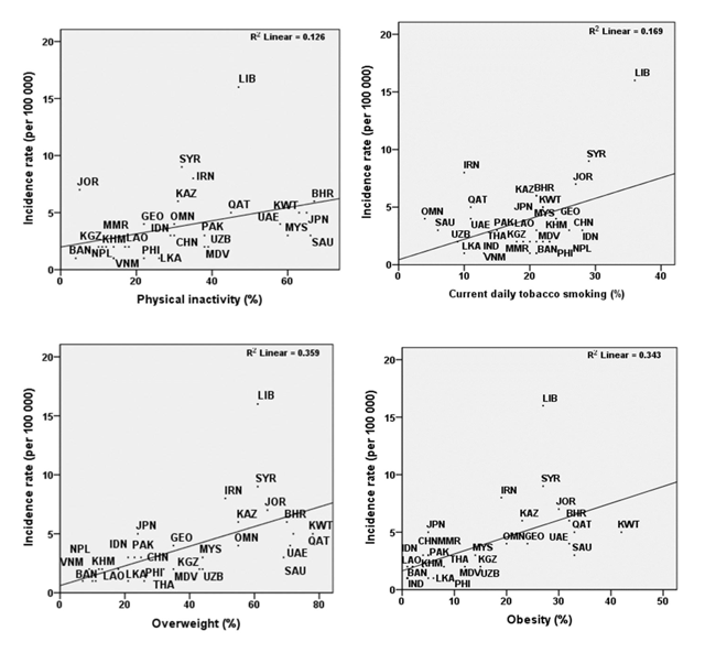
Figure 2
Age-standardized incidence rates of bladder cancer based on current daily tobacco use, physical inactivity, overweight, and obesity in 30 countries.
BHR, Bahrain; BAN, Bangladesh; KHM, Cambodia; CHN, China; GEO, Georgia; IND, India; IDN, Indonesia; IRN, Iran; JPN, Japan; JOR, Jordan; KAZ, Kazakhstan; KWT, Kuwait; KGZ, Kyrgyzstan; LAO, Lao PDR; LIB, Lebanon; MYS, Malaysia; MDV, Maldives; MMR, Myanmar; NPL, Nepal; OMN, Oman; PAK, Pakistan; PHI, Philippines; QAT, Qatar; SAU, Saudi Arabia; LKA, Sri Lanka; SYR, Syria; THA, Thailand.
