Introduction
Bladder cancer is the ninth most common cancer in the world, with approximately more than 450,000 new cases in 2015 [1]. More than 60% of bladder cancer cases and half of the 165,000 related mortality occur in less-developed countries [23]. Bladder cancer survival is also lower in developing and less-developed countries [45]. Risk factors for bladder cancer include age, sex, smoking, exposure to arsenic in drinking water, occupational exposure to aromatic amines, schistosomiasis, some medications such as phenacetin-containing analgesics, and family history of bladder cancer [6789101112]. However, there is lack of evidence about the relationship between the risk of bladder cancer and consumption of Egyptian water-pipe [7]. Additionally, obesity seems to elevate the risk of bladder cancer [13]. On the other hand, physical activity may decrease the risk of bladder cancer because it indirectly reduces obesity and helps maintain body weight [14]. Considering the fact that many of these risk factors can be improved through lifestyle modifications and environmental protection interventions, several steps should be taken to prevent cancer. In order to succeed in preventive interventions, the role of risk factors must first be identified. Many studies that have examined the relationship between smoking and bladder cancer have demonstrated that cigarette smoking increased the risk of this cancer [151617]. In the present study, the association between tobacco use (both cigarette and hookah) and bladder cancer was investigated. Contrary to the fact that there is general agreement on the relationship between risk factors such as cigarettes smoking and bladder cancer, there is no clear agreement on some other risk factors such as obesity and physical activity [1418192021222324]. Epidemiological studies play an important role in this field. In this context, a wide range of data related to obesity, overweight, physical activity, and tobacco use is available internationally and in various databases that would be a potential advantage for ecological studies. Therefore, the present study researchers, with awareness of the problems of ecological studies, conducted this study to make hypotheses in a large population. This study aimed to determine the correlation between bladder cancer and four risk factors; i.e., obesity, overweight, physical inactivity, and tobacco use, in Asian countries.
Materials and Methods
This was an ecological study in which researchers assessed aggregate variables. In order to collect the variables, a dataset was prepared containing information from each country based on the age-standardized incidence rate of bladder cancer and the prevalence of obesity, overweight, smoking, and physical inactivity. In total, the study included 30 Asian countries with complete data for each of the four above-mentioned variables. The age-standardized incidence rates of bladder cancer in Asian countries were derived from the website of the International Agency for Research on Cancer (IARC) GLOBOCAN database in 2012 (the last year when complete data were available). It should be noted that GLOBOCAN uses national registries and vital records to estimate the annual age-standardized incidence rates of bladder cancer per 100,000 population. Information on the prevalence of obesity, overweight, physical inactivity, and current daily tobacco use was obtained from the Non-Communicable Diseases (NCDs) country profiles of 2011. Researchers gathered this information was from a variety of sources that provided relevant data, including countries, World Health Organization (WHO) estimations, and results of a global review of the assessment of national capacity for NCDs prevention and control conducted in 2009/2010 [25]. In case the information was not mentioned in the references, other sources of statistics were considered. For instance, physical inactivity data for Bahrain, Jordan, Oman, Qatar, Syria, and Uzbekistan were derived from a study on the prevalence of physical inactivity in Muslim countries [26]. The data for Kyrgyzstan were also obtained from a study on the prevalence of risk factors for noninvasive diseases [27]. Additionally, the obesity and overweight data for Georgia were not mentioned in the reference and, consequently, the required information was obtained from ‘Overweight and Obesity in Georgia’ in 2005 [28]. Moreover, data on the prevalence of tobacco use in some countries were not mentioned in the references and there was no information available from other sources. Hence, the incidence of tobacco use in Bhutan was collected from ‘WHO Report on the Global Tobacco Epidemic 2013’ and data for Qatar and Kazakhstan were gathered from ‘WHO Country Profiles on the Tobacco Epidemic.’ The results of a survey were also used to obtain the incidence of daily smoking in Syria. Accordingly, 29%, 1%, and 1% of the subjects used cigarettes, hookahs, and both, respectively [29].
In the present study, current daily tobacco use was defined as the percentage of individuals aged 15 years and over who used tobacco every day. Additionally, physical inactivity was regarded as the percentage of individuals aged 15 years and over who had moderate physical activity for less than 30 minutes a week or intense physical activity for less than 20 minutes three times a week. Finally, the percentage of individuals aged 20 years and over with Body Mass Index (BMI) = 30 kg/m2 and BMI ≥25 kg/m2 was considered as obesity and overweight, respectively [25].
Statistical analysis
Scatter plots were drawn for the age-standardized incidence rate of bladder cancer in all countries based on smoking, obesity, overweight, and physical inactivity. Univariate linear regression was used to determine the association between the age-standardized incidence rate of bladder cancer and the study variables. In the next stage, variables with p-values less than 0.25 in the univariate linear regression were entered into the multivariate linear regression model.
Results
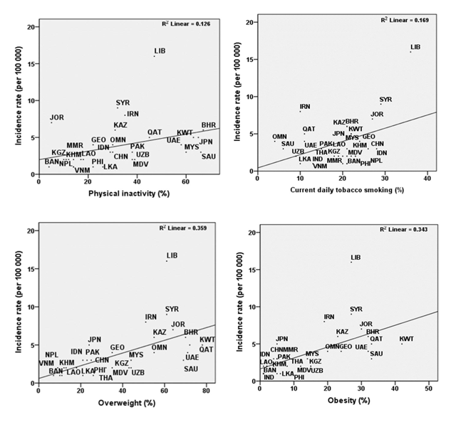
The estimated age-standardised incidence rates of bladder cancer in 2012 was presented in Figure 1 [3]. The highest incidence of bladder cancer in Asian countries was 16.60 per 100,000 in Lebanon, while the lowest was 1.10 per 100,000 in Vietnam. In addition, the highest incidence of current daily tobacco use was 36.8% in Lebanon and the lowest was 4% in Oman. Besides, the highest prevalence of physical inactivity was 67.8% in Bahrain, while the lowest was 4.7% in Bangladesh. The highest prevalence of obesity was 42% in Kuwait and the lowest was 1.1% in Bangladesh. Also, the highest prevalence of overweight was 78.8% in Kuwait and the lowest was 7.6% in Bangladesh.

Figure 1
Estimated age-standardised incidence rates of bladder cancer in 2012 in (A) men and (B) women.
The univariate linear regression model for smoking, physical inactivity, obesity, and overweight has been presented in Table 1. The results showed a significant correlation between the incidence of bladder cancer and current daily tobacco use (R2 = 0.17), physical inactivity (R2 = 0.13), obesity (R2 = 0.34), and overweight (R2 = 0.36). In the next step, multivariate linear regression with stepwise method was used to determine the variables correlated to bladder cancer. In so doing, the variables with p-values less than 0.25 in the univariate analysis were entered into the model. The results revealed a significant correlation between the incidence of bladder cancer and overweight (β = 0.15, p < 0.001) and current daily tobacco use (β = 0.21, p = 0.001) (Table 2).
Table 1
The factors related to the age-standardized incidence rate of bladder cancer in the univariate model.
| Variables | Regression coefficient (B) | SE | T | P-value | 95% CI for B |
|---|---|---|---|---|---|
| Current daily tobacco use | 0.16 | 0.07 | 0.63 | 0.03 | 0.009–0.32 |
| Physical inactivity | 0.06 | 0.03 | 2.06 | 0.04 | 0.00–0.1 |
| Obesity | 0.15 | 0.04 | 3.86 | 0.001 | 0.07–0.23 |
| Overweight | 0.08 | 0.02 | 4.09 | <0.001 | 0.04–0.13 |
[i] SE: Standard Error; CI: Confidence Interval.
Table 2
The factors significantly related to the incidence rate of bladder cancer in multivariate linear regression model.
| Model | R | R2 | R2 adjusted | F | P-value | B | T | P-value |
|---|---|---|---|---|---|---|---|---|
| Overweight | 0.77 | 0.59 | 0.56 | 19.92 | <0.001 | 0.15 | 5.49 | <0.001 |
| Current daily tobacco use | 0.21 | 3.85 | 0.001 |
The scatter plot of the standardized incidence rate of bladder cancer in terms of daily tobacco use, physical inactivity, obesity, and overweight has been depicted in Figure 2. Accordingly, the highest R2 was reported for overweight followed by obesity. The collinearity between the variables was also evaluated in this study. The results demonstrated no collinearity between obesity and physical inactivity as well as between obesity and overweight (VIF = 1).

Figure 2
Age-standardized incidence rates of bladder cancer based on current daily tobacco use, physical inactivity, overweight, and obesity in 30 countries.
BHR, Bahrain; BAN, Bangladesh; KHM, Cambodia; CHN, China; GEO, Georgia; IND, India; IDN, Indonesia; IRN, Iran; JPN, Japan; JOR, Jordan; KAZ, Kazakhstan; KWT, Kuwait; KGZ, Kyrgyzstan; LAO, Lao PDR; LIB, Lebanon; MYS, Malaysia; MDV, Maldives; MMR, Myanmar; NPL, Nepal; OMN, Oman; PAK, Pakistan; PHI, Philippines; QAT, Qatar; SAU, Saudi Arabia; LKA, Sri Lanka; SYR, Syria; THA, Thailand.
Discussion
The results of this study revealed that the age-standardized incidence rate of bladder cancer was directly correlated to overweight and current daily tobacco use. Until now, some studies have been conducted on other cancers [30313233343536]. However, the authors could not find any ecological studies on the effects of smoking, physical inactivity, obesity, and overweight on bladder cancer. The present study indicated a significant association between bladder cancer and being overweight, but not between obesity and bladder cancer. A prior study demonstrated that obesity was associated with an increased risk of bladder cancer and particularly its progression, recurrence, and mortality [37]. According to the Institute for Health Metrics and Evaluation, 37% of the world’s population was overweight or obese. It was also reported that the prevalence of obesity and overweight has increased by 27.5% in adults and by 47.1% in children since 1980 [38]. Although the present study findings revealed no significant relationships between obesity and bladder cancer, several meta-analytic results have demonstrated that higher BMI was associated with an elevation in endometrial, colorectal, and postmenopausal breast cancer [394041]. Increased BMI was also related to a higher risk of esophageal adenocarcinoma, thyroid cancer, renal cancer, multiple myeloma, gallbladder cancer, leukemia, pancreatic cancer, non-Hodgkin lymphoma, and ovarian cancer [394243]. Moreover, obesity has been reported to be associated with other noninvasive diseases, such as glucose intolerance, insulin resistance, hyperinsulinemia, and type II diabetes [4445]. Given the fact that obesity and overweight are following an ascending trend in the world and considering the findings of the present study, further interventions are necessary to control or reduce the rate of overweight and obesity worldwide. Although understanding the link between obesity and cancer can be helpful in treatment of this disease, prevention of overweight and obesity remains to be one of the priorities [46].
The current study findings revealed no significant relationships between bladder cancer and physical inactivity. Similar results were also obtained in other studies [3747]. However, some other studies showed that physical inactivity was positively related to bladder cancer [4849]. Indeed, higher levels of physical activity were associated with lower risks of breast cancer, colon cancer, diabetes, ischemic heart disease, and ischemic stroke [50]. The results of a meta-analysis also indicated that higher levels of physical leisure activities were related to lower risks of esophageal adenocarcinoma and liver, lung, kidney, gastric cardia, endometrial, myeloid leukemia, myeloma, colon, head and neck, rectal, and breast cancers [49]. The non-significant relationship observed in the present study might be attributed to the confounders whose information was not available. Therefore, supporting the promotion of physical activity is an important component in the prevention and control of many cancers and other NCDs.
The results of the present study demonstrated a significant relationship between bladder cancer and current daily tobacco use, which is consistent with the results of other studies conducted on the issue [15161751]. Smoking tobacco has been reported to be a strong risk factor for bladder cancer with Population Attributable Risk (PARs) of approximately 50% in both males and females [15]. It has also been shown that the risk of bladder cancer was 2–6 times higher in smokers than in non-smokers [52]. Moreover, it has been estimated that smoking caused about 31% deaths due to bladder cancer in males and 14% in females worldwide [53]. In addition to bladder cancer, smoking has been reported to be associated with pancreatic, lung, stomach, breast, colon, and rectal cancers [54555657585960]. Additionally, smoking increased the risk of mortality of lung, larynx, bile duct, esophagus, liver, stomach, and pancreas cancers and leukemia [51]. Since smoking is an independent risk factor for many cancers as well as other NCDs, control programs for smoking are essential to reduce the epidemic of cigarette-related illnesses.
Limitation
As mentioned above, aggregate data were used in this study. Therefore, the findings might have not resulted from the probability of ecological fallacy applied to individuals. This is one of the limitations of ecological studies. For instance, all individuals living in areas with a high incidence of overweight or smoking may not be at risk of bladder cancer. Since ecological studies are more suitable for making hypotheses to provide definitive results, accurate case studies or cohorts are required to confirm the hypotheses presented in this investigation. Another limitation of the present study was that the prevalence of smoking and physical inactivity was evaluated in the ≥15 years age group and the prevalence of obesity and overweight was assessed among the individuals aged 20 years and above. Thus, inequalities of age groups regarding these variables may have affected their relationships with bladder cancer.
Conclusion
There was a significant relationship between the incidence of bladder cancer and overweight and current daily tobacco use. Further epidemiological studies are needed to confirm this relationship.
Acknowledgements
The authors would like to thank Ms. A. Keivanshekouh at the Research Improvement Center of Shiraz University of Medical Sciences for improving the use of English in the manuscript.
Competing Interests
The authors have no competing interests to declare.
Author Contributions
F.R: data collection, data analysis, manuscript writing, and editing
HR.T: project development and data analysis
V.R: data collection, data analysis, manuscript writing, and editing
A.M: project development and data analysis
S.H: data collection, data analysis, manuscript writing, and editing
