Fig. 1.

Fig. 2.

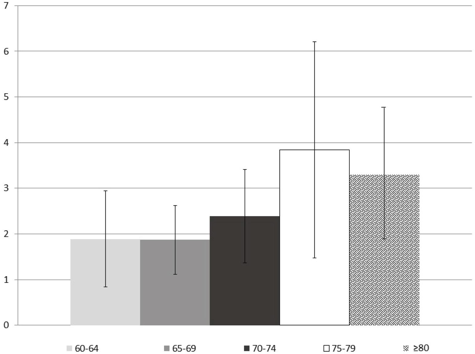
Fig. 3.

Characteristics of the study participants with regard to age (x ± SD)
| Group [age] | n | Age [yrs] | Body height [cm] | Body mass [kg] |
|---|---|---|---|---|
| 1 (60 – 64) | 14 | 63.0 ± 1.36 | 160.71 ± 6.16 | 64.0 ± 7.05 |
| 2 (65–69) | 19 | 67.4 ± 1.46 | 159.74 ± 4.62 | 63.8 ± 6.75 |
| 3 (70–74) | 10 | 72.1 ± 1.45 | 158.30 ± 4.97 | 64.0 ± 6.87 |
| 4 (75–79) | 7 | 75.6 ± 0.53 | 156.67 ± 6.80 | 64.2 ± 6.92 |
| 5 (≥80) | 9 | 82.2 ± 2.39 | 156.25 ± 6.92 | 64.3 ± 6.97 |
| Total | 59 | 70.5 ± 6.90 | 158.73 ± 5.70 | 63.7 ± 6.78 |
Comparison of balance and fall risk indexes between age groups
| Age group | OSI EO | APSI EO | MLSI EO | OSI EC | APSI EC | MLSI EC | Fall risk |
|---|---|---|---|---|---|---|---|
| 1vs2 | 1.020 | 0.528 | 0.765 | -0.036 | -0.455 | 0.310 | -0.513 |
| 1vs3 | –1.317 | –1.054 | –0.468 | –0.644 | –0.878 | –0.556 | –1.230 |
| 1vs4 | –1.044 | –1.194 | 0.150 | –0.970 | –1.156 | –0.373 | –2.037* |
| 1vs5 | –1.701 | –1.732 | –1.102 | –1.008 | –0.882 | –0.819 | –0.756 |
| 2vs3 | –2.390* | –1.606 | –1.147 | –0.803 | –0.941 | –0.987 | –0.574 |
| 2vs4 | –1.994* | –1.792 | –0.376 | 3.815* | –2.197* | –2.428* | –2.050* |
| 2vs5 | –2.558* | –2.780* | –1.721 | –0.689 | –0.738 | –1.156 | –0.720 |
| 3vs4 | 0.049 | –0.244 | 0.586 | 0.439 | –0.098 | 0.146 | –0.812 |
| 3vs5 | –0.408 | –0.857 | –0.531 | 0.449 | 0.367 | –0.163 | –0.053 |
| 4vs5 | –0.476 | –0.423 | –1.006 | –3.281* | 1.482 | –2.011* | 1.066 |